Ministerio de Industria, Turismo y Comercio LogoMinisterior
 

Alerta

Resultados 205 resultados
LastUpdate Última actualización 31/03/2026 [06:53:00]
pdfxls
Solicitudes publicadas en los últimos 15 días / Applications published in the last 15 days
Resultados 1 a 205  

用于肺部递送纳米颗粒的鼻内制剂、组合物、用途及其制造方法

NºPublicación:  CN121752251A 27/03/2026
Solicitante: 
环球生命科学解决方案加拿大有限公司
CN_121752251_PA

Resumen de: WO2025049579A1

The invention provides intranasal formulation for pulmonary delivery of nanoparticles, compositions, uses, and manufacturing methods thereof. In one aspect, an intranasal formulation for intranasal or intrapulmonary administration includes a viscosity agent, an epithelial adherence agent, and a foaming agent. The viscosity agent may include carboxymethylcellulose, the epithelial adherence agent may include poly-lysine, and the foaming agent may include gelatin hydrolysate.

环状RNA及其在鸽毛滴虫疫苗中的应用

NºPublicación:  CN121737164A 27/03/2026
Solicitante: 
苏州沃美生物有限公司

Resumen de: CN121737164A

本发明公开了一种环状RNA及其在鸽毛滴虫疫苗中的应用。该环状RNA包含的编码元件能够编码重组鸽毛滴虫AP33或AP65蛋白。该编码元件具有SEQ ID NO.1或SEQ ID NO.2所示序列或其保守变异型序列。该环状RNA在动物体内可以诱导蛋白表达、产生高水平的抗体,其在应用为鸽毛滴虫疫苗时,不含感染性虫种成分,可在体内降解为核苷酸,不会整合到宿主基因组中,对鸽使用没有风险,并可刺激鸽产生较强的免疫反应,包括体液免疫和细胞免疫,从而有效抵御寄生虫感染,同时疫苗稳定性高,且本发明的疫苗可以通过分子技术大规模制备,生产成本低。

一种高分散的超顺磁性金磁球形纳米粒子及其制备方法和应用

NºPublicación:  CN121732794A 27/03/2026
Solicitante: 
苏州纳微生命科技有限公司
CN_121732794_PA

Resumen de: CN121732794A

本发明涉及一种高分散的超顺磁性金磁球形纳米粒子及其制备方法和应用,包括以下步骤:(a)在Fe3O4磁性微球表面包裹上mSiO2壳层得Fe3O4@ mSiO2磁性微球;(b)采用氨基硅烷对所述Fe3O4@ mSiO2磁性微球进行表面修饰;(c)将步骤(b)的产物与过量的金种溶液进行混合,得到Fe3O4@ mSiO2‑Au磁性微球;(d)将所述Fe3O4@ mSiO2‑Au磁性微球于金生长液中进行壳层的生长得到超顺磁性金磁球形纳米粒子。能够获得分散性好、包裹均匀的金磁球形纳米粒子,在不影响纳米粒子磁性的情况下,具有良好的拉曼增强效果。

生产包含亲脂性化合物的水性介孔颗粒组合物的新方法

NºPublicación:  CN121752253A 27/03/2026
Solicitante: 
BIOGNTX\u7814\u53D1\u6709\u9650\u516C\u53F8
CN_121752253_PA

Resumen de: AU2024309710A1

Described is a method for the preparation of an aqueous mesoparticle composition comprising a lipophilic compound, comprising the steps of: a. Providing an emulsifier or a blend of emulsifiers in powder form; b. Mixing one or more oils at a temperature above 40°C where all oils have become liquid, wherein said oils differ in melting temperature and which mixture comprises at least a sufficient amount of medium chain triglycerides to enable the composition formed in step g have a partly liquid oil phase at temperatures around about 4°C; c. Adding the hydrophobic or amphiphilic compound in any hydrophobic solvent to the oil mixture; d. Optionally letting the mixture cool down to room temperature; e. Adding the emulsifier powder and water to the oil mixture and letting the mixture emulsify, under optional agitation and heating to 30-40°C; f. Subjecting the emulsified mixture to a sonication and optionally mixing or fluidisation treatment until the average particle size of the mixture remains stable; g. Cooling down the sonicated mixture allowing sufficient time for crystallisation; and h. Optionally, a second sonication treatment while keeping the mixture cold and compositions produced by the above method.

用于预防或治疗乙肝病毒感染的单抗原或多抗原mRNA疫苗及其应用

NºPublicación:  CN121737166A 27/03/2026
Solicitante: 
江苏创源生命科技有限公司
CN_121737166_PA

Resumen de: CN121737166A

本发明适用于生物医药技术领域,提供了用于预防或治疗乙肝病毒感染的单抗原或多抗原mRNA疫苗及其应用。mRNA编码的蛋白包括乙肝病毒表面抗原和/或乙肝病毒前表面抗原1融合泛HLA‑DR结合表位和人源IgG1 Fc段的融合蛋白(Pan‑HLA‑DR‑epitope‑preS1‑Fc)。将mRNA经过脂质纳米颗粒包裹为递送系统后,制备成单抗原或多抗原mRNA疫苗。该mRNA疫苗制剂能特异性增强针对乙肝病毒表面抗原和/或乙肝病毒前表面抗原1的体液免疫应答和细胞免疫应答,可用于乙型肝炎的预防和治疗;且mRNA疫苗制剂中各成分均可广泛获取,有效降低了疫苗成本、提高疫苗产量,具有良好的实际应用价值。

一种靶向M2型巨噬细胞的甘露糖修饰共递送脂质纳米粒子及其制备方法

NºPublicación:  CN121731242A 27/03/2026
Solicitante: 
惠州市第一人民医院
CN_121731242_PA

Resumen de: CN121731242A

本发明公开了一种靶向M2型巨噬细胞的共递送脂质纳米粒子及其制备方法和应用,该脂质纳米粒子由可电离阳离子脂质、中性辅助脂质、胆固醇、含有二硫键的PEG化脂质、末端连接有甘露糖的PEG化脂质以及被包封的包含miR‑99b和SIRPα siRNA的核酸药物制备而成,其通过引入DSPE‑S‑S‑PEG3000实现肿瘤微环境谷胱甘肽响应性PEG脱落,并利用DSPE‑PEG2000‑甘露糖实现基于CD206识别的主动靶向,从而高效、特异地将治疗性核酸共递送至M2型肿瘤相关巨噬细胞;本发明的纳米粒子能协同逆转M2巨噬细胞为M1抗肿瘤表型并阻断CD47‑SIRPα“别吃我”信号,有效重塑免疫抑制微环境,在肝细胞癌治疗中展现出卓越的肿瘤靶向能力、抑制肿瘤生长与转移以及促进抗肿瘤免疫应答的效果。

具有核酸负载物和可电离脂质的脂质纳米颗粒

NºPublicación:  CN121752256A 27/03/2026
Solicitante: 
诺沃阿克有限责任公司
CN_121752256_PA

Resumen de: WO2025046121A1

Disclosed is a lipid nanoparticle (LNP) encapsulating a nucleic acid cargo preferably comprising messenger ribonucleic acid (mRNA). The LNP comprises at least an ionizable lipid fraction, and a stabilizer fraction. The stabilizer fraction preferably comprises at least one polyethylenglycol (PEG) lipid. Furthermore, the ionizable lipid fraction comprises at least one ionizable glycerol dialkyl glycerol tetraether (GDGT) lipid. Also disclosed is a pharmaceutical composition comprising the LNP, such as an mRNA vaccine. In a further aspect, the invention relates to the ionizable GDGT lipids and methods for producing them.

编码CRISPR相关蛋白的核酸及其应用

NºPublicación:  CN121752723A 27/03/2026
Solicitante: 
正基基因科技有限公司
CN_121752723_PA

Resumen de: WO2025045247A1

Provides are artificial nucleic acids, in particular RNA. A composition and kit of parts comprising the same are also provided.

一种载药磁性多孔氧化铝复合材料及其制备方法和应用

NºPublicación:  CN121731245A 27/03/2026
Solicitante: 
河北民族师范学院
CN_121731245_PA

Resumen de: CN121731245A

本发明属于材料科学与生物医药技术领域,更具体地说是涉及一种载药磁性多孔氧化铝复合材料及其制备方法和应用。本发明将磁性纳米颗粒与多柔比星混合,得到悬浮液;将纳米多孔阳极氧化铝浸于悬浮液,干燥后在表面涂覆壳聚糖溶液,烘干后得到载药磁性多孔氧化铝复合材料。该载药磁性多孔氧化铝复合材料具有磁响应能力和可控门控性能,使药物释放方式由传统的被动扩散转变为外界可调控的按需释放,显著提高了释放过程的时间、空间和剂量精确度。

一种装载抑癌蛋白mRNA的靶向肿瘤的脂质纳米颗粒的制备方法

NºPublicación:  CN121731243A 27/03/2026
Solicitante: 
无锡市南京大学锡山应用生物技术研究所
CN_121731243_PA

Resumen de: CN121731243A

本发明公开了一种装载抑癌蛋白mRNA的靶向肿瘤的脂质纳米颗粒的制备方法,其步骤包括:(1)将SM102,DSPC,β‑sitosterol,DMG‑PEG2K,DSPE‑PEG2k‑RGD分别溶于无水乙醇,制成母液;(2)按比例量取各组分的母液,混合配制成有机相;(3)将抑癌蛋白mRNA溶于柠檬酸钠缓冲液中,制成水相;(4)有机相和水相通过微流控反应,合成脂质纳米颗粒。还公开了相应的脂质纳米颗粒及应用。本发明在脂质纳米颗粒中设计具有靶向Integrin αVβ3受体阳性肿瘤细胞的靶向肽,使该纳米颗粒可以精准靶向至Integrin αVβ3受体阳性肿瘤细胞;通过脂质纳米颗粒的成分改造与配方优化,实现脂质纳米颗粒对肿瘤细胞的较高转染效率,最终实现促进肿瘤细胞凋亡的抗肿瘤治疗功效。

一种钾离子响应型可聚集金纳米粒及其制备方法

NºPublicación:  CN121736299A 27/03/2026
Solicitante: 
重庆医科大学
CN_121736299_PA

Resumen de: CN121736299A

本发明公开了一种钾离子响应型可聚集金纳米粒及其制备方法,该可聚集金纳米粒由钾离子识别型共聚物接枝在金纳米颗粒表面,所述共聚物的结构式如下:其中,x/(x+y+z)=0.1~0.3,y/(x+y+z)=0.1~0.3,z/(x+y+z)=0.4~0.8,x+y+z=10~300。该可聚集金纳米粒由钾离子识别型共聚物加入去离子水溶解后,与柠檬酸钠还原法制备的单分散性良好的金纳米颗粒在氮气保护下常温共孵育即得。本发明中的聚合物在识别肿瘤微环境中异常钾离子浓度后由亲水性转为疏水性,金纳米颗粒发生团聚,同时呈现出增强的光声信号及光热效应。制备方法简单,生物相容性良好,可用于不同类别肿瘤治疗。

用于向组织广泛递送RNA的组合物和方法

NºPublicación:  CN121752278A 27/03/2026
Solicitante: 
再生技术有限责任公司
CN_121752278_PA

Resumen de: WO2025049632A1

The present invention relates to lipid nanoparticle (LNP) compositions, and diagnostic or therapeutic polynucleotides, e.g. TERT mRNA, which may be delivered with the LNP compositions in formulations to various tissues and cell types throughout the mammalian body, including stem cells, progenitor cells, germ cells, differentiated cells, or terminally differentiated cells, cancer cells, endothelial cells, epithelial cells, spleen cells, hepatocytes, kidney cells and/or bone cells, e.g., for the diagnosis, prevention and/or treatment of conditions or disease.

提高姜黄素生物利用率的方法及制剂

NºPublicación:  CN121731246A 27/03/2026
Solicitante: 
南京柯菲平盛辉制药有限公司
CN_121731246_PA

Resumen de: CN121731246A

本发明涉及生物医药技术领域,具体涉及提高姜黄素生物利用率的方法及制剂。本发明通过碱性条件下制备姜黄素溶液/载体溶液,以及优化壁材的组成,形成碱性芯材‑复合壁材‑均质稳定‑喷雾干燥的一体化微囊制剂工艺,可实现姜黄素的高效包埋与稳定递送;制备工艺简单,能耗低,生产成本低,适合大规模生产与应用;本发明提供的姜黄素微胶囊以“蛋白‑环糊精‑姜黄素”三元复合物作为内芯,以麦芽糊精作为壳层,粒径均匀的纳米颗粒,Zeta电位绝对值高,包埋率可高达到97‑99%,载药量达到9‑15%,极大提高姜黄素水溶性、适口性、储存稳定性、生物利用度,扩宽姜黄素在口服制剂的应用范围。

pH诱导的结构转换脂质纳米载体、半合成细胞外囊泡、其制备方法及应用

NºPublicación:  CN121752257A 27/03/2026
Solicitante: 
瑞士苏黎世联邦理工学院
CN_121752257_PA

Resumen de: WO2025052244A1

The present disclosure provides a pH-inducible structure-switching non-lamellar lipid nanovector (LNV) comprising: (a) at least one ionizable cationic lipid; (b) at least one phospholipid displaying a critical packing parameter (CPP) value > 1; and (c) at least one non-ionic surfactant displaying a CPP value < 1 at a molar concentration of between 20 % and 50 %, a method of making the LNV, a semi-synthetic extracellular vesicle (ssEV) resulting from the fusion of the LNV with extracellular vesicles at a pH higher than 6 and up to about 10, a kit and a use of the ssEV as a medicament or diagnostic agent.

一种磷酸芦可替尼纳米结构脂质载体及其制备方法和应用、磷酸芦可替尼组合物

NºPublicación:  CN121731481A 27/03/2026
Solicitante: 
山东诺明康药物研究院有限公司
CN_121731481_PA

Resumen de: CN121731481A

本发明提供了一种磷酸芦可替尼纳米结构脂质载体及其制备方法和应用、磷酸芦可替尼组合物,属于药物制剂技术领域。本发明提供的磷酸芦可替尼纳米结构脂质载体和磷酸芦可替尼组合物,通过固态脂质和液态脂质复配以及引入抗晶化剂,将磷酸芦可替尼包封于由固态脂质和液态脂质构成的纳米结构脂质载体核心内,解决了磷酸芦可替尼的吡唑结构导致的独特析晶问题,具有包封率高、稳定性好的优势。本发明还将磷酸芦可替尼纳米结构脂质载体均匀分散于皮肤病学可接受的基质中,得到包含治疗有效量的磷酸芦可替尼组合物,该组合物表现出显著增强的药物稳定性和皮肤滞留能力,降低系统暴露风险。

一种核酸-小分子药物共递送系统及其制备方法和应用

NºPublicación:  CN121731244A 27/03/2026
Solicitante: 
河北医科大学
CN_121731244_A

Resumen de: CN121731244A

本发明涉及基因工程药物和疫苗制造领域,特别涉及到一种核酸‑小分子药物共递送系统及其制备方法和应用。本发明所述的核酸‑小分子药物共递送系统以脂质组分为载体,所述载体对药物组分进行包封,所述脂质组分包括阳离子脂质、中性磷脂、胆固醇和PEG‑脂质;所述药物组分包括核酸药物和小分子药物;所述核酸‑小分子药物共递送系统的粒径为50‑300 nm。经实验验证,本申请公开的核酸‑小分子药物共递送系统,在抗炎、免疫调节和抗肿瘤领域具有广阔的应用前景。

将大黄素与高密度脂蛋白类似物联用作为制备药物的新用途

NºPublicación:  CN121731450A 27/03/2026
Solicitante: 
中国中医科学院中医基础理论研究所
CN_121731450_PA

Resumen de: CN120570996A

The invention discloses a novel application of emodin and a high-density lipoprotein analogue in preparation of a medicine for treating brain nerve injury, and the high-density lipoprotein analogue comprises apolipoprotein A-1 single mimetic peptide and natural phospholipid. The invention has the advantages of long-term stability and no immunogenicity and organ toxicity risk, thereby providing a clinically convertible solution for precise treatment of nerve injury.

用于基因编辑以及作为疫苗和治疗剂的包含编码RNA分子的脂质纳米颗粒

NºPublicación:  CN121752544A 27/03/2026
Solicitante: 
雷纳嘉德医疗管理公司
CN_121752544_PA

Resumen de: AU2024312860A1

The present disclosure describes improved LNP-based RNA vaccines, nucleobase editing systems, and therapeutics for use in treating and/or immunization against disease. In particular, the disclosure describes improved LNPs, including novel and improved ionizable lipids for making LNPs, that enhance the targeted delivery of LNP-based RNA vaccines and therapeutics based on linear and/or circular mRNAs. The improved LNPs protect linear and/or circular mRNA payloads from degradation and clearance while achieving targeted systemic or local delivery for use as enhanced vaccines and/or therapeutic agents.

一种新型可编程核酸酶及其应用

NºPublicación:  CN121737085A 27/03/2026
Solicitante: 
上海交通大学尧唐(上海)生物科技有限公司
CN_121737085_A

Resumen de: CN121737085A

本公开提供了一种新的核酸酶和使用该核酸酶进行基因编辑和核酸检测的方法。在一些实施方案中,本公开提供了该可编程核酸酶是的应用。本公开还提供了包含该可编程核酸酶的组合物、系统和方法。

编码VEGF多肽的环状RNA、制剂和使用方法

NºPublicación:  CN121752588A 27/03/2026
Solicitante: 
上海环码生物医药有限公司
CN_121752588_A

Resumen de: WO2025045142A1

Disclosed herein are immunogenic compositions having circular RNAs encoding VEGF polypeptides. Related methods for manufacture and therapeutic uses thereof are also provided herein.

在免疫检查点基因座处对表达嵌合抗原受体的免疫细胞进行工程化以用于疾病治疗的方法

NºPublicación:  CN121752724A 27/03/2026
Solicitante: 
赋生元公司
CN_121752724_PA

Resumen de: WO2025049816A1

A method for inserting a polynucleotide exogenous transgene sequence at a pre- determined endogenous genetic locus in a hose cell genome includes: (i) a donor DNA template including a polynucleotide insert; a 5 '-homology arm; and a 3 '-homology arm. In some embodiments, the 5' homology arm and the 3' homology arm are complementary to the DNA in a target region; and (ii) a ribonucleoprotein complex (RNP) including (1) a Cas nuclease, and at least one small guide RNAs (sgRNA) that is complementary to at least one selected nucleic acid sequence within the pre-determined genetic locus in the host cell genome.

一种治疗关节炎的药物制剂及其制备方法

NºPublicación:  CN121731454A 27/03/2026
Solicitante: 
杭州端本医药科技有限公司
CN_121731454_PA

Resumen de: CN121731454A

本申请涉及医药技术领域,具体公开了一种治疗关节炎的药物制剂及其制备方法,药物制剂由以下原料制成:雷公藤甲素1‑5重量份、芹菜素苹果酸酯20‑50重量份、三七总皂苷5‑15重量份、甘草酸5‑15重量份和药用多肽0.1‑10重量份。本申请以雷公藤甲素为核心攻击单元,通过引入甘草酸实现主动减毒;加入经苹果酸酯化修饰的芹菜素,在保留其多靶点抗炎活性的同时,彻底解决其生物利用度难题;辅以三七总皂苷改善微循环;并引入药用多肽,对炎症和骨破坏通路进行精准干预。

聚合物辅助的药剂递送

NºPublicación:  CN121752616A 27/03/2026
Solicitante: 
特里姆夫私人有限公司
CN_121752616_PA

Resumen de: AU2024307699A1

Disclosed herein is a bioactive polymer for forming a solution and/or hydrogel to stabilise one or more pharmaceutically active agents prior to, during or post-administration, the polymer comprising a first monomer for binding water, a second monomer for imparting mechanical properties to the scaffold; optionally, a third monomer for binding to a natural or synthetic peptide or protein (NSPP); and a fourth monomer for imparting phase-transition behaviour. Preferably, the first monomer is OEGMA; the second monomer is PLA/HEMA; the third monomer is NAS; and the fourth monomer is NIPAAm, and the polymer comprises: OEGMA in an amount of from about 1 to about 15 mol%; PLA/HEMA in an amount of from 5 to about 50 mol%; NAS in an amount of from 0 to about 15 mol%; and NIPAAm in an amount of up to about 85 mol%.

脂质纳米颗粒及其应用

NºPublicación:  CN121731241A 27/03/2026
Solicitante: 
上海交通大学荣灿生物医药技术(上海)有限公司
CN_121731241_A

Resumen de: CN121731241A

本发明提供了一种脂质纳米颗粒及其应用,具体地提供了一种基于甾醇化可电离脂质的无胆固醇LNP递送系统。该体系通过分子设计将甾醇基团作为疏水尾部整合至可电离脂质骨架中,形成新型甾醇化可电离脂质,并与辅助脂质、PEG‑脂质自组装形成稳定的三组分LNP。本发明克服了传统四组分LNP依赖胆固醇所导致的肝脏高富集问题,核心脂质显著降低了与载脂蛋白E的亲和力,有效规避ApoE/LDLR介导的肝细胞摄取途径。该LNP在完全无需胆固醇的条件下,同时实现了对mRNA的高包封率和优异稳定性,不仅大幅降低肝脏富集,还提高了对脾脏等肝外组织的靶向性,兼具高转染效率和良好生物相容性,为肝外疾病RNA药物的递送提供了创新平台。

MODULAR BACTERIOPHAGE T4 NANOPARTICLE PLATFORM ENABLES RAPID DESIGN OF DUAL COVID-19-FLU MUCOSAL VACCINES

NºPublicación:  US20260083835A1 26/03/2026
Solicitante: 
THE CATHOLIC UNIV OF AMERICA [US]
The Catholic University of America
US_20260083835_A1

Resumen de: US20260083835A1

A non-infections bacteriophage T4 nanoparticle vaccine composition includes a bacteriophage capsid and at least one antigen displayed on the surface of the capsid or packaged in its interior. The vaccine is administered intranasally and is free of an adjuvant. The antigen is selected from respiratory viruses including coronavirus and influenza.

IONISABLE LIPIDS

NºPublicación:  WO2026060493A1 26/03/2026
Solicitante: 
COMMONWEALTH SCIENT AND INDUSTRIAL RESEARCH ORGANISATION [AU]
COMMONWEALTH SCIENTIFIC AND INDUSTRIAL RESEARCH ORGANISATION
WO_2026060493_A1

Resumen de: WO2026060493A1

The present disclosure relates to ionisable lipids of Formula I and related structures that comprise a headgroup, core, and hydrophobic substituents. The lipids are capable of forming lipid particles, including lipid nanoparticles (LNPs), in combination with additional lipids such as neutral lipids, charged lipids, structural lipids, or PEGylated lipids. The lipid particles are suitable for delivery of therapeutic agents, including polynucleotides, peptides, antibodies, and small molecules. Compositions comprising the ionisable lipids and methods of forming and using the lipid particles are also provided.

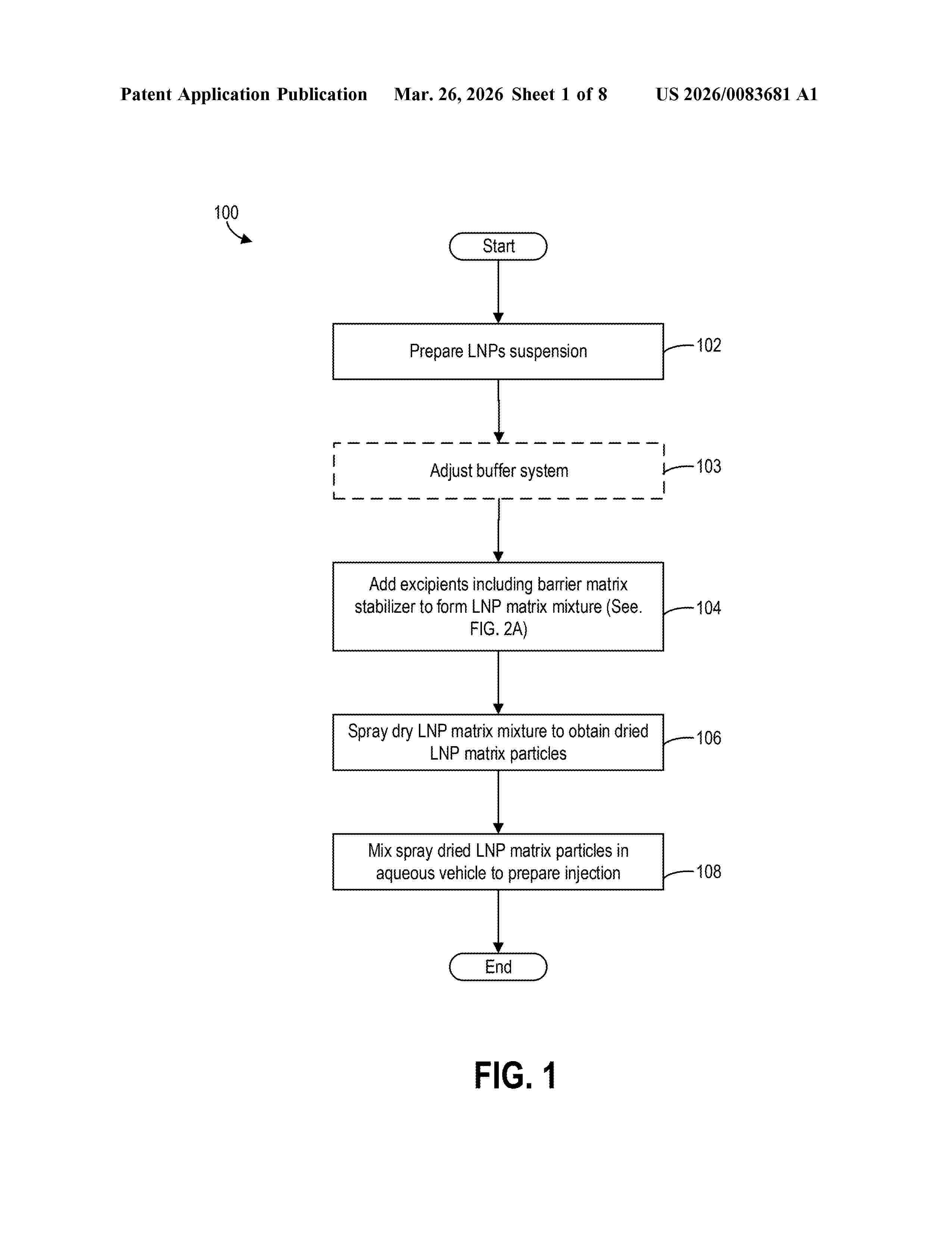
FORMULATIONS OF SPRAY DRIED LIPID NANOPARTICLES

NºPublicación:  US20260083681A1 26/03/2026
Solicitante: 
SERAN BIOSCIENCE LLC [US]
Ser\u00E1n BioScience, LLC
US_20260083681_A1

Resumen de: US20260083681A1

A formulation is provided for a spray dried lipid nanoparticle matrix particles, including lipid nanoparticles, a buffer system, and a barrier matrix stabilizer, wherein the barrier matrix stabilizer is included in a solid weight percent based on a maximum osmolarity and a maximum acceptable injectable volume of an injectable formulation comprising the spray dried lipid nanoparticle matrix particles.

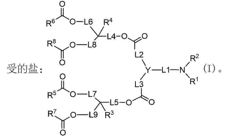
PHOSPHATIDYLAMINE COMPOUNDS INCLUDING A PLURALITY OF TERTIARY AMINO GROUP STRUCTURES AND COMPOSITIONS THEREOF

NºPublicación:  US20260085081A1 26/03/2026
Solicitante: 
PEKING UNIV [CN]
PROXYBIO THERAPEUTICS CO LTD [CN]
PEKING UNIVERSITY,
PROXYBIO THERAPEUTICS CO., LTD
US_20260085081_A1

Resumen de: US20260085081A1

A phosphatidylamine compound including a plurality of tertiary amino group structures and the composition thereof are provided. The phosphatidylamine compound is a phospholipid compound including two or more tertiary amino group structures, the structure of which is represented by the following formula (I). The compound works together with other lipid components such as cholesterol, DSPC/DOPE, DMG-PEG2000, and other helper lipids to form lipid nanoparticles (LNPs), which may be used for efficient delivery of drug molecules such as nucleic acids (siRNA, mRNA, pDNA), thereby realizing diagnosis and treatment of diseases such as cancer, fibrosis (e.g., liver, lung, kidney).

COMPOSITIONS AND METHODS FOR GENOME EDITING

NºPublicación:  US20260083860A1 26/03/2026
Solicitante: 
POSEIDA THERAPEUTICS INC [US]
Poseida Therapeutics, Inc
US_20260083860_A1

Resumen de: US20260083860A1

Disclosed are methods and compositions for functional genetic modifications at selected sites. Also provided are cell populations, which comprise targeted integration of one or more exogenous polynucleotides, and/or indels at one or more selected gene loci.

RNA COMPLEXES AND NANOSTRUCTURES FOR TREATMENT OF CANCER METASTASIS

NºPublicación:  US20260083770A1 26/03/2026
Solicitante: 
OHIO STATE INNOVATION FOUND [US]
OHIO STATE INNOVATION FOUNDATION
US_20260083770_A1

Resumen de: US20260083770A1

Disclosed herein are compositions and methods for one step CMC production of RNA therapeutic complexes (nanostructures) that contain nucleoside analogues. In some embodiments, the nucleoside analogues are incorporated into RNA oligonucleotides that self-assemble into an RNA complex during RNA synthesis in a one-step production. Therefore, no additional conjugation or synthesis processes are required.

2-Aminopropane-1,3-Diol-Capped Cationic Peptoids for Nucleic Acid Delivery

NºPublicación:  US20260083769A1 26/03/2026
Solicitante: 
NUTCRACKER THERAPEUTICS INC [US]
NUTCRACKER THERAPEUTICS, INC
US_20260083769_A1

Resumen de: US20260083769A1

The present disclosure provides delivery vehicle compositions comprising hydroxyalkyl-capped cationic peptoids, such as 2-aminopropane-1,3-diol-capped cationic peptoids, and complexes of the delivery vehicles with polyanionic compounds, such as nucleic acids. The disclosure further provides methods of making and using the delivery vehicle compositions and complexes, such as for the delivery polyanionic compounds (e.g., nucleic acids) to cells. The disclosure also provides methods of eliciting an immune response with the delivery vehicle complexes of the disclosure.

KIT FOR MANUFACTURE OF DRUG-CONTAINING NANOPARTICLES AND NANOPARTICLE COMPOSITION FOR DRUG DELIVERY

NºPublicación:  US20260083682A1 26/03/2026
Solicitante: 
SAMYANG HOLDINGS CORP [KR]
SAMYANG HOLDINGS CORPORATION
US_20260083682_A1

Resumen de: US20260083682A1

The present invention relates to a kit for construction of drug-containing nanoparticles and a nanoparticle composition for drug delivery. More specifically, the present invention concerns a kit for construction of drug-containing nanoparticles and a nanoparticle composition for drug delivery, each designed to increase the efficiency of cellular drug delivery by utilizing nanoparticles that include a cationic compound and an anionic polymer compound with at least one acidic functional group.

PROTEIN NANOSPHERES AND METHOD TO TREAT DYSFUNCTION FROM CHEMOTHERAPY AND IMMUNOSUPPRESSIVE THERAPY

NºPublicación:  US20260083683A1 26/03/2026
Solicitante: 
YEN RICHARD C K [US]
Yen Richard C.K
US_20260083683_A1

Resumen de: US20260083683A1

A protein nanospheres and method to treat dysfunction from chemotherapy and immunosuppressive therapy, and a manufacture of fibrinogen-coated albumin spheres (FAS) and High-Fibrinogen Spheres (HFS) which have higher concentrations of fibrinogen molecules per sphere than FAS, and their use for medical treatments. Both kinds of nanoparticles are effective in the mitigation of the toxic effects of certain chemotherapeutic and radiological agents that are typically used in the treatment of cancer, or the treatment of autoimmune diseases, or for patients with both diseases. FAS and HFS can exert their beneficial effects via a variety of mechanisms which match the need of the body for specific cell types, including any of the subgroups of T cells and antibody producing cells, the relative concentration of each kind is vital to the balance between tumor surveillance and autoimmune disease suppression.

MESOPOROUS NANO-MAGNESIUM OXIDE FOR DRUG LOADING AND PREPARATION METHOD THEREOF

NºPublicación:  US20260083680A1 26/03/2026
Solicitante: 
SHANGHAI INSTITUTE OF TECH [CN]
SHANGHAI INSTITUTE OF TECHNOLOGY
US_20260083680_A1

Resumen de: US20260083680A1

A mesoporous nano-magnesium oxide for drug loading and a preparation method thereof are provided. The mesoporous nano-magnesium oxide particle has a particle size of 50 nm to 150 nm, and includes abundant mesoporous structures with a pore size of 2 nm to 20 nm. A surface of the particle has a positive potential in absolute ethanol, with a Zeta potential distribution of 10 mV to 100 mV. The preparation method includes: preparing a mixture of magnesium oxalate and CTAB as a precursor; adding the precursor to a quartz crucible, and placing the quartz crucible in a muffle furnace; calcining at 200°C for 1 h to make the CTAB in the mixture completely decomposed to produce pure magnesium oxalate; and heating to 530°C, and calcining for 1 h to 6 h to make the magnesium oxalate fully decomposed to produce the nano-magnesium oxide microparticle.

OIL-IN-WATER EMULSIONS FOR TOPICAL ADMINISTRATION AND USES THEREOF

NºPublicación:  US20260083673A1 26/03/2026
Solicitante: 
INSTITUT NATIONAL DE LA SANTE ET DE LA RECH MEDICALE [FR]
CENTRE NATIONAL DE LA RECHERCHE SCIENT [FR]
UNIV PARIS CITE [FR]
UNIV PARIS SACLAY [FR]
INSTITUT NATIONAL DE LA SANT\u00C9 ET DE LA RECHERCHE M\u00C9DICALE,
CENTRE NATIONAL DE LA RECHERCHE SCIENTIFIQUE,
UNIVERSITE PARIS CITE,
UNIVERSITE PARIS-SACLAY
US_20260083673_A1

Resumen de: US20260083673A1

Oil-in-water Pickering emulsion comprising: an oil phase comprising a first therapeutic agent, an aqueous phase, polyester nanoparticles comprising a second therapeutic agent, wherein the oil phase is in the form of droplets and is dispersed in a continuous aqueous phase, and wherein at least a portion of the nanoparticles are localized at an interface between the oil phase and the aqueous phase, characterized in that the aqueous phase comprises hyaluronan. This new emulsion allows the topical treatment of inflammatory dermatoses such as psoriasis, atopic dermatitis or prurigo, benign skin inflammations such as inflammatory acne, scalp pathologies such asalopecia, dermo-cosmetic conditions, such as very dry irritable skin, tumor pathologies such as mycosis fungoides (indolent cutaneous T lymphoma) or cutaneous mastocytosis (accumulation and abnormal proliferation of mast cells in the dermis, with intense pruritus), and fibrosing pathologies such as keloids (raised, pruritic dystrophic scars, which have the particularity of not regressing spontaneously and of being able to extend beyond the traumatic/injured area).

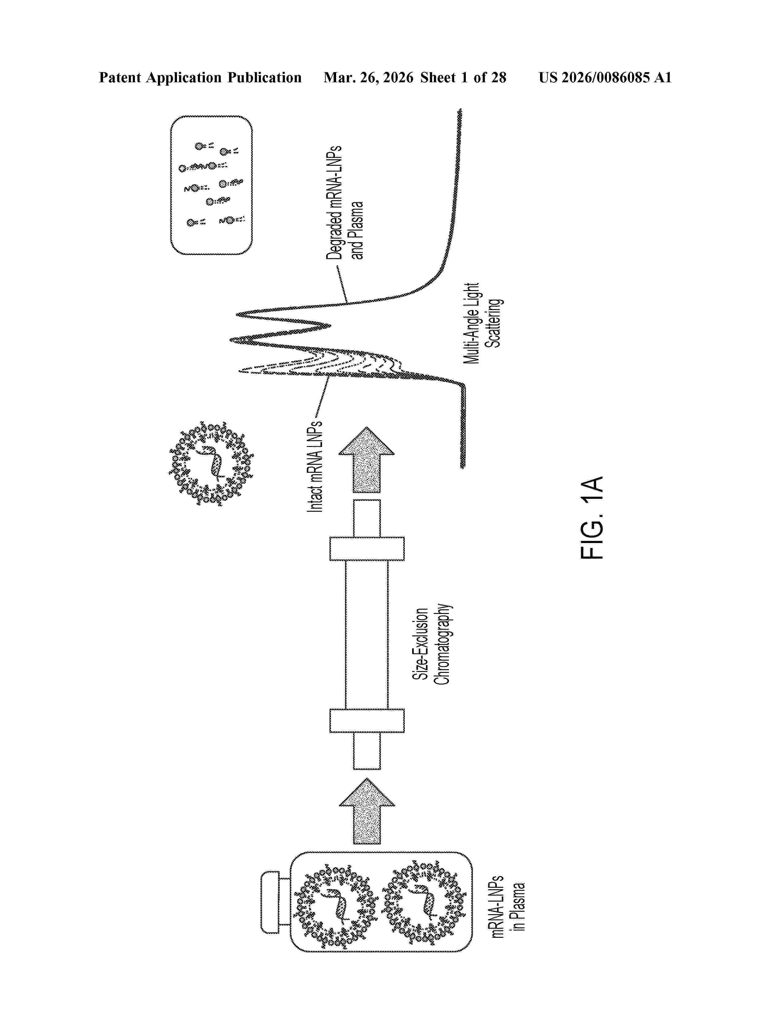
METHODS OF ANALYZING LIPID NANOPARTICLES IN PHYSIOLOGICAL FLUIDS

NºPublicación:  US20260086085A1 26/03/2026
Solicitante: 
AGILENT TECH INC [US]
AGILENT TECHNOLOGIES, INC
US_20260086085_A1

Resumen de: US20260086085A1

Methods and systems for analyzing lipid nanoparticles using size exclusion chromatograph coupled with multi angle light scattering are disclosed.

Carrier-PD-L1 Binding Agent Compositions for Treating Cancers

NºPublicación:  US20260085120A1 26/03/2026
Solicitante: 
MAYO FOUNDATION FOR MEDICAL EDUCATION AND RES [US]
Mayo Foundation for Medical Education and Research
US_20260085120_A1

Resumen de: US20260085120A1

Described herein are compositions of binding agents and carrier proteins, and optionally at least one therapeutic agent, and methods of making and using the same, in particular, as a cancer therapeutic. Also described are lyophilized compositions of binding agents and carrier proteins, and optionally at least one therapeutic agent, and methods of making and using the same, in particular, as a cancer therapeutic. Still also described are methods for treating and/or increasing the therapeutic effectiveness of an immunotherapy of a patient suffering from a cancer which expresses PD-LI or PD-L2 by administering to the patient a nanoparticle composition and a PD-I immunotherapy.

Formulated and/or co-formulated liposome compositions containing IDO antagonist prodrugs useful in the treatment of cancer and methods thereof

NºPublicación:  AU2026201779A1 26/03/2026
Solicitante: 
NAMMI THERAPEUTICS INC
Nammi Therapeutics, Inc
AU_2026201779_A1

Resumen de: AU2026201779A1

Formulated and/or co-formulated liposomes comprising IDO prodrugs and methods of making the liposomes are disclosed herein. The IDO prodrug compositions comprise a drug moiety, a lipid moiety, and linkage unit that inhibit IDO-1. The IDO prodrugs can be formulated and/or co-formulated into a liposome to provide a method of treating cancer, immunological disorders, and other disease by utilizing a targeted drug delivery vehicle. ar a r

LIPIDS CONTAINING AN OLIGOGLYCEROL GROUP

NºPublicación:  AU2024345757A1 26/03/2026
Solicitante: 
THERMOSOME GMBH
THERMOSOME GMBH
AU_2024345757_PA

Resumen de: AU2024345757A1

The present invention relates to oligoglycerol-containing lipids and in particular to cationic or cationizable oligoglycerol-containing lipids and to a method for providing these oligoglycerol-containing lipids. Further, the present invention relates to liposomes, in particular thermosensitive liposomes comprising the novel oligoglycerol-containing lipids. Further the invention relates to liposomes comprising the novel oligoglycerol-containing lipids, which liposomes have an adjustable surface charge.

LIPIDOID COMPOUNDS AND RELATED COMPOSITIONS AND USES

NºPublicación:  AU2024332565A1 26/03/2026
Solicitante: 
POSEIDA THERAPEUTICS INC
POSEIDA THERAPEUTICS, INC
AU_2024332565_PA

Resumen de: AU2024332565A1

The present disclosure provides lipidoid compounds of formulae (I) and (II) and compositions comprising them, methods of preparing such compositions, and the use of these compositions in gene delivery applications.

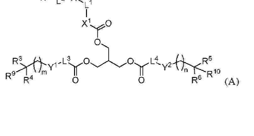
IONIZABLE LIPIDS WITH BRANCHED HEAD GROUPS

NºPublicación:  AU2024325364A1 26/03/2026
Solicitante: 
BEAM THERAPEUTICS INC
BEAM THERAPEUTICS INC
AU_2024325364_PA

Resumen de: AU2024325364A1

The present disclosure describes compositions, preparations, nanoparticles (such as lipid nanoparticles), and/or nanomaterials and methods of their use such as a compound of Formula (A) or a pharmaceutically acceptable salt thereof.

IMMUNOGENIC COMPOSITIONS

NºPublicación:  AU2024357274A1 26/03/2026
Solicitante: 
PFIZER INC
PFIZER INC
AU_2024357274_A1

Resumen de: AU2024357274A1

The invention relates to lipid nanoparticles, immunogenic compositions and methods for use thereof.

Nanopartículas híbridas de polímeros lipídicos

NºPublicación:  CO2026000058A2 26/03/2026
Solicitante: 
SAHAJANAND MEDICAL TECH LIMITED [IN]
SAHAJANAND MEDICAL TECHNOLOGIES LIMITED
KR_20260022309_PA

Resumen de: AU2023452365A1

Present disclosure describes a lipid polymer hybrid nanoparticle and a method to synthesize such nanoparticles or such nanoparticle-containing compositions. The nanoparticles are made of biodegradable polymer based micellar core surrounded by lipid-based shell, wherein majority of a pharmaceutical agent is present on the inner periphery of such nanoparticles due to physical adherence with the lipid molecules. Only a minor amount of the pharmaceutical agent is encapsulated in the micellar core. Hence, the lipid-based shell becomes a primary excipient part of the nanoparticle and the biodegradable polymer containing core becomes a secondary excipient part of the nanoparticle.

POLYGLYCEROL-CONJUGATED LIPIDS AND LIPID NANOPARTICLE COMPOSITIONS COMPRISING THE SAME

NºPublicación:  WO2026064512A1 26/03/2026
Solicitante: 
GENERATION BIO CO [US]
STANTON MATTHEW G [US]
ROSE DOUGLAS A [US]
SHAH SACHIT [US]
SYROVATKINA VIKTORIYA [US]
HAMM LUKE S [US]
ROSENFELD JULIE [US]
GENERATION BIO CO,
STANTON, Matthew, G,
ROSE, Douglas, A,
SHAH, Sachit,
SYROVATKINA, Viktoriya,
HAMM, Luke, S,
ROSENFELD, Julie
WO_2026064512_A1

Resumen de: WO2026064512A1

The present disclosure provides novel polymer-conjugated lipids conjugated to a polyglycerol or a polyglycerol derivative. The present disclosure also provides lipid nanoparticles (LNPs) formulation using the polymer-conjugated lipids and methods of treating a disease by administering the LNP formulations, including multiple doses of the LNP formulations.

COMPOSITIONS AND METHODS FOR IN VIVO GENETIC ENGINEERING OF LYMPHOCYTE PRECURSORS

NºPublicación:  WO2026064752A1 26/03/2026
Solicitante: 
NEWBERRY SKYLER [US]
NEWBERRY, Skyler
WO_2026064752_A1

Resumen de: WO2026064752A1

Disclosed are compositions and methods for in vivo genetic engineering of lymphocyte precursors. A lipid nanoparticle (LNP), surface-functionalized for lymphocyte precursor targeting, encapsulates a DNA payload comprising a therapeutic gene flanked by engineered Recombination Signal Sequences (RSS). The RSS spacer incorporates at least one non-natural nucleotide, reducing integration risks. Because RAG1 and RAG2 are expressed only after commitment to the lymphoid lineage, integration is restricted to immune precursors and cannot occur in stem cells or reproductive cells. Upon systemic delivery, the endogenous RAG1/RAG2 complex integrates the payload into the precursor genome. Modified precursors undergo clonal expansion in vivo, amplifying the therapeutic effect from relatively low doses. In certain embodiments, the DNA payload encodes receptors or antibodies that specifically recognize aggregated amyloid proteins, including transthyretin (TTR) fibrils and immunoglobulin light- chain aggregates, enabling therapeutic treatment of amyloidosis. However, the platform is not limited to amyloidosis and can be applied to oncology, infectious diseases, autoimmune disorders, and other protein misfolding conditions.

FLUORESCENT NANODIAMOND FOR IMAGE GUIDED TARGETED DRUG DELIVERY

NºPublicación:  WO2026064744A1 26/03/2026
Solicitante: 
BOARD OF REGENTS THE UNIV OF TEXAS SYSTEM [US]
BOARD OF REGENTS, THE UNIVERSITY OF TEXAS SYSTEM
WO_2026064744_A1

Resumen de: WO2026064744A1

The subject invention provides materials and methods for treating diseases affecting the central nervous system (CNS) and/or other viral reservoir organs utilizing nanoscopic diamond particles, i.e., nanodiamonds (ND), loaded with drug molecules and microglial targeting moiety.

MULTIVALENT NANOPARTICLE COMPOSITIONS AND USES THEREOF

NºPublicación:  WO2026064791A1 26/03/2026
Solicitante: 
VIRGINIA TECH INTELLECTUAL PROPERTIES INC [US]
VIRGINIA TECH INTELLECTUAL PROPERTIES, INC
WO_2026064791_A1

Resumen de: WO2026064791A1

Described herein are multivalent nanoparticles. In some embodiments, the multivalent nanoparticles contain a programmable stochiometric amount of three or more polypeptides attached to a lipid shell of the multivalent nanoparticles. In some embodiments, one or more of the polypeptides is an antigenic polypeptide. Also described herein are formulations, such as vaccine formulations, that can contain a multivalent nanoparticle described herein. Also described herein are methods of using the multivalent nanoparticles described herein, such as in a vaccine or drug delivery.

LIPID-NANOPARTICLE DELIVERY OF SIRNA TO TREAT BRAIN TUMORS

NºPublicación:  WO2026064536A1 26/03/2026
Solicitante: 
UNIV OF FLORIDA RESEARCH FOUNDATION INCORPORATED [US]
THE JOHNS HOPKINS UNIV [US]
UNIVERSITY OF FLORIDA RESEARCH FOUNDATION, INCORPORATED,
THE JOHNS HOPKINS UNIVERSITY
WO_2026064536_A1

Resumen de: WO2026064536A1

The disclosure provides a liposome nanoparticle, a pharmaceutical composition comprising liposome nanoparticles, and a method of treating brain cancer. In some aspects, the liposome nanoparticle comprising a folate bearing lipid and nucleic acid molecules (e.g., siRNA or shRNA) that reduce the expression of H2.0 Like Homeobox (HLX). The liposome nanoparticle optionally comprises a diameter of about 50 nm to about 400 nm. In some aspects, the pharmaceutical composition comprises the liposome nanoparticles and a pharmaceutically acceptable carrier, diluent, or excipient. In some aspects, the method of treating brain cancer comprises administering to a subject in need thereof the liposome nanoparticle.

SILICON-CONTAINING SPLEEN-TARGETED LNP DELIVERY SYSTEMS

NºPublicación:  WO2026062291A1 26/03/2026
Solicitante: 
ALDEXCHEM KFT [HU]
ALDEXCHEM KFT
WO_2026062291_A1

Resumen de: WO2026062291A1

The present invention belongs to the field of biomedicine and drug delivery. The invention relates to LipexSil® lipid-containing nanoparticle ("LNP") compositions, that permit preferential targeting of spleen versus liver, where preferential targeting is defined as a luminescence intensity ratio of spleen and liver greater than 9 after administration of a luminescent cargo, when the different weights of spleen and liver are taken into account. In the LNP composition, a silicon-containing ionizable lipid is combined with a certain structural lipid, a helper lipid, a shield lipid and a fifth lipid component. The invention describes the production and characterization of the lipid nanoparticles and in vivo experiments demonstrating that the corresponding formulations with LipexSil® lipids as described in WO2024/023174 are superior to the current approach, delivering their cargo (e.g. RNA, DNA, mRNA, microRNA, siRNA, ceDNA, pDNA, circular DNA, small biologically active molecules) preferentially to the spleen.

COMPOSITIONS AND METHODS

NºPublicación:  WO2026062193A1 26/03/2026
Solicitante: 
BIONTECH SE [DE]
BIONTECH SE
WO_2026062193_A1

Resumen de: WO2026062193A1

A method of producing a composition containing a nucleic acid-lipid particle, the method comprising the steps (a) to (d): (a) preparing a first mixture which is a lipid mixture comprising a cationically ionizable lipid in a water-soluble organic solvent; (b) preparing a second mixture in aqueous solution, the second mixture comprising (i) a nucleic acid and (ii) malate buffer; (c) mixing the first mixture with the second mixture to produce an intermediate composition comprising the nucleic acid-lipid particle; and (d) further processing of the intermediate composition by buffer exchange, wherein the buffer used in the buffer exchange comprises tris(hydroxymethyl)-aminomethane (Tris) and/or a pharmaceutically acceptable salt thereof, to produce the composition comprising the nucleic acid-lipid particle; is provided.

IODINE-BASED NANOPARTICLES MANUFACTURED BY ELECTRON BEAM IRRADIATION, METHOD FOR MANUFACTURING SAME, AND MEDICAL USE THEREOF

NºPublicación:  WO2026063749A1 26/03/2026
Solicitante: 
KYUNGPOOK NATIONAL UNIV INDUSTRY ACADEMIC COOPERATION FOUNDATION [KR]
\uACBD\uBD81\uB300\uD559\uAD50 \uC0B0\uD559\uD611\uB825\uB2E8
WO_2026063749_A1

Resumen de: WO2026063749A1

The present invention relates to a novel synthesis method for iodine-based nanoparticles and, more specifically, to iodine-based nanoparticles manufactured by electron beam irradiation, a method for manufacturing same, and a medical use thereof. Unlike conventional chemical synthesis methods, the method for manufacturing iodine-based nanoparticles, according to the present invention, can rapidly mass-produce small- and uniform-sized nanoparticles with a simple synthesis method using electron beam irradiation, and the iodine-based nanoparticles manufactured thereby are loaded with melittin and conjugated with transferrin, and thus can be used as a contrast agent for diagnostic imaging, as a drug delivery platform targeting a transferrin receptor, and as a therapeutic agent capable of treating vascular diseases by delivering drugs such as melittin.

METHOD FOR PREPARING GENETIC MATERIAL DELIVERY NANOGEL, GENETIC MATERIAL DELIVERY NANOGEL PREPARED USING METHOD, AND USE THEREOF

NºPublicación:  WO2026063696A1 26/03/2026
Solicitante: 
KOREA UNIV RESEARCH AND BUSINESS FOUNDATION [KR]
\uACE0\uB824\uB300\uD559\uAD50 \uC0B0\uD559\uD611\uB825\uB2E8
WO_2026063696_A1

Resumen de: WO2026063696A1

The present invention relates to a method for preparing a genetic material delivery nanogel, which is based on a positively charged polymer-naturally derived polymer-phenol compound copolymer, the method comprising the steps of: (1) introducing a carboxylic acid or amine group-containing phenol compound into a naturally derived polymer so as to prepare a naturally derived polymer-phenol compound copolymer, which is amide-bonded and cross-linkable; and (2) introducing a positively charged polymer or material into the naturally derived polymer-phenol compound copolymer of step (1) so as to prepare a positively charged polymer-naturally derived polymer-phenol compound copolymer, which is amide-bonded.

LIPID NANOPARTICLE USED FOR DELIVERING NUCLEIC ACID MOLECULE ENCODING SECRETORY PROTEIN AND USE THEREOF

NºPublicación:  WO2026061393A1 26/03/2026
Solicitante: 
BEIJING JITAI LIFE SCIENCES LTD [CN]
METIS TECHBIO CO LTD [CN]
\u5317\u4EAC\u5242\u6CF0\u751F\u547D\u79D1\u6280\u6709\u9650\u516C\u53F8,
\u5242\u6CF0\u79D1\u6280\uFF08\u5317\u4EAC\uFF09\u80A1\u4EFD\u6709\u9650\u516C\u53F8
WO_2026061393_A1

Resumen de: WO2026061393A1

Provided in the present invention are a lipid nanoparticle used for delivering a nucleic acid molecule that encodes a secretory protein and the use thereof. The lipid nanoparticle can deliver the nucleic acid molecule to the liver for the treatment of liver diseases and other diseases. Also provided in the present invention are a preparation method for the lipid nanoparticle, a pharmaceutical composition comprising the lipid nanoparticle, and the use of the lipid nanoparticle and the pharmaceutical composition in the treatment of diseases.

PARTICLES WITH TUNABLE ELASTICITY FOR CELLULAR ENGINEERING AND SERUM PROFILING

NºPublicación:  WO2026064341A2 26/03/2026
Solicitante: 
THE JOHNS HOPKINS UNIV [US]
THE JOHNS HOPKINS UNIVERSITY
WO_2026064341_A2

Resumen de: WO2026064341A2

Disclosed are polymeric nanoparticles and microparticles having a tunable elastic modulus and having one or more biological proteins conjugated to a surface thereof and their use in immunotherapies for treating diseases, such as cancer or infectious diseases.

NANOPARTICLE COMPLEXES AND THERAPEUTIC USES THEREFOR

NºPublicación:  WO2026064396A1 26/03/2026
Solicitante: 
TORALGEN INC [US]
TORALGEN, INC
WO_2026064396_A1

Resumen de: WO2026064396A1

Orally administrable nanoparticle complexes of biological molecules and biopolymers are described herein, and include formulations for the oral administration of peptides, proteins, nucleic acids, and antibodies.

RAPIDLY METABOLIZED LIPID COMPOUND

NºPublicación:  WO2026061537A1 26/03/2026
Solicitante: 
BEIJING JITAI PHARMACEUTICAL TECH CO LTD [CN]
HANGZHOU JITAI PHARMACEUTICAL TECH CO LTD [CN]
\u5317\u4EAC\u5242\u6CF0\u533B\u836F\u79D1\u6280\u6709\u9650\u516C\u53F8,
\u676D\u5DDE\u5242\u6CF0\u533B\u836F\u79D1\u6280\u6709\u9650\u8D23\u4EFB\u516C\u53F8
WO_2026061537_A1

Resumen de: WO2026061537A1

The present invention provides an ionizable lipid compound, and specifically relates to a compound of formula (I'), or a pharmaceutically acceptable salt, isotopic variant, tautomer or stereoisomer thereof. The present invention also provides a nanoparticle pharmaceutical composition comprising the compound, and a use of the compound and the composition comprising same in nucleic acid delivery.

DTRIM24 BIOCOMPATIBILITY-BASED ANTI-ATHEROSCLEROTIC NANOPARTICLES

NºPublicación:  WO2026060590A1 26/03/2026
Solicitante: 
THE THIRD AFFILIATED HOSPITAL GUANGZHOU MEDICAL UNIV GUANGZHOU MEDICAL CENTER FOR CRITICAL PREGNANT [CN]
\u5E7F\u5DDE\u533B\u79D1\u5927\u5B66\u9644\u5C5E\u7B2C\u4E09\u533B\u9662\uFF08\u5E7F\u5DDE\u91CD\u75C7\u5B55\u4EA7\u5987\u6551\u6CBB\u4E2D\u5FC3\u3001\u5E7F\u5DDE\u67D4\u6D4E\u533B\u9662\uFF09
WO_2026060590_A1

Resumen de: WO2026060590A1

The present application relates to the technical field of nanocapsules for medical preparations, and particularly relates to dTRIM24 biocompatibility-based anti-atherosclerotic nanoparticles composed of nanoparticles and M1 macrophage membrane vesicles. By using a microfluidic photoporation chip, the nanoparticles are encapsulated by the M1 macrophage membrane vesicles. The nanoparticles are obtained by combining dTRIM24 and Fe3O4 magnetic nanoparticles. The biomimetic nanoparticles of the present application reasonably solve the problems of poor specificity and low efficiency, and have improved anti-atherosclerotic plaque-targeting and biological homology.

IONISABLE LIPIDS

NºPublicación:  WO2026060495A1 26/03/2026
Solicitante: 
COMMONWEALTH SCIENT AND INDUSTRIAL RESEARCH ORGANISATION [AU]
COMMONWEALTH SCIENTIFIC AND INDUSTRIAL RESEARCH ORGANISATION
WO_2026060495_A1

Resumen de: WO2026060495A1

The present disclosure relates to ionisable lipids of Formula I and related structures that comprise a headgroup, core, and hydrophobic substituents. The lipids are capable of forming lipid particles, including lipid nanoparticles (LNPs), in combination with additional lipids such as neutral lipids, charged lipids, structural lipids, or PEGylated lipids. The lipid particles are suitable for delivery of therapeutic agents, including polynucleotides, peptides, antibodies, and small molecules. Compositions comprising the ionisable lipids and methods of forming and using the lipid particles are also provided.

BIODEGRADABLE POLYMERIC PARTICLES FOR DELIVERY OF POSITIVELY CHARGED THERAPEUTIC AGENTS

NºPublicación:  US20260083830A1 26/03/2026
Solicitante: 
REGENTS OF THE UNIV OF MICHIGAN [US]
REGENTS OF THE UNIVERSITY OF MICHIGAN
US_20260083830_A1

Resumen de: US20260083830A1

The disclosure relates to microparticles and nanoparticles comprising a polymer matrix comprising an uncapped polymer and a net positively charged therapeutic agent at neutral pH. More particularly the disclosure relates to PLGA and/or PLA particles comprising an uncapped polymer for extended, controlled release of positively charged proteins or peptides at neutral pH. Methods of making the particles and administering the particles are also provided.

免疫応答を調節可能な金属含有製剤のための組成物および方法

NºPublicación:  JP2026053478A 25/03/2026
Solicitante: 
ザリージェンツオブザユニバーシティオブミシガン
JP_2026053478_A

Resumen de: JP2024028876A

To provide compositions capable of stimulating the innate immune response.SOLUTION: A composition comprises nanoparticles comprising: one or more DAMPs or PAMPs; and one or more cations selected from the group consisting of Zn2+, Mn2+, Ca2+, Fe2+, Fe3+, Cu2+, Ni2+, Co2+, Pb2+, Sn2+, Ru2+, Au2+, Mg2+, VO2+, Al3+, Co3+, Cr3+, Ga3+, Tl3+, Ln3+, MoO3+, Cu+, Au+, Tl+, Ag+, Hg2+, Pt2+, Pb2+, Hg2+, Cd2+, Pd2+, Pt4+, Na+ and K+.SELECTED DRAWING: None

IONIZABLE AMINE LIPIDS

NºPublicación:  EP4712950A2 25/03/2026
Solicitante: 
INTELLIA THERAPEUTICS INC [US]
Intellia Therapeutics, Inc
KR_20260026021_PA

Resumen de: AU2024275548A1

The disclosure provides ionizable lipids and lipid nanoparticle (LNP) compositions comprising ionizable lipids, helper lipids, neutral lipids, and PEG lipids useful for the delivery of biologically active agents, for example delivering biologically active agents to cells to prepare engineered cells. The LNP compositions disclosed herein are useful in methods of gene editing and methods of delivering a biologically active agent and methods of modifying or cleaving DNA.

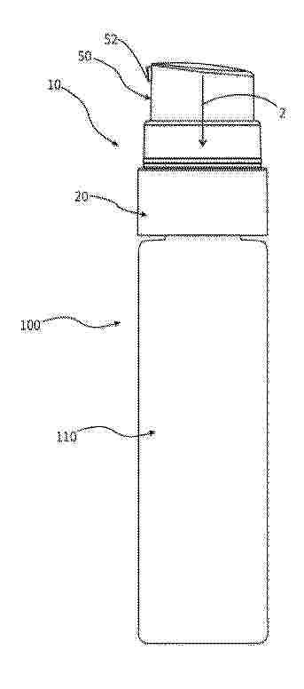
異常または過剰な血管形成の治療のための抗VEGFおよびナノ粒子を含む組成物ならびにそれを使用する方法

NºPublicación:  JP2026053367A 25/03/2026
Solicitante: 
ファム、ランダルタンホアン
JP_2026053367_A

Resumen de: EP4520321A2

A composition for treating abnormal or excessive angiogenesis, such as pyogenic granuloma comprising an anti-vascular endothelial growth factor (anti-VEGF) agent (e.g., an antibody or small molecule inhibitor of VEGF signaling) and a carrier comprising nanoparticles. Methods of treating abnormal or excessive angiogenesis by administering a composition comprising an anti-VEGF agent and nanoparticles, alone or in combination with administering an anti-inflammatory steroid, and administering a non-steroidal anti-inflammatory drug (NSAID) to a subject. Devices for administering the composition for treating pyogenic granuloma are also disclosed.

MRNA/LIPID-POLYMER HYBRID NANOPARTICLE DELIVERY SYSTEM, AND PREPARATION METHOD THEREFOR AND USE THEREOF

NºPublicación:  EP4714436A1 25/03/2026
Solicitante: 
LIANGZHU LABORATORY [CN]
Liangzhu Laboratory
EP_4714436_PA

Resumen de: EP4714436A1

An mRNA/lipid-polymer hybrid nanoparticle delivery system, and a preparation method therefor and the use thereof. The delivery system comprises mRNA, cationic molecules, a polymer and modified amphiphilic molecules, wherein the cationic molecules and the negatively charged mRNA form a compound by means of electrostatic interaction, the polymer is used for accommodating the cationic molecule-mRNA compound, and the three form a stable core structure; and the modified amphiphilic molecules are anchored on the surface of the core structure by means of hydrophobic interaction, thereby forming a sphere-like core-shell structure.

PROCESS FOR PREPARING DISPENSABLE TESTOSTERONE CREAM

NºPublicación:  EP4712981A1 25/03/2026
Solicitante: 
LAWLEY PHARMACEUTICALS PTY LTD [AU]
Lawley Pharmaceuticals Pty Ltd
KR_20260012209_PA

Resumen de: AU2024276494A1

This invention relates to a process of preparing an oil-in-water emulsion comprising testosterone for use in a pump-action dispensing device. It further relates to the oil-in-water emulsion produced by the process of the invention, and the combination of the emulsion with a pump-action dispensing device.

RECOMBINANT TISSUE PLASMINOGEN ACTIVATOR (TPA) FRAGMENTS AND USES THEREOF

NºPublicación:  EP4713445A2 25/03/2026
Solicitante: 
VERSITI BLOOD RES INSTITUTE FOUNDATION INC [US]
MEDICAL COLLEGE WISCONSIN INC [US]
Versiti Blood Research Institute Foundation, Inc,
The Medical College of Wisconsin, Inc
KR_20260025091_PA

Resumen de: CN121419989A

The present technology relates to recombinant polypeptides comprising tissue-type plasminogen activator (tPA) fragments or nucleotides encoding said recombinant polypeptides and their use for the treatment of cardiovascular diseases. In some embodiments, the tPA fragment comprises a kringle 2 domain of the tPA.

METHODS FOR TREATING MUSCLE WASTING DISEASES USING MBV

NºPublicación:  EP4712988A1 25/03/2026
Solicitante: 
UNIV PITTSBURGH COMMONWEALTH SYS HIGHER EDUCATION [US]
UNIVERSITY OF PITTSBURGH - OF THE COMMONWEALTH SYSTEM OF HIGHER EDUCATION
KR_20260010713_PA

Resumen de: CN121152631A

Disclosed are methods of treating muscular atrophy diseases, such as spinal muscular dystrophy or muscular dystrophy, using matrix-bound vesicles (MBV). Compositions for the treatment of muscular atrophic diseases are also disclosed.

PRO-INFLAMMATORY CYTOKINE ENHANCED STEAP1 RECOMBINANT RECEPTORS

NºPublicación:  EP4713461A2 25/03/2026
Solicitante: 
FRED HUTCHINSON CANCER CENTER [US]
Fred Hutchinson Cancer Center
AU_2024274301_PA

Resumen de: AU2024274301A1

Genetic constructs expressing a pro-inflammatory cytokine and a recombinant receptor, such as a chimeric antigen receptor (CAR), with a binding domain that binds STEAP1 are disclosed. The genetic constructs disclosed herein can be used in the treatment of prostate cancer, the Ewing family of tumors (EFT), bladder cancer, ovarian cancer, and rhabdomyosarcoma. The genetic constructs disclosed herein provide enhanced recombinant receptor cytotoxicity, the ability to bind and elicit cytotoxic effects even in low antigen density conditions, and enhanced interferon-gamma signaling which remodels the tumor microenvironment, further improving endogenous antitumor immunity.

GENE EDITING SYSTEMS AND COMPOSITIONS FOR TREATMENT OF HEMOGLOBINOPATHIES AND METHODS OF USING THE SAME

NºPublicación:  EP4712948A2 25/03/2026
Solicitante: 
RENAGADE THERAPEUTICS MAN INC [US]
Renagade Therapeutics Management Inc
AU_2024272060_PA

Resumen de: AU2024272060A1

The present disclosure describes improved LNP-based nucleobase editing systems and therapeutics for use in treating hemoglobinopathies, including sickle cell disease and beta-thalassemia. In particular, the disclosure describes improved LNPs, including novel and improved ionizable lipids for making LNPs, that enhance the targeted delivery of LNP-based nucleobase editing systems and therapeutics to red blood cell progenitor cells, enabling treatment of hemoglobinopathies, in vivo.

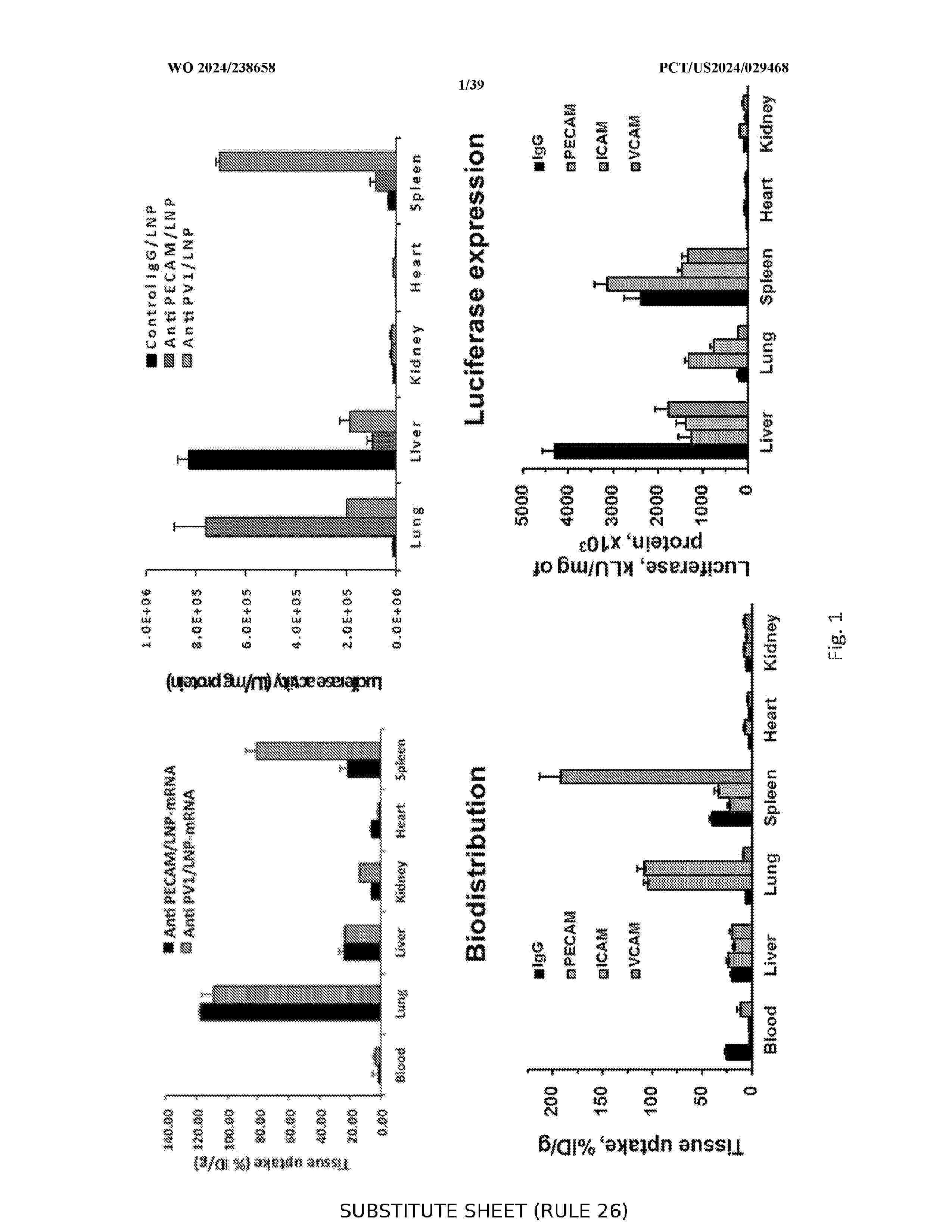
DELIVERY VEHICLE FOR TARGETED DELIVERY TO CARDIOMYOCYTES

NºPublicación:  EP4713016A2 25/03/2026
Solicitante: 
UNIV PENNSYLVANIA [US]
ACUITAS THERAPEUTICS INC [CA]
The Trustees of The University of Pennsylvania,
Acuitas Therapeutics, Inc
WO_2024238658_A2

Resumen de: WO2024238658A2

The present invention relates to compositions and methods for effective delivery of a therapeutic agent to a cardiomyocyte. The invention also relates to methods of use of the delivery methods of the invention for the treatment of diseases and disorders, including the treatment of cardiac diseases and disorders.

HYDROGEL INK, HYDROGEL AND USES THEREOF

NºPublicación:  EP4713035A1 25/03/2026
Solicitante: 
UNIV NANYANG TECH [SG]
NAT UNIV SINGAPORE [SG]
Nanyang Technological University,
National University of Singapore
CN_121240894_PA

Resumen de: CN121240894A

The present disclosure relates to a hydrogel ink comprising a lipid particle, a polynucleotide supported within the lipid particle, and a bio-ink. In one embodiment, the lipid particles comprise extracellular vesicles. The disclosure also relates to hydrogels thereof and their use in treating neurological diseases or conditions or regenerating soft tissue.

EXTRACELLULAR VESICLES

NºPublicación:  EP4713434A1 25/03/2026
Solicitante: 
VIVAZOME THERAPEUTICS PTY LTD [AU]
Vivazome Therapeutics Pty Ltd
KR_20260029502_PA

Resumen de: CN121443726A

The present disclosure relates to microRNAs (miRs) and extracellular vesicles comprising the microRNAs and therapeutic uses thereof, e.g., in modulating angiogenesis.

LIPID NANOPARTICLES AND USES THEREOF

NºPublicación:  EP4712951A1 25/03/2026
Solicitante: 
UNIV MELBOURNE [AU]
PETER MACCALLUM CANCER INST [AU]
The University of Melbourne,
Peter MacCallum Cancer Institute
CN_121712494_A

Resumen de: AU2024271802A1

The present disclosure relates generally to lipid nanoparticles (LNPs) and compositions comprising the same, and their use in delivery of agents, such as nucleic acid-based therapeutics, in particular to transfection recalcitrant cells and/or to lung tissue.

METHODS OF PRODUCING EXTRACELLULAR VESICLES, EXTRACELLULAR VESICLES AND USES THEREOF

NºPublicación:  EP4713437A1 25/03/2026
Solicitante: 
AUSTRALIAN NATIONAL UNIV [AU]
Australian National University
KR_20260034626_PA

Resumen de: AU2024272799A1

The present invention provides a method of producing extracellular vesicles (EVs) comprising incubating or culturing EV producing cells in media. The present invention also provides a population of EVs and compositions comprising the vesicles and methods and uses thereof.

HLA拘束性HORMAD1 T細胞受容体およびその使用

NºPublicación:  JP2026053605A 25/03/2026
Solicitante: 
ボードオブリージェンツ,ザユニバーシティオブテキサスシステム
JP_2026053605_A

Resumen de: US2022409711A1

Provided are T cell receptors (TCR) and TCR variable regions that can selectively bind a Hormad1 peptide/MHC complex. The TCR may be utilized in various therapies, such as autologous Hormad1-TCR adoptive T cell therapy to treat a cancer, such as a solid tumor expressing Hormad1. Methods for expanding related populations of T cells are provided.

一种MaR1纳米颗粒及其制备方法和应用

NºPublicación:  CN121714532A 24/03/2026
Solicitante: 
西南医科大学附属医院
CN_121714532_PA

Resumen de: CN121714532A

本发明涉及生物医药技术领域,具体公开了一种MaR1纳米颗粒及其制备方法和应用,所述MaR1纳米颗粒是将Maresin‑1负载到聚乳酸纳米载体中获得。MaR1纳米颗粒为球形结构,粒径为195nm~215nm。本发明提供的MaR1纳米颗粒有利于促进糖尿病创面愈合,抑制病理性瘢痕形成,加速表皮结构的再生重建,从而治疗糖尿病足溃疡。

具有增强药物应用的特定表面活性剂性质的稳定脂质和类脂质纳米颗粒制剂

NºPublicación:  CN121729225A 24/03/2026
Solicitante: 
埃泽瑞斯公司
CN_121729225_A

Resumen de: WO2025045767A1

This invention presents novel lipid and lipidoid nanoparticle (LNP and LiNP) formulations enhanced with specifically characterized surfactants. These surfactants exhibit unique Langmuir isotherm properties, ensuring optimal stabilization of the nanoparticles. The described formulations improve the stability, reduce aggregation, and mitigate challenges faced during purification, such as filtration clogging or fouling. Integral to the innovation is a method for determining the suitability of surfactants as stabilizers based on predetermined Langmuir isotherm values and filtration speeds. The stabilized nanoparticles, when formulated with therapeutic agents, have demonstrated potential in medical applications, particularly in the realm of mRNA delivery, vaccination and immunization.

一种UTR元件NS1-G及其构建方法和应用

NºPublicación:  CN121718550A 24/03/2026
Solicitante: 
中国医学科学院医学生物学研究所
CN_121718550_PA

Resumen de: CN121718550A

本发明提供一种UTR元件NS1‑G及其构建方法和应用,涉及mRNA技术领域。本发明通过PaddleHelix平台对Pongo abelii influenza virus NS1A binding protein 的5'UTR(NCBI编号:XM_063716772.1)的5'UTR进行核糖体载量预测和二级结构优化,获得的优化序列避免了抑制性发夹结构,使荧光素酶表达量较天然UTR明显提升。在优化序列基础上引入无二级结构的ncRNA序列,进一步解除5'cap区域的翻译抑制,构建的NS1‑G突变体(NS1‑G的DNA序列如SEQ NO. 1所示,RNA序列如SEQ NO. 2所示)使蛋白表达量进一步提升。

一种靶向视网膜载药细胞外囊泡及其制备方法与应用

NºPublicación:  CN121714536A 24/03/2026
Solicitante: 
中南大学湘雅医院
CN_121714536_PA

Resumen de: CN121714536A

本发明公开了一种靶向视网膜载药细胞外囊泡及其制备方法与应用,其包括乳酸杆菌来源的细胞外囊泡和装载于细胞外囊泡内的视网膜缺血再灌注损伤相关疾病治疗药物;所述视网膜缺血再灌注损伤相关疾病治疗药物为吲哚丙酸;所述靶向视网膜载药细胞外囊泡对吲哚丙酸的负载能力为6~8×10‑8微克/颗粒。所述载药细胞外囊泡具有较高的载药率以及良好的生物相容性、良好的胃肠道稳定性,具有生物利用率高、安全性佳的优点。此外,所述负载吲哚丙酸的细胞外囊泡可通过膜融合技术携载视网膜神经元相关标志物蛋白,通过外周静脉给药,可更高效到达眼部视网膜区域。

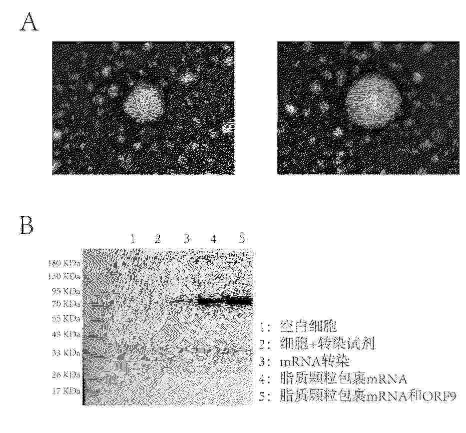
一种基于mRNA-重组蛋白复合体的带状疱疹病毒感染治疗性疫苗及其制备方法和应用

NºPublicación:  CN121714687A 24/03/2026
Solicitante: 
云南东益生物科技有限公司
CN_121714687_PA

Resumen de: CN121714687A

本发明公开了一种基于mRNA‑重组蛋白复合体的带状疱疹病毒感染治疗性疫苗及其制备方法和应用,属于生物医药技术领域。所述疫苗包含编码VZV病毒gE抗原的mRNA分子、VZV病毒的ORF9重组蛋白,以及包裹两者所形成的核酸‑蛋白复合体的脂质纳米颗粒。所述复合体在特定的pH 6.0‑6.4缓冲体系中组装,所述脂质纳米颗粒包含可电离阳离子脂质DHA、DOTAP、DSPC和mPEG‑DTA‑1‑2K。本发明的疫苗不仅能诱导机体产生高水平的抗gE特异性抗体,还能在ORF9蛋白的辅助下,激发强烈的特异性CD8+T细胞免疫反应,从而实现对已感染病毒的清除和组织修复,为带状疱疹的治疗提供了新的有效策略。

一种UTR元件hbb_G及其构建方法和应用

NºPublicación:  CN121718549A 24/03/2026
Solicitante: 
中国医学科学院医学生物学研究所
CN_121718549_A

Resumen de: CN121718549A

本发明提供一种UTR元件hbb_G及其构建方法和应用,涉及mRNA技术领域。本发明通过PaddleHelix平台对Homo sapiens voucher Baka_10_1 hemoglobin subunit beta(NCBI编号为MK475748.1)的5'UTR进行核糖体载量预测和二级结构优化,获得的优化序列避免了抑制性发夹结构,使荧光素酶表达量较天然UTR明显提升。在优化序列基础上引入无二级结构的ncRNA序列,进一步解除5'cap区域的翻译抑制,构建的hbb_G突变体(hbb_G的DNA序列如SEQ NO. 1所示,RNA序列如SEQ NO. 2所示)使蛋白表达量进一步提升。

一种工程化仿生核酸纳米囊泡及其制备方法与应用

NºPublicación:  CN121714534A 24/03/2026
Solicitante: 
哈尔滨医科大学
CN_121714534_PA

Resumen de: CN121714534A

本发明公开了一种工程化仿生核酸纳米囊泡及其制备方法与应用,涉及于纳米生物医学技术领域,为解决针对肿瘤细胞内部GSDMD表达的缺失与切割障碍,传统阳离子脂质纳米载体存在体内靶向效率及免疫原性有限的问题。本发明技术要点包括:提供了一种工程化仿生核酸纳米囊泡,由工程化巨噬细胞来源的外泌体包裹阳离子脂质核酸药物制备得到;其中工程化巨噬细胞来源的外泌体为SEQ.ID.NO.1所示的PD1高表达的巨噬细胞来源的外泌体;所述脂质核酸药物由阳离子脂质体负载基于SEQ.ID.NO.2所示的GSDMD‑N mRNA制备得到。本发明工程化仿生核酸纳米囊泡用于制备口腔鳞癌诊断试剂盒、治疗药物。

一种MMP13-DNA/NVs@GA水凝胶缓释系统及其制备方法与应用

NºPublicación:  CN121714511A 24/03/2026
Solicitante: 
上海大学苏州上海大学创新中心
CN_121714511_PA

Resumen de: CN121714511A

本发明属于生物医药材料技术领域,涉及一种MMP13‑DNA/NVs@GA水凝胶缓释系统及其制备方法与应用,将具有MMP13响应的适配体DNA水凝胶与负载GA的细胞膜仿生纳米囊泡相结合,形成MMP13‑DNA/NVs@GA水凝胶缓释系统。与现有技术相比,本发明的MMP13‑DNA/NVs@GA水凝胶缓释系统响应炎症微环境中过表达MMP13,精准控释促M1表型巨噬细胞极化药物GA驱动M1表型巨噬细胞极化为M2表型,从而释放TGF‑β促进骨髓间充质干细胞分化为软骨细胞,同时利用细胞同源性提升囊泡精准递送效率,为骨关节炎治疗提供一种兼具智能响应型与治疗精准行的新型策略。

靶向TRIM29在制备治疗胆囊癌药物中的应用

NºPublicación:  CN121718539A 24/03/2026
Solicitante: 
中国人民解放军陆军军医大学第一附属医院
CN_121718539_PA

Resumen de: CN121718539A

本发明涉及一种靶向TRIM29的siRNA,所述siRNA的序列如SEQ ID NO.1所示,经细胞水平、动物水平实验检测,所述siRNA可以抑制TRIM29的表达,显著提高胆囊癌对吉西他滨的敏感性;本发明还涉及一种吉西他滨与TRIM29 siRNA共载脂质纳米颗粒及其制备方法和应用,所述制备方法首先构建包裹吉西他滨的脂质纳米颗粒,再将其与TRIM29 siRNA共孵育得到GSL,所述GSL在微观下呈椭圆形且稳定性好,经细胞水平、动物水平实验检测,所述GSL能够显著降低TRIM29的蛋白表达水平,且显著提高胆囊癌对吉西他滨的敏感性,抑制肿瘤生长,且抑制了STAT3通路,通过本发明所述方法制备的GSL具有良好的生物安全性,为胆囊癌治疗开辟新的渠道。

巨噬细胞膜包覆的SPHK1颗粒在葡萄膜炎中的应用

NºPublicación:  CN121714535A 24/03/2026
Solicitante: 
重庆医科大学
CN_121714535_PA

Resumen de: CN121714535A

本发明提供一种巨噬细胞膜包被SPHK1的纳米颗粒及其在实验性自身免疫性葡萄膜炎中的应用,涉及新药开发技术领域;本发明以聚乳酸‑羟基乙酸共聚物(PLGA)作为纳米载体,负载由TBG启动子驱动的SPHK1表达质粒,然后用脂多糖刺激的巨噬细胞膜包被,制备得到LPS‑MM/PLGA‑mSPHK1。本发明能将LPS‑MM/PLGA‑mSPHK1招募至视网膜病变部位,从而增加LPS‑MM/PLGA‑mSPHK1在病变部位的积蓄,增强基因干预作用,实现高效葡萄膜炎病变部位靶向功能,不仅能够减轻视网膜损伤、炎症反应,防止视网膜屏障受损,且具有良好的生物安全性。

鱼精蛋白包被的核酸/治疗剂复合物及其用途

NºPublicación:  CN121729245A 24/03/2026
Solicitante: 
加利福尼亚大学董事会医药研究有限公司
CN_121729245_PA

Resumen de: AU2024329805A1

The disclosure provides for compositions that comprise nanocomplexes formed by complexing one or more therapeutic agents with nucleic acid fragments of varying lengths and sizes that are coated or complexed with protamine sulfate, and uses thereof, including for the treatment of cancer in a subject in need thereof.

疫苗组合物及其用途

NºPublicación:  CN121729242A 24/03/2026
Solicitante: 
森蒂瓦克斯公司
CN_121729242_PA

Resumen de: WO2024220936A1

The present disclosure provides vaccine compositions comprising a plurality of distinct antigens. Also provided are nucleic acid vaccine composition comprising one or more nucleic acids encoding for a plurality of distinct antigens. The plurality of distinct antigens comprises a combination of influenza antigens. The vaccine composition can be formulated for delivery as a mRNA/LNP, a recombinant protein, a virus-like particle (VLP), or DNA. Methods of preventing an influenza infection and methods of inducing an immune response are also disclosed.

一种生产限定尺寸的纳米粒的方法

NºPublicación:  CN121729224A 24/03/2026
Solicitante: 
IQ\u533B\u7597\u80A1\u4EFD\u6709\u9650\u516C\u53F8
CN_121729224_A

Resumen de: WO2025027196A1

The present invention relates to a method of producing nanoparticles of a defined size, in particular of nanoparticles comprising an active pharmaceutical ingredient (API) and optionally, at least one polymer, wherein said active pharmaceutical ingredient (API) is poorly soluble or insoluble in water. The present invention also relates to nanoparticles produced by such method and to uses of such nanoparticles.

一种环状RNA,一种靶向性基因工程外泌体的制备方法和应用

NºPublicación:  CN121718546A 24/03/2026
Solicitante: 
南华大学附属第一医院
CN_121718546_PA

Resumen de: CN121718546A

本发明采用iRGD‑LAMP2B‑EGFP融合蛋白介导的外泌体表面工程化策略,通过iRGD肽与整合素αvβ3的特异性识别,主动靶向角膜新生血管核心病变细胞,突破传统递送系统脱靶毒性的局限,建立“病灶精准识别-高效归巢”的靶向递送范式。同时,将筛选出的具有抗炎与抗血管生成双重活性的环状RNA作为核心效应分子,结合环状RNA分子在外泌体亲本细胞内的原位装载技术,实现核酸药物在外泌体腔内的稳定包载与靶向释放,解决其易降解和靶向性差的问题,形成“功能特异性-递送稳定性”双重保障。进一步构建“靶向外泌体载体+双功能环状RNA”协同治疗体系,将活性分子精准递送至病灶细胞,同步调控炎症微环境和血管生成通路。

一种核酸-脂质纳米颗粒的制备方法

NºPublicación:  CN121714530A 24/03/2026
Solicitante: 
楷拓生物科技(苏州)有限公司武汉楷拓生物科技有限公司上海楷拓生物科技有限公司
CN_121714530_PA

Resumen de: CN121714530A

本发明公开了一种核酸‑脂质纳米颗粒的制备方法,其包括如下工序:(一)、采用微流控混合装置将溶剂为醇溶剂的脂质溶液与pH值为3.6~4.5的第一缓冲液混合得到混合物;(二)采用pH值为5.5~6.5的第二缓冲液对混合物进行换液去除混合物中的醇溶剂,将得到的换液产物进行浓缩得到浓缩产物;(三)将浓缩产物与核酸在保护剂存在的条件下,按照氮磷比为15~35的比例于25~37℃下混合并孵育得到核酸‑脂质纳米颗粒。本发明为核酸药物提供一种高灵活性、高物料利用率、产品品质佳且易于规模化的高品质核酸‑脂质纳米颗粒药物制备方案,对核酸‑脂质纳米颗粒药物的发展和工业规模化生产具有重要意义。

一种口腔环境智能反馈药物递送系统及其制备方法

NºPublicación:  CN121714528A 24/03/2026
Solicitante: 
北京化工大学常州先进材料研究院
CN_121714528_A

Resumen de: CN121714528A

本发明涉及一种基于酸性微环境的电荷反转微胶囊及其制备方法,尤其适用于口腔炎症的局部药物递送。所述微胶囊通过自组装法,由海藻酸钠(ALG)和ε‑聚赖氨酸(PLL)复合形成,并负载药物。微胶囊外层包覆甲基丙烯酰基磺基甜菜碱(SBMA),其表面电荷可随环境pH的变化发生反转。在酸性环境下,SBMA表现为正电性,导致其与微胶囊内核的结合减弱,从而触发药物的释放。为了进一步精确控制药物释放,本发明采用双重响应性凝胶(pH和温度双响应)对微胶囊进行包裹,确保药物在口腔炎症部位的可控释放。本发明的微胶囊系统具有优异的生物相容性和靶向性,可用于治疗口腔炎症等局部酸性微环境相关疾病,提供了一种高效、可控的药物递送方式。

NUP205 siRNA或shRNA及其用途

NºPublicación:  CN121718540A 24/03/2026
Solicitante: 
中国医学科学院肿瘤医院
CN_121718540_A

Resumen de: CN121718540A

本发明属于生物技术领域,涉及NUP205 siRNA或shRNA及其用途,其中,本发明的NUP205 siRNA或shRNA能有效敲低NUP205的表达水平,可为子宫内膜癌的个体化治疗提供有效治疗策略。

一种制备纳米粒水分散体的方法

NºPublicación:  CN121729223A 24/03/2026
Solicitante: 
IQ\u533B\u7597\u80A1\u4EFD\u6709\u9650\u516C\u53F8
CN_121729223_A

Resumen de: WO2025027196A1

The present invention relates to a method of producing nanoparticles of a defined size, in particular of nanoparticles comprising an active pharmaceutical ingredient (API) and optionally, at least one polymer, wherein said active pharmaceutical ingredient (API) is poorly soluble or insoluble in water. The present invention also relates to nanoparticles produced by such method and to uses of such nanoparticles.

砷原位生长-金属有机骨架材料及其制备方法与应用

NºPublicación:  CN121714720A 24/03/2026
Solicitante: 
北京中医药大学
CN_121714720_PA

Resumen de: CN121714720A

本发明公开了一种砷原位生长‑金属有机骨架材料,是砷化合物与金属有机骨架材料进行配体交换,从而在金属有机骨架材料表面原位形成的砷氧化物纳米粒;所述砷化合物选自亚砷酸钠、七水合砷酸二钠、三氧化二砷等;所述金属有机骨架材料选自ZIF‑8等。本发明还公开了一种砷原位生长的仿生纳米颗粒,由细胞膜包覆砷原位生长‑金属有机骨架材料而成。所述砷原位生长‑金属有机骨架材料、仿生纳米颗粒在制备治疗癌症的药物中的应用。本发明的砷原位生长‑金属有机骨架材料为同时具有类酶活性和双重表观遗传调控作用的仿生纳米酶,形貌均一,粒径较小;细胞膜包被使其具备骨髓靶向性,解决了砷化合物靶向性不足的问题,增强了肿瘤免疫治疗的效果。

一种用于向腹膜及腹膜肿瘤靶向递送核酸的脂质纳米颗粒

NºPublicación:  CN121714533A 24/03/2026
Solicitante: 
浙江大学
CN_121714533_PA

Resumen de: CN121714533A

本发明公开了一种用于向腹膜及腹膜肿瘤靶向递送核酸的脂质纳米颗粒。本发明提供了一种脂质纳米颗粒,其包含:可电离脂质、含有三甲铵头部的阳离子辅助脂质、甾醇和PEG脂质。本发明的脂质纳米颗粒能够实现向腹膜组织高效递送核酸,同时有效减少核酸及递送载体在全身其他组织器官分布,显著降低纳米颗粒非特异性蓄积导致的副作用风险。

一种淋巴组织靶向的复合纳米团簇及其制备方法和应用

NºPublicación:  CN121714531A 24/03/2026
Solicitante: 
国家纳米科学中心华南理工大学
CN_121714531_PA

Resumen de: CN121714531A

本发明涉及一种淋巴组织靶向的复合纳米团簇及其制备方法和应用,所述复合纳米团簇包括Se掺杂ZnS纳米颗粒,以及包覆于纳米颗粒表面的BSA。该协同靶向淋巴组织的纳米平台整合了锌与硒的互补免疫调节功能,通过元素协同作用克服单元素疗效局限,拓宽了必需微量元素的安全治疗窗口;并且利用血清白蛋白的天然淋巴靶向特性,实现纳米团簇的高效淋巴结递送;同时还可以通过纳米团簇结构促进其在体内的清除,减少长期蓄积,保证安全性。

一种UTR元件HBB-G及其构建方法和应用

NºPublicación:  CN121699931A 20/03/2026
Solicitante: 
中国医学科学院医学生物学研究所
CN_121699931_PA

Resumen de: CN121699931A

本发明提供一种UTR元件HBB‑G及其构建方法和应用,涉及mRNA技术领域。本发明通过PaddleHelix平台对Homo sapiens haplotype T7 delta‑globin(NCBI编号为AF339412.1)的5'UTR进行核糖体载量预测和二级结构优化,获得的优化序列避免了抑制性发夹结构,使荧光素酶表达量较天然UTR明显提升。在优化序列基础上引入无二级结构的ncRNA序列,进一步解除5'cap区域的翻译抑制,构建的HBB‑G突变体(HBB‑G的DNA序列如SEQ NO.1所示,RNA序列如SEQ NO.2所示)使蛋白表达量进一步提升。

基于干细胞外泌体的肿瘤靶向治疗智能递送系统及方法

NºPublicación:  CN121695104A 20/03/2026
Solicitante: 
黑龙江沣华生物科技有限公司
CN_121695104_A

Resumen de: CN121695104A

本发明公开了一种基于干细胞外泌体的肿瘤靶向治疗智能递送系统及方法,包括:由工程化干细胞分泌的工程化外泌体,所述工程化干细胞过表达穿膜肽‑核定位信号肽融合蛋白;所述工程化外泌体内包载有化疗药物和具有肿瘤微环境响应性的前药。本发明通过对干细胞进行基因工程改造,使其分泌的外泌体膜上展示穿膜肽‑核定位信号肽融合蛋白。该融合蛋白不仅赋予了外泌体高效的穿膜能力,其核定位信号(NLS)特性更能引导外泌体在进入肿瘤细胞后进一步向细胞核富集,实现了“组织靶向(肿瘤)”和“细胞器靶向(细胞核)”的双重主动靶向,极大提高了药物在作用位点的浓度。

非全身性mRNA施用

NºPublicación:  CN121712488A 20/03/2026
Solicitante: 
埃泽瑞斯公司
CN_121712488_A

Resumen de: WO2025036956A1

The present invention relates to compositions designed for localized delivery within a subject's body. More particularly, the invention pertains to therapeutic compositions that remain localized to specific organs or tissues and do not exhibit systemic distribution. These compositions include specific carriers and therapeutic agents suitable for various medical applications.

脂质纳米颗粒及其用途

NºPublicación:  CN121712494A 20/03/2026
Solicitante: 
墨尔本大学彼得麦克凯勒姆肿瘤研究所
CN_121712494_A

Resumen de: AU2024271802A1

The present disclosure relates generally to lipid nanoparticles (LNPs) and compositions comprising the same, and their use in delivery of agents, such as nucleic acid-based therapeutics, in particular to transfection recalcitrant cells and/or to lung tissue.

pH敏感性阳离子性脂质、脂质纳米粒子、含有脂质纳米粒子的医药用组合物以及脂质纳米粒子的用途

NºPublicación:  CN121698765A 20/03/2026
Solicitante: 
国立大学法人北海道大学日东电工株式会社
CN_121698765_A

Resumen de: US2024024252A1

The present invention addresses the problem of providing lipid nanoparticles which function as gene transfer carriers capable of selective transfer to the liver or spleen. Lipid nanoparticles which contain a pH-sensitive cationic lipid represented by formula (I) a represents an integer of 3-5; b represents 0 or 1; R1 and R2 each independently represent a group represented by general formula (A) (R11 and R12 each independently represent a linear or branched C2-15 alkyl group; c represents 0 or 1; v represents an integer of 4-12); and X represents a group represented by general formula (B)(d represents an integer of 0-3; and R3 and R4 each independently represent a C1-4 alkyl group or C2-4 alkenyl group, while R3 and R4 may form a 5- to 7-membered non-aromatic heterocycle) or represents a 5- to 7-membered non-aromatic heterocyclic group. (I) (R1)(R2)C(OH)—(CH2)a—(O—CO)b—X. (A): (R11)(R12)—CH—(CO—O)c—(CH2)v-. (B):—(CH2)d-N(R3)(R4).(R1)(R2)C(OH)—(CH2)a—(O—CO)b—X  (I)(R11)(R12)—CH—(CO—O)c—(CH2)v-  (A)—(CH2)d—N(R3)(R4)  (B)

用于治疗动脉粥样硬化的复合纳米粒子及其制备方法和应用

NºPublicación:  CN121695107A 20/03/2026
Solicitante: 
青岛大学
CN_121695107_PA

Resumen de: CN121695107A

本发明属于生物医药和纳米材料技术领域,具体涉及一种用于治疗动脉粥样硬化的复合纳米粒子及其制备方法和应用。本发明所述复合纳米粒子以聚多巴胺纳米粒子为核心载体,负载有金纳米粒子和普罗布考,最外层由红细胞膜囊泡包覆。本发明利用聚多巴胺纳米粒子的活性氧清除能力、金纳米粒子的类酶催化活性、普罗布考的降脂抗炎作用,以及红细胞膜的免疫逃逸和病灶靶向功能,产生了协同增强的治疗效果。所述复合纳米粒子生物相容性好,靶向性强,能高效富集于动脉粥样硬化斑块处,显著提升治疗效果并降低副作用,在制备动脉粥样硬化治疗药物中具有广阔应用前景。

一种靶向肝脑轴的冬凌草甲素递药系统及其制备方法与应用

NºPublicación:  CN121695108A 20/03/2026
Solicitante: 
中国人民解放军空军军医大学
CN_121695108_PA

Resumen de: CN121695108A

本发明提供了一种靶向肝脑轴的冬凌草甲素递药系统及其制备方法与应用,属于生物医药及纳米药物技术领域。该递药系统为冬凌草甲素包载于去铁铁蛋白中制备而成。制备方法为:将去铁铁蛋白分散在丙酮溶液中,得到去铁铁蛋白溶液;将冬凌草甲素加入至去铁铁蛋白溶液中,搅拌后过滤、离心,得到冬凌草甲素递药系统。本发明提高了冬凌草甲素的溶解度及对脑组织和肝脏的靶向性,增强了冬凌草甲素作为药物治疗AD的效果。并且还提高了脑毛细血管内皮细胞LRP‑1表达,促进Aβ从脑内的外排,减轻神经元线粒体功能障碍,从而减轻神经元的损伤。本发明还提高了肝实质细胞LRP‑1表达,促进Aβ清除,同时抑制肝脏炎症,降低炎症因子在脑内的蓄积,协同保护神经元。

用于离子流脂质纳米颗粒的制造方法和装置

NºPublicación:  CN121712495A 20/03/2026
Solicitante: 
环球生命科学解决方案加拿大有限公司
CN_121712495_PA

Resumen de: AU2024327040A1

A method for preparing nucleic acid-containing lipid nanoparticles (NALNP) from a nucleic acid-containing neutral pH ionic salt solution and a lipid solution is provided. The method includes combining the nucleic acid-containing neutral pH ionic salt solution and the lipid solution and forming a combined mixture. The method further includes introducing an aqueous solution of lower ionic concentration than that of the neutral pH ionic salt solution into the combined mixture, thereby creating an ionic flux and forming the nucleic acid-containing lipid nanoparticles (NALNP).

一种聚集诱导发光声敏剂、纳米颗粒及其制备方法与应用

NºPublicación:  CN121695271A 20/03/2026
Solicitante: 
中国医学科学院肿瘤医院中国科学院化学研究所长春理工大学
CN_121695271_PA

Resumen de: CN121695271A

本发明涉及生物医药领域,具体涉及一种聚集诱导发光声敏剂在制备用于声动力治疗药物中的应用,聚集诱导发光声敏剂的纳米颗粒及其制备与应用,以及一种聚集诱导发光声敏剂。该聚集诱导发光声敏剂具有如式I所示的结构或其药学上可接受的盐,其中,式I的结构为:,具备AIE特性,可实现聚集态下的荧光增强,还兼具近红外二区成像与声动力治疗双重功能,可以实现诊疗一体化。

PTN在制备治疗严重感染导致的认知障碍的产品中的应用

NºPublicación:  CN121695284A 20/03/2026
Solicitante: 
中国医学科学院基础医学研究所
CN_121695284_PA

Resumen de: CN121695284A

本发明公开PTN在制备治疗严重感染导致的认知障碍的产品中的应用。本发明提供的PTN的抑制剂能够抑制慢性神经炎症,从而预防和抑制严重感染导致的晚期认知障碍形成和发展,同时抑制PTN的表达或功能能够有效阻断浸润性巨噬细胞对小胶质细胞的损害,为相关疾病的治疗提供了新的方向。

脂质化合物和脂质纳米颗粒组合物

NºPublicación:  CN121698795A 20/03/2026
Solicitante: 
尧唐(上海)生物科技有限公司
CN_121698795_PA

Resumen de: CN121698795A

本公开提供了一种脂质化合物和脂质纳米颗粒组合物,所述脂质化合物具有如式I所示结构。本公开提供的脂质纳米颗粒粒径分布较好,包封率高,且递送效果优异,能够满足体内递送的需求。

一种负载中药活性外泌体的可注射温敏水凝胶

NºPublicación:  CN121695073A 20/03/2026
Solicitante: 
山东中医药大学
CN_121695073_A

Resumen de: CN121695073A

本发明涉及一种负载中药活性外泌体的可注射温敏水凝胶,属于糖尿病足难愈性创面的临床治疗技术领域,可注射温敏水凝胶由泊洛沙姆407水凝胶和透明质酸负载复合载体质得到;所述复合载体质由包衣液包覆中药活性外泌体形成;中药活性外泌体由脂肪间充质干细胞经改性黄芪提取物诱导后得到。通过可注射温敏水凝胶由泊洛沙姆407水凝胶和透明质酸负载复合载体质得到,泊洛沙姆407和透明质酸在注射后迅速于创面形成物理屏障,提供湿润愈合环境,并依托其温敏特性和网络结构,实现外泌体与活性成分的持续缓慢释放,避免药物突释导致的局部浓度过高或过早流失。

一种基于高频振荡剪切微流控技术的核酸共包封方法及应用

NºPublicación:  CN121695105A 20/03/2026
Solicitante: 
湖州里应生物科技有限公司
CN_121695105_PA

Resumen de: CN121695105A

本发明公开了一种基于高频振荡剪切微流控技术的核酸共包封方法及应用,通过调控微流控剪切力与频率,将不同的核酸药物分子分层包封于脂质体纳米颗粒的特定区域(外围或核心),实现可控的时序释放与表达,从根本上解决不同核酸精准包封与释放时序控制的难题,以提升核酸药物的疗效与安全性,适用于制备肿瘤疫苗、传染病预防、基因治疗等相关产品中的领域。

一种含钆锰基钙钛矿型纳米酶及其制备方法和应用

NºPublicación:  CN121698390A 20/03/2026
Solicitante: 
上海市肿瘤研究所
CN_121698390_PA

Resumen de: CN121698390A

本申请属于仿生纳米材料技术领域,具体公开了一种含钆锰基钙钛矿型纳米酶及其制备方法和应用。所述的含钆锰基钙钛矿型纳米酶通过溶胶‑凝胶法合成,然后经细胞膜包覆后形成具有核‑壳结构的细胞膜包被的GMO纳米酶制剂。该GMO纳米酶和细胞膜包被的GMO纳米酶制剂均具有的类乳酸氧化酶活性。特别是细胞膜包被的GMO纳米酶制剂还具有很好的生物安全性,因此细胞膜包被的GMO纳米酶制剂可作为高效的生物催化治疗剂,用于调控肿瘤微环境,在抗肿瘤相关疾病的治疗中具有广阔应用前景。本发明为构建兼具高稳定性与高生物安全性的仿生纳米酶平台提供了一种高效可行的技术策略。

人重链铁蛋白或其变体与多角体或颗粒体蛋白的融合蛋白及应用

NºPublicación:  CN121699024A 20/03/2026
Solicitante: 
安琪酵母股份有限公司
CN_121699024_PA

Resumen de: CN121699024A

本发明涉及医药技术领域,尤其涉及人重链铁蛋白或其变体与多角体或颗粒体蛋白的融合蛋白及应用。本发明将铁蛋白变体与杆状病毒多角体蛋白亚基融合,得到由多角体蛋白外层及铁蛋白内层组成的粒径<20nm的粒子,其外径17nm,内腔13nm且带有正电荷,通过pH调节实现外层和内层的解聚和重组,可包载带负电且>8nm的胰岛素分子。多角体或颗粒体蛋白的亚基同铁蛋白野生型或突变型融合的蛋白可自组装成双层结构的纳米颗粒,其内层为内腔带正电或负电、大小为8nm或13nm的笼型结构;外层为多角体或颗粒体蛋白层,具有抗逆性,可耐高温、脱水且可抵抗胃蛋白酶和胰蛋白酶的消化。该纳米颗粒可作为多种活性分子的口服载体。

一种自组装纳米复合材料及其制备方法与应用

NºPublicación:  CN121695181A 20/03/2026
Solicitante: 
连云港市第二人民医院(连云港市临床肿瘤研究所)迈赛凯尔(山东)生命科学有限公司
CN_121695181_PA

Resumen de: CN121695181A

本发明公开了一种自组装纳米复合材料及其制备方法与应用,属于新型纳米材料制备技术领域。该自组装纳米复合材料包括铜基金属有机框架,包裹在所述铜基金属有机框架内部的外泌体,包覆在所述铜基金属有机框架外部的聚多巴胺,以及修饰在聚多巴胺表面的ASGR1抗体。本发明将纳米酶的催化治疗、外泌体的生物学调控与抗体的分子靶向功能进行巧妙整合,通过多机制协同作用,应对MASLD复杂的病理网络。本发明不仅提供了一种有效的候选治疗材料,还为理解基于外泌体与纳米酶的联合治疗机制提供了多组学视角,具有重要的理论意义与转化应用潜力。

mRNA疫苗脂质纳米粒的低温快速混合制备方法

NºPublicación:  CN121695102A 20/03/2026
Solicitante: 
合肥阿法纳生物科技有限公司
CN_121695102_PA

Resumen de: CN121695102A

本发明涉及mRNA疫苗脂质纳米粒制备技术领域,具体公开一种全流程低温快速混合制备方法。该方法包括:将可电离脂质、辅助脂质、胆固醇和PEG脂质溶解于含防冻剂的无水乙醇中并在0-10°C预冷;将mRNA溶于低离子强度酸性缓冲液,加入低温保护剂形成均一水相;在0-10°C下通过亲水改性的微流控芯片按(2.5-3.5):1流速比混合,满足雷诺数≥2000和韦伯数≥100,在10 ms内完成混合,随后低温熟化、两步缓冲液置换及低温切向流过滤,获得粒径70-90 nm、PDI≤0.15、包封率≥95%的LNP。防冻剂和保护剂协同作用有效抑制乙醇结晶和冰晶损伤,保证低温条件下微通道不堵塞,显著提高粒径均一性和mRNA结构完整性,所得制剂在4°C和-20°C下长期稳定。

M2巨噬细胞外泌体负载卡格列净纳米药物及其应用

NºPublicación:  CN121695106A 20/03/2026
Solicitante: 
郑湘榕
CN_121695106_A

Resumen de: CN121695106A

本发明提供了一种M2巨噬细胞外泌体负载卡格列净纳米药物及其应用,以M2巨噬细胞外泌体为载体,卡格列净负载在M2巨噬细胞外泌体上。本发明首次构建了Exo‑CANA递送体系,外泌体体积小,可有效避免单核巨噬细胞的吞噬作用,可自由穿过血管壁和细胞外基质,能显著改善Th2型气道炎症、杯状细胞化生及肺间质胶原沉积,且治疗效果显著优于CANA单药治疗组、M2‑Exos单药治疗组。

利用黑兰细胞包裹玉米胚芽提取物的囊泡组合物及其制备方法和应用

NºPublicación:  CN121695058A 20/03/2026
Solicitante: 
辽宁未来生物科技有限公司
CN_121695058_A

Resumen de: CN121695058A

本发明涉及化妆品及其生物技术领域,具体地涉及一种利用黑兰细胞包裹玉米胚芽提取物的囊泡组合物及其制备方法和应用。本发明所述的囊泡组合物是将玉米胚芽提取物流加至黑兰细胞的发酵体系中获得。所述黑兰细胞的发酵体系的培养条件为温度22‑25℃,120‑180 rpm,培养周期15‑20天。所述的玉米胚芽提取物可以选择在步骤黑兰细胞的发酵培养的延滞期、指数期、指数后期及平台期加入。本发明所得的黑兰细胞囊泡组合物具有低免疫原性、细胞摄取增强、更高的稳定性、靶向能力,与皮肤角质层的磷脂双分子层亲和性更佳。到达皮肤角质层后,可以迅速释放活性物,从而达到作用功效。可以用于制备抗氧化或抗衰老的药品或化妆品。

一种基于溶剂平衡与巯基锚定的通用型细胞膜纳米颗粒包覆方法及其应用

NºPublicación:  CN121695103A 20/03/2026
Solicitante: 
西湖大学
CN_121695103_PA

Resumen de: CN121695103A

本发明属于纳米生物材料技术领域,具体涉及一种基于溶剂平衡与巯基锚定的细胞膜包覆纳米颗粒制备方法。该方法通过在膜体系中掺入含巯基脂质,使其与基底表面形成共价锚定键以增强膜‑基底结合力,并加入少量有机溶剂提高脂质流动性,促进膜层在颗粒表面的自发融合与均匀铺展。经离心与洗涤后即可获得表面包覆完整的细胞膜纳米颗粒。该方法无需高能超声或挤出处理,能在保持膜蛋白与脂质组成完整的前提下实现稳定包覆,显著提升膜层在高盐及剪切环境下的附着稳定性。该方法适用于多种纳米基底及不同形貌结构,所得颗粒在抗α‑溶血素疫苗模型中表现出更高抗体滴度与优异安全性。本发明提供了一种温和、高效且具有广泛适用性的仿生纳米材料构筑策略。

用于递送核酸治疗剂的组合物和方法

NºPublicación:  CN121712490A 20/03/2026
Solicitante: 
莱兰斯坦福初级大学评议会
CN_121712490_PA

Resumen de: AU2024322931A1

Compositions and methods for delivery of nucleic acid therapeutics are disclosed herein. In some embodiments, a composition for treating a subject includes a dynamic hydrogel, and a nucleic acid therapeutic encapsulated by the dynamic hydrogel. The dynamic hydrogel can include a polymer and a plurality of nanoparticles. The polymer can be non-covalently crosslinked with the plurality of nanoparticles.

脂质纳米颗粒配制品中的固醇类似物

NºPublicación:  CN121712487A 20/03/2026
Solicitante: 
赛诺菲巴斯德有限公司
CN_121712487_A

Resumen de: AU2024308529A1

Provided are lipid nanoparticles for delivering nucleic acids molecules such as mRNA. Also provided are methods of making and using thereof.

与成纤维细胞激活蛋白α和死亡受体4结合的抗体

NºPublicación:  CN121712806A 20/03/2026
Solicitante: 
金麦安博股份有限公司
CN_121712806_A

Resumen de: US20260028427A1

The present invention relates to a multispecific antibody comprising at least a FAPα binding region comprising a first heavy chain variable region and a first light chain variable region; and a DR4 binding region comprising a second heavy chain variable region and a second light chain variable region. The invention further provides pharmaceutical compositions comprising the antibodies and use of the antibodies for therapeutic and diagnostic procedures, in particular in cancer therapy.

ITSN1抑制剂及其在制备预防和/或治疗肝纤维化药物中的应用

NºPublicación:  CN121695165A 20/03/2026
Solicitante: 
西安交通大学医学院第二附属医院
CN_121695165_PA

Resumen de: CN121695165A

本发明公开了ITSN1抑制剂及其在制备预防和/或治疗肝纤维化药物中的应用,属于分子生物学及肝病治疗技术领域。根据ITSN1在纤维化肝脏的LSEC中异常高表达,通过敲低ITSN1实验,发现ITSN1作为LSEC分化的负调控因子,其敲低可通过恢复LSEC分化表型及增加孔隙度,有效逆转肝窦毛细血管化进程。通过给予siITSN1抑制剂观察LSEC体外血管形成,发现siITSN1抑制剂能够显著抑制LSEC的血管生成能力以及延缓其动力学进程。通过给予siITSN1抑制剂干预LSEC对HSC活化,发现ITSN1敲低的LSEC通过旁分泌信号显著抑制HSC活化及胶原沉积。因此,ITSN1抑制剂具有用于预防和/或治疗肝纤维化的潜力。

COMPOSITION AND PROCESS FOR A LIPID NANO-PARTICLE DELIVERY OF OXYGEN AND VITAL METABOLIC COMPOUNDS FOR HEMORRHAGIC SHOCK

NºPublicación:  US20260076917A1 19/03/2026
Solicitante: 
KALOCYTE INC [US]
UNIV OF MARYLAND BALTIMORE [US]
KaloCyte, Inc,
UNIVERSITY OF MARYLAND, BALTIMORE
US_20260076917_A1

Resumen de: US20260076917A1

Generation of lipid nano-particles containing purified human hemoglobin as an oxygen carrier was accomplished with the co-encapsulation of metabolic agents. Additionally, the nano-particles described are of the long-circulating variety (Pegylation of the exterior surface) which are more tolerable in vivo when compared against their non-pegylated counterparts. The generated nano-particles are lyophilizable, given proper formulation with lyo-protectants, which are storage stable solids ready for reconstitution prior to use.

IONIZABLE LIPIDS AND COMPOSITIONS COMPRISING SAME

NºPublicación:  US20260076914A1 19/03/2026
Solicitante: 
BARCODE NANOTECH LTD [IL]
BARCODE NANOTECH LTD
US_20260076914_A1

Resumen de: US20260076914A1

One or more ionizable lipid(s) and lipid nanoparticles comprising same are provided. Pharmaceutical compositions comprising the lipid nanoparticles encapsulating an active agent are also provided.

UNIVERSAL NON-VIRAL GENE DELIVERY SYSTEM WITH ENHANCED STABILITY

NºPublicación:  US20260077063A1 19/03/2026
Solicitante: 
BROWN UNIV [US]
UNIV OF IOWA RESEARCH FOUNDATION [US]
Brown University,
University of Iowa Research Foundation
US_20260077063_A1

Resumen de: US20260077063A1

The present disclosure provides, for instance, polymer-lipid hybrid nanoparticle compositions and methods of making and using them. The polymer-lipid hybrid nanoparticle may comprise, for example, poly(lactic-co-glycolic) acid (PLGA), polyethylenimine (PEI), and D-Lin-MC3-DMA (MC3). The polymer-lipid hybrid nanoparticle can be used to deliver, for example, nucleic acids and small molecules, cells.

ANTI-GHRELIN BUTYRYLCHOLINESTERASE ENZYME THERAPEUTIC

NºPublicación:  US20260077059A1 19/03/2026
Solicitante: 
BATTELLE MEMORIAL INST [US]
BATTELLE MEMORIAL INSTITUTE
US_20260077059_A1

Resumen de: US20260077059A1

Compositions and methods are provided for inactivating ghrelin in mammalian cells by administration of a polynucleotide encoding a butyrylcholinesterase (BChE) enzyme.

SCAFFOLDS WITH STABILIZED MHC MOLECULES FOR IMMUNE-CELL MANIPULATION

NºPublicación:  US20260078340A1 19/03/2026
Solicitante: 
DANMARKS TEKNISKE UNIV [DK]
Danmarks Tekniske Universitet
US_20260078340_A1

Resumen de: US20260078340A1

The present invention relates to artificial antigen presenting cell (aAPC) scaffolds to provide cells with specific functional stimulation to obtain phenotypic and functional properties ideal to mediate tumor regression or viral clearance. In particular, the scaffolds of the present invention comprise stabilized MHC class I molecules free of antigenic peptide. The scaffolds can be loaded with antigenic peptide on demand, providing an agile platform for effective expansion and functional stimulation of specific T cells in a peptide-MHC-directed fashion.

KARI Nanoparticle

NºPublicación:  US20260077032A1 19/03/2026
Solicitante: 
LA JOLLA INST FOR IMMUNOLOGY [US]
La Jolla Institute for Immunology
US_20260077032_A1

Resumen de: US20260077032A1

This disclosure provides self-assembling Ketol-acid reductoisomerase (KARI) nanoparticles that are capable of displaying multiple copies of antigens, antibodies and/or proteins or peptides on its surface; as well as nucleic acids encoding recombinant KARI molecules, vectors expressing recombinant KARI molecules, immunogenic polypeptides comprising the self-assembling KARI nanoparticles, methods of producing the self-assembling KART nanoparticles, and methods for eliciting an immune response against an antigen in a subject comprising the self-assembling KARI nanoparticles.

METHODS FOR TREATING NETOSIS AND NEUTROPHIL ACTIVATION

NºPublicación:  US20260077028A1 19/03/2026
Solicitante: 
TRUSTEES OF BOSTON UNIV [US]
TRUSTEES OF BOSTON UNIVERSITY
US_20260077028_A1

Resumen de: US20260077028A1

Described herein are methods and compositions relating to methods of inhibiting neutrophils, e.g., inhibiting NET release or NETosis, by means of a DEspR inhibitor, e.g., an anti-DEspR antibody reagent. In some embodiments, the methods can relate to the treatment of a disease, e.g., cancer or a disease wherein neutrophils; NETs; or NETosing or NETting neutrophils contribute to pathogenesis, chronicity, or worsening of disease. In some embodiments, the DEspR inhibitor can be a bi-specific reagent or an antibody-drug conjugate.

PEPTIDE AND NUCLEIC ACID METHODS TO MODULATE DELIVERY OF NUCLEIC ACID STRUCTURES, POLYPEPTIDES, AND THEIR CARGOES

NºPublicación:  US20260077027A1 19/03/2026
Solicitante: 
OHIO STATE INNOVATION FOUND [US]
Ohio State Innovation Foundation
US_20260077027_A1

Resumen de: US20260077027A1

Disclosed herein are methods and compositions for enhancing delivery and function of vaccine components, immunotherapy Agents, and improved delivery of nucleic acid nanostructures, nucleic acids, peptides, polypeptides, and other types of cargoes. These methods and compositions utilize design components suitable for rapid and cost-effective manufacturing, and are designed to exclusively use the process of self-assembly to form nanotherapeutics requiring no purification in many instances.

LAYER-BY-LAYER DELIVERY OF ACTIVE AGENTS

NºPublicación:  US20260076919A1 19/03/2026
Solicitante: 
LUNA LABS USA LLC [US]
Luna Labs USA, LLC
US_20260076919_A1

Resumen de: US20260076919A1

Provided herein are pharmaceutical compositions comprising chitosan based nanoparticles, such as those having a core-shell structure, which can be configured for layer-by-layer delivery of active agent(s).

Hyaluronic Acid Nanoparticles Comprising NADPH Oxidases Inhibitors and Uses in Treating Cancer

NºPublicación:  US20260076991A1 19/03/2026
Solicitante: 
EMORY UNIV [US]
Emory University
US_20260076991_A1

Resumen de: US20260076991A1

This disclosure relates to hyaluronic acid nanoparticles containing an anticancer agent such as a NADPH oxidase (NOX) inhibitor for targeted delivery to cancerous cells or tumors. In certain embodiments, the nanoparticles are made up of hyaluronic acid conjugated to hydrophobic moieties. In certain embodiments, the hydrophobic moieties are steroid based compounds, such as 5beta-cholanic acid.

HETEROTELECHELIC COMPOUNDS

NºPublicación:  US20260076918A1 19/03/2026
Solicitante: 
KAWASAKI INST OF INDUSTRIAL PROMOTION [JP]
KAWASAKI INSTITUTE OF INDUSTRIAL PROMOTION
US_20260076918_A1

Resumen de: US20260076918A1

The present invention relates to biocompatible polymers suitable for drugs and gene delivery, and producing methods thereof. The present invention also enables the creation of compounds with diverse structures by a concise method.The present invention relates to polycyclic iminoether compounds having different functional groups in both sides, such as a pentafluorophenyl group at one end and an azide group at the other end, derivatives thereof and producing methods thereof.

COMPOSITIONS AND METHODS FOR COMPARTMENT-SPECIFIC CARGO DELIVERY

NºPublicación:  US20260076907A1 19/03/2026
Solicitante: 
FLAGSHIP PIONEERING INNOVATIONS V INC [US]
FLAGSHIP PIONEERING INNOVATIONS V, INC
US_20260076907_A1

Resumen de: US20260076907A1

Fusosome compositions and methods are described herein.

Nanoparticles for Enhancing Mitochondrial Networks

NºPublicación:  US20260076906A1 19/03/2026
Solicitante: 
NORTHEASTERN UNIV [US]
Northeastern University
US_20260076906_A1

Resumen de: US20260076906A1

The present technology provides compositions and methods for enhancing mitochondrial networks in cells, particularly mammalian cells, and preferably human cells. The compositions and methods incorporate nanoparticles each including a mitochondrial network enhancing agent. When the nanoparticles are taken by the cell, the mitochondrial network enhancing agent binds to the mitofusin (MFN) proteins 1 and 2 thereby promoting fusion of mitochondria of the cell with one another and/or with endoplasmic reticulum of the cell. The present technology's compositions and methods find use in in the treatment of neurological, mitochondrial dysfunction, metabolic, and/or accelerated aging diseases or disorders including, for non-limiting examples, a progeroid syndrome, an MFN related disorder, Marie-Charcot Tooth disease, or any combination thereof.

HAIR REGROWTH TOPICAL COMPOSITION

NºPublicación:  US20260076981A1 19/03/2026
Solicitante: 
SPEIER GARY J [US]
Speier Gary J
US_20260076981_A1

Resumen de: US20260076981A1

Topical compositions and kits are provided for hair regrowth, hair loss prevention, and scalp health improvement. These formulations contain at least one active (e.g., finasteride, minoxidil, dutasteride, and latanoprost), at least one penetration enhancer (e.g., Transcutol®, laurocapram), stabilizers, and anti-inflammatory agents like retinoic acid, hydrocortisone, and aloe vera. They utilize optimized particle sizes (D90 ≤8.5 μm, span ≤1.7) and may include bioadhesive polymers or nanoparticles for enhanced follicular delivery and extended residence. Modular kits offer multi-chambered packaging, calibrated droppers, and app- or sensor-guided dispensing for customizable ingredient mixing and regimen personalization. These innovations improve active stability, minimize irritation, and yield superior clinical outcomes (hair density and quality) over traditional therapies. Methods include treating varied alopecia types, with or without device-assisted delivery (microneedling, light therapy), alongside digital monitoring, compliance tracking, and optional diagnostic or conditioning tools for individualized scalp and hair care.

PIPERAZINE COMPOUNDS

NºPublicación:  US20260078097A1 19/03/2026
Solicitante: 
SPARK THERAPEUTICS INC [US]
Spark Therapeutics, Inc
US_20260078097_A1

Resumen de: US20260078097A1

The present invention relates to novel piperazine compounds, in particular, of formula (I) or formula (II). These piperazine compounds can be used, for example, in lipid nanoparticle compositions for drug delivery and cancer treatments.

COMPOUND, PREPARATION METHOD THEREOF, AND LIPID NANOPARTICLE AND PHARMACEUTICAL COMPOSITION

NºPublicación:  US20260078099A1 19/03/2026
Solicitante: 
SUZHOU HEALIRNA BIOTECHNOLOGY CO LTD [CN]
SUZHOU HEALIRNA BIOTECHNOLOGY CO., LTD
US_20260078099_A1

Resumen de: US20260078099A1

The present disclosure provides compounds and the preparation methods, lipid nanoparticles, and pharmaceutical compositions thereof. The compound includes at least one structural formula (I-1) and may be provided as a pharmaceutically acceptable salt, prodrug, or isomer. The compounds of the present disclosure increase structural diversity among lipid molecules. The structure of the compounds directly provides biodegradablity. The L1a, L1b, and L1c groups in the compounds can be interchanged with the L2 group, enabling the integration of other molecules such as steroids and peptides for direct and fast screening. This interchangeability expands the functionality of the cationic lipid compounds, allowing for the direct coupling of functional molecules to the lipid compound to expand its functions. The replaceable L groups offer greater flexibility in selecting L1a, L1b, L1c, and L2.

VERSATILE BIODEGRADABLE MOLECULES AS NUCLEIC ACID CARRIERS

NºPublicación:  US20260078086A1 19/03/2026
Solicitante: 
TIBA BIOTECH LLC [US]
TIBA Biotech LLC
US_20260078086_A1

Resumen de: US20260078086A1

Disclosed are compounds useful for delivering therapeutic or immunogenic nucleic acid agents. Further disclosed are nanoparticle compositions having such a compound and methods for treating or preventing a disease or condition.

COMPOUNDS AND COMPOSITIONS FOR INTRACELLULAR DELIVERY OF THERAPEUTIC AGENTS

NºPublicación:  US20260078082A1 19/03/2026
Solicitante: 
MODERNATX INC [US]
ModernaTX, Inc
US_20260078082_A1

Resumen de: US20260078082A1

The disclosure features novel lipids and compositions involving the same. Nanoparticle compositions include a novel lipid as well as additional lipids such as phospholipids, structural lipids, and PEG lipids. Nanoparticle compositions further including therapeutic and/or prophylactics such as RNA are useful in the delivery of therapeutic and/or prophylactics to mammalian cells or organs to, for example, regulate polypeptide, protein, or gene expression.

NANOPARTICLE COMPOSITION AND METHOD OF USE AND MANUFACTURE

NºPublicación:  US20260078012A1 19/03/2026
Solicitante: 
VERTELOVA REGINA [US]
TANKOVICH NIKOLAI [US]
VERTELOVA Regina,
TANKOVICH Nikolai
US_20260078012_A1

Resumen de: US20260078012A1

The invention is directed to a composition of metal particles and methods of manufacturing and using the composition in the treatment of microbial infections and cancer. The particles can be nanoparticles having coupled thereto at least one of a surfactant, an antibiotic, and a drug. The particles of the invention achieve enhanced stability, enhanced cytotoxicity, and enhanced antimicrobial activity through novel combinations of metals, surfactants, antibiotics, and drugs.

PHOSPHATE CROSSLINKED STARCH NANOPARTICLE AND DENTAL TREATMENTS

NºPublicación:  US20260076882A1 19/03/2026
Solicitante: 
GREENMARK BIOMEDICAL INC [US]
GREENMARK BIOMEDICAL INC
US_20260076882_A1

Resumen de: US20260076882A1

A phosphorous compound such as STMP is used as a cross-linking agent while making a starch nanoparticle in an emulsion process. Negative charge of the nanoparticle is reduced or reversed by adding cations and/or cationizing the starch optionally while forming the nanoparticles. Anionic active agents, such as fluoride or fluorescein, are optionally incorporated into the nanoparticle during the formation process. For example, a fluoride salt can also be used, which promotes the crosslinking reaction while also providing fluoride in the nanoparticle. The retention of both calcium and fluoride in the nanoparticle is improved when both salts are used. Alternatively, the nanoparticle may be used without added calcium and/or fluoride. The nanoparticles may be useful for tooth remineralization, the treatment of dentinal hypersensitivity, to treat caries, or as a diagnostic agent to locate carious lesions.

Polymer Nanoaggregate Pharmaceutical Composition and Use Thereof

NºPublicación:  US20260078219A1 19/03/2026
Solicitante: 
ANP TECH INC [US]
ANP Technologies, Inc
US_20260078219_A1

Resumen de: US20260078219A1

This disclosure is directed to a process for producing a pharmaceutical composition for treating or preventing a disease. The pharmaceutical composition can comprise a polymer-drug nanoaggregate having a polymer and at least one bioactive agent that is water insoluble or poorly water soluble. The polymer is water soluble and comprises at least one first terminal group modified with H (H) or a hydrophobic moiety (C) and a second terminal group modified with a hydrophilic moiety. The polymer can be a modified symmetrically or asymmetrically branched polymers. This disclosure is further directed to a method for producing a polymer having a pre-defined H/C ratio.

EPHA2 TARGETING AGENTS AND USES THEREOF

NºPublicación:  US20260078146A1 19/03/2026
Solicitante: 
THE REGENTS OF THE UNIV OF CALIFORNIA [US]
The Regents of the University of California
US_20260078146_A1

Resumen de: US20260078146A1

EphA2 targeting agents developed herein are potent peptide-mimetics with high affinity (Kds 8-20 nanomolar) for the ligand binding domain, called targefrin. Monomeric versions of targefrin act as antagonists while dimeric versions (targefrin-dimer) of the agent cause receptor internalization and degradation via a lysosomal pathway. Hence, targefrin-dimer agents are effective in reducing pro-oncogenic EphA2 levels in cancer cells when used as single agents or in combination with standards of care. Targefrin-dimers can also sensitive cancer cells that developed resistance to EGER or BRAE inhibitors, and potentially other anti-cancer agents. In addition, the dimeric agents can be conjugated with chemotherapy such as paclitaxel to deliver selectively cytotoxic agent to EphA2 expressing cancer cells. Monomeric agents can be linked to chemotherapy via a stable cleavable linker, accumulate the cytotoxic at the tumor, that then would enter the tumor. Novel composition and examples of these applications are reported.

Alginate-based microcapsulation for the delivery of alpha-CGRP in cardiovascular diseases

NºPublicación:  AU2026201537A1 19/03/2026
Solicitante: 
UNIV OF SOUTH CAROLINA
University of South Carolina
AU_2026201537_A1

Resumen de: AU2026201537A1

Methods and systems for delivering a very potent vasodilator that has the ability to treat and prevent heart failure including delivering microcapsules containing α-CGRP, which show no toxicity and lowers blood pressure similar to the native peptide, where this new compound could greatly enhance the lifespan 5 of patients suffering from heart failure. eb e b

Pretomanid amorphous form

NºPublicación:  AU2026201552A1 19/03/2026
Solicitante: 
THE GLOBAL ALLIANCE FOR TB DRUG DEVELOPMENT INC
The Global Alliance for TB Drug Development, Inc
AU_2026201552_A1

Resumen de: AU2026201552A1

Abstract The present invention relates to pretomanid in amorphous form. The invention also relates to method of using the same, such as in a method of treating a mycobacterial infection. eb e b

療法に抵抗性の転移性黒色腫細胞への腫瘍抑制性miRNA(miR126)の選択的送達

NºPublicación:  JP2026509509A 19/03/2026
Solicitante: 
インスティトゥト・スペリオレ・ディ・サニータ
JP_2026509509_A

Resumen de: WO2024189572A1

The present invention discloses carriers with an onco-suppressive agent and selectively directed to a tumoral target for the treatment of metastatic melanoma resistant to a target therapy.

プロタミン分子およびその使用

NºPublicación:  JP2026509413A 19/03/2026
Solicitante: 
ザユニヴァーシティオブブリティッシュコロンビア
JP_2026509413_A

Resumen de: MX2025010416A

The present invention relates to protamine molecules. More specifically, the present invention relates to protamine molecules and their use in delivery of payload molecules.

NANO-DELIVERY CARRIER AND PREPARATION METHOD THEREFOR

NºPublicación:  WO2026056650A1 19/03/2026
Solicitante: 
MICRO & NANO BIOLOGICS CO LTD [CN]
\u8FC8\u5B89\u7EB3\uFF08\u4E0A\u6D77\uFF09\u4EEA\u5668\u79D1\u6280\u6709\u9650\u516C\u53F8
WO_2026056650_A1

Resumen de: WO2026056650A1

The present disclosure relates to a nano-delivery carrier and a preparation method therefor. Specifically, the present disclosure relates to an improved nanoscale lipid carrier for nucleic acid delivery or a delivery system thereof. The carrier comprises an ionizable lipid, a helper lipid, a PEGylated lipid, cholesterol, and a cationic lipid. The nano-delivery carrier of the present disclosure solves the problems of low encapsulation efficiency, batch-to-batch inconsistency of artificially mixed particles, high cationic lipid ratio, high lipid-to-drug ratio, and weak immunogenicity in the prior art.

BRAIN TARGETED NANOPARTICLES AND CONJUGATES AND METHODS OF USE THEREOF

NºPublicación:  WO2026060416A1 19/03/2026
Solicitante: 
ARIZONA BOARD OF REGENTS ON BEHALF OF ARIZONA STATE UNIV [US]
ARIZONA BOARD OF REGENTS ON BEHALF OF ARIZONA STATE UNIVERSITY
WO_2026060416_A1

Resumen de: WO2026060416A1

The present invention provides nanoparticles or conjugates comprising at least one ligand that selectively targets sodium-myoinositol cotransporter-1 (SMIT1) or H+- myoinositol transporter (HMIT). In various embodiments, the nanoparticles or conjugates of the invention target at least one cell comprising HMIT, SMIT, and/or SMIT1 (e.g., endothelial cells of blood brain barrier). In some embodiments, the nanoparticles or conjugates of the invention cross the blood brain barrier. In other aspects, the present invention relates to methods for in vivo delivery of diagnostic and/or therapeutic agents to a brain. In other aspects, the present invention relates to methods of preventing or treating a neurological or cognitive disease or disorder using the nanoparticles or conjugates of the invention.

LIPID NANOPARTICLES AND METHODS OF USE

NºPublicación:  WO2026059836A1 19/03/2026
Solicitante: 
THE REGENTS OF THE UNIV OF CALIFORNIA [US]
THE REGENTS OF THE UNIVERSITY OF CALIFORNIA
WO_2026059836_A1

Resumen de: WO2026059836A1

Lipid nanoparticle (LNP) formulations, methods of producing, and methods of use provided. In some cases, a subject LNP includes: (a) an ionizable lipid (e.g., BP lipid 312, LP01); (b) a neutral phospholipid (e.g., DOPE); (c) cholesterol; (d) a pegylated lipid (e.g., DMG-PEG-2000); and (e) a molecular payload. In some embodiments, a subject LNP includes: (a) a cationic lipid (e.g., ADC); (b) an ionizable lipid (e.g., Lipid III-45, ALC-0315); (c) a neutral phospholipid (e.g., DOPE); (d) cholesterol; (e) a pegylated lipid (e.g., DMG-PEG-2000); and (f) a molecular payload.

COLLAGENASE-IRON OXIDE LINKED THROUGH A CATHEPSINE B CLEAVABLE LINKER

NºPublicación:  WO2026059915A1 19/03/2026
Solicitante: 
THE BOARD OF TRUSTEES OF THE LELAND STANFORD JUNIOR UNIV [US]
THE BOARD OF TRUSTEES OF THE LELAND STANFORD JUNIOR UNIVERSITY
WO_2026059915_A1

Resumen de: WO2026059915A1

Compositions and methods are provided of a therapeutic nanoparticle composed of collagenase IV linked via a linker (e.g. cathepsin B cleavable linker) to ferumoxytol (iron oxide). The collagenase IV is key in the composition intended for the breakdown of the tumor wall as the collagenase. Such compositions and methods are aimed at solving at the same time two of the main challenges of current approaches in the treatment of glioblastoma multiforme (GBM) which are low specificity and poor uptake.

HYPERTHERMIA-INDUCED GUT MICROBIOME-MEDIATED MODULATION OF HOST IMMUNE SYSTEM FOR TREATMENT OF GASTRIC/ GASTRIC MALT/ DUODENAL CANCER

NºPublicación:  WO2026058267A1 19/03/2026
Solicitante: 
THAPAR INSTITUTE OF ENGINEERING AND TECH [IN]
THAPAR INSTITUTE OF ENGINEERING AND TECHNOLOGY
WO_2026058267_A1

Resumen de: WO2026058267A1

The present invention provides a hyperthermia-induced gut microbiome- mediated modulation of the host immune system for the treatment of gastric/ gastric MALT / Duodenum cancer; the said system uses a wild type/ non-pathogenic/ attenuated strain coated with iron oxide nanoparticles to specifically target the cancerous tissue by applying an external field around the gastric tissue the said iron oxide generates heat on bacteria surface and causes lysis of bacteria in the tumor microenvironment; the lysis of bacteria triggers various potent immune activator and cytokines to activate antigen-presenting cells including lymphocytes and macrophages; the said antigen presenting cell further, eliminates cancer cell from the gut microenvironment and eventually clean tumor microenvironment. Additionally, the activated lymphocytes will be antigenic memory against bacterial particles and cancer tissues. Furthermore, the said treatment system does not involve the use of any chemotherapeutic drug or radiation treatment and, thus, precludes undesirable side effects of chemotherapy as well as minimizes toxicity.

LIPID NANOPARTICLES FOR DELIVERING NUCLEIC ACID MOLECULES

NºPublicación:  WO2026056856A1 19/03/2026
Solicitante: 
BEIJING JITAI LIFE SCIENCES LTD [CN]
METIS TECHBIO CO LTD [CN]
\u5317\u4EAC\u5242\u6CF0\u751F\u547D\u79D1\u6280\u6709\u9650\u516C\u53F8,
\u5242\u6CF0\u79D1\u6280\uFF08\u5317\u4EAC\uFF09\u80A1\u4EFD\u6709\u9650\u516C\u53F8
WO_2026056856_A1

Resumen de: WO2026056856A1

Lipid nanoparticles for delivering nucleic acid molecules, compositions comprising the same, and uses of the lipid nanoparticles and compositions in the preparation of a drug or vaccine for treating diseases.

VERSATILE BIODEGRADABLE MOLECULES AS NUCLEIC ACID CARRIERS

NºPublicación:  WO2026060288A1 19/03/2026
Solicitante: 
TIBA BIOTECH LLC [US]
TIBA BIOTECH LLC
WO_2026060288_A1

Resumen de: WO2026060288A1

Disclosed are compounds useful for delivering therapeutic or immunogenic nucleic acid agents. Further disclosed are nanoparticle compositions having such a compound and methods for treating or preventing a disease or condition.

ENGINEERED EXTRACELLULAR VESICLES AND USES THEREOF

NºPublicación:  WO2026060224A1 19/03/2026
Solicitante: 
THE REGENTS OF THE UNIV OF CALIFORNIA [US]
THE REGENTS OF THE UNIVERSITY OF CALIFORNIA
WO_2026060224_A1

Resumen de: WO2026060224A1

Described herein are engineered extracellular vesicles (EVs) comprising at least one cyclin-dependent kinase (CDK) protein. Also provided are methods using the EVs to treat a wound, e.g., a diabetic wound.

HPV VACCINE AND USE THEREOF

NºPublicación:  WO2026056841A1 19/03/2026
Solicitante: 
HANGZHOU JITAI LIFE SCIENCES LTD [CN]
BEIJING JITAI LIFE SCIENCES LTD [CN]
METIS TECHBIO CO LTD [CN]
\u676D\u5DDE\u5242\u6CF0\u751F\u547D\u79D1\u6280\u6709\u9650\u516C\u53F8,
\u5317\u4EAC\u5242\u6CF0\u751F\u547D\u79D1\u6280\u6709\u9650\u516C\u53F8,
\u5242\u6CF0\u79D1\u6280\uFF08\u5317\u4EAC\uFF09\u80A1\u4EFD\u6709\u9650\u516C\u53F8
WO_2026056841_A1

Resumen de: WO2026056841A1

Provided are an HPV vaccine containing a nucleic acid molecule encoding an HPV antigen and an immune costimulatory factor, and the use thereof.

RNA-LNP FORMULATIONS DELIVERED BY HD-MAP

NºPublicación:  WO2026055729A1 19/03/2026
Solicitante: 
VAXXAS PTY LTD [AU]
VAXXAS PTY LIMITED
WO_2026055729_A1

Resumen de: WO2026055729A1

The present invention relates to stable nucleic acid LNP vaccine formulations for administration via a microprojection array in which the microprojections are densely packed and in which the vaccine formulations are rapidly sprayed or layered on to the microprojections in relatively small amounts such that the formulations dry rapidly. The present invention relates in particular to stabilized RNA-LNP vaccines delivered by high density micro-array patches (HD-MAPs).

LIPID-POLYMER CONJUGATES AND LIPID NANOPARTICLES INCORPORATING THE SAME

NºPublicación:  WO2026060137A1 19/03/2026
Solicitante: 
THE UNIV OF NORTH CAROLINA AT CHAPEL HILL [US]
THE UNIVERSITY OF NORTH CAROLINA AT CHAPEL HILL
WO_2026060137_A1

Resumen de: WO2026060137A1

Lipid-polymer conjugates and associated lipid nanoparticles are described herein. Such conjugates can comprise polyoxazolines and/or poly oxazines, thereby obviating the use of PEG-based treatments.

IONIZABLE CATIONIC LIPIDS AND LIPID NANOPARTICLES THEREOF

NºPublicación:  WO2026058191A1 19/03/2026
Solicitante: 
CORTI THERAPEUTICS PTE LTD [SG]
CORTI THERAPEUTICS PTE. LTD
WO_2026058191_A1

Resumen de: WO2026058191A1

Provided herein are ionizable lipids of the following structural formula: (I), or a pharmaceutically acceptable salt, solvate, or hydrate thereof, wherein values for the variables (e.g., R1, R2, R3, R4, R5, R6, X1, X2, X3, X4, X5, X6, X7, L1, L2, L3, L4, L5, L6, and L7) are as described herein. Also provided are lipid nanoparticles comprising ionizable lipids of Formula I, or a pharmaceutically acceptable salt, solvate, or hydrate thereof, and methods of using the ionizable lipids, e.g., to administer therapy to a subject in need thereof.

NUCLEIC ACID CARRIER AND METHOD FOR ADMINISTERING NUCLEIC ACID

NºPublicación:  US20260077057A1 19/03/2026
Solicitante: 
TOKYO MEDICAL UNIV [JP]
TOKYO MEDICAL UNIVERSITY
US_20260077057_A1

Resumen de: US20260077057A1

Provided is a novel carrier for introducing a nucleic acid such as a siRNA into a cell. The carrier for a nucleic acid of the present invention includes vesicles from a plant in the family Malpighiaceae, and preferably vesicles derived from acerola. A method for administering a nucleic acid according to the present invention includes forming a conjugate of the carrier for a nucleic acid of the present invention and a nucleic acid and administering the conjugate.

LIPID NANOPARTICLES FOR DELIVERY OF NUCLEIC ACIDS AND METHODS OF USE THEREOF

NºPublicación:  US20260077038A1 19/03/2026
Solicitante: 
AKAGERA MEDICINES INC [US]
Akagera Medicines, Inc
US_20260077038_A1

Resumen de: US20260077038A1

The present disclosure provides for improved compositions of ionizable lipid nanoparticles for the delivery of therapeutic nucleic acids to cells. Anionic phospholipids, including phosphatidylserine and phosphatidylglycerol are included in the lipid nanoparticles to increase the transfection efficiency in human dendritic cells. The further incorporation of mono-unsaturated alkyl chain analogs in dimethylaminopropyl-dioxolane or heterocyclic ketal ionizable lipids in the formulation demonstrated high levels of transfection in human dendritic cells, compared to other ionizable lipids in the same family, and demonstrated good stability to oxidative damage. Finally, the use of an ammonium salt of phosphatidylserine allows for the efficient production of PS-targeted LNPs.

VIRUS-LIKE PARTICLES FOR PREVENTING THE SPREADING AND LOWERING THE INFECTION RATE OF VIRUSES

NºPublicación:  US20260076920A1 19/03/2026
Solicitante: 
FINNCURE OY [FI]
Finncure Oy
US_20260076920_A1

Resumen de: US20260076920A1

According to some embodiments, a carrier for reducing a likelihood of a pathogen binding to cell structures of a host comprises a core, surface features extending from an exterior surface of the core, wherein the surface features are configured to bind to target areas of cell structures of the host to at least partially block the pathogen from binding to said target areas as a result of competitive inhibition, and a plurality of binding sites along the exterior surface, wherein the binding sites are configured to attract at least one portion of the pathogen, wherein the binding sites are recognizable by the pathogen and are able to be bound by the pathogen, thereby at least partially immobilizing the pathogen and reducing the likelihood of the pathogen binding to target areas of cell structures of the host.

COMPOSITIONS AND METHODS COMPRISING LIPID NANOPARTICLE VACCINES THAT ELICIT A MODULATED IMMUNE RESPONSE

NºPublicación:  US20260076905A1 19/03/2026
Solicitante: 
THE TRUSTEES OF THE UNIV OF PENNSYLVANIA [US]
THE TRUSTEES OF THE UNIVERSITY OF PENNSYLVANIA
US_20260076905_A1

Resumen de: US20260076905A1

The invention includes lipid nanoparticles (LNP) capable of eliciting a modulated immune response against an antigen in a subject. The LNPs comprise: (a) at least one first nucleoside-modified ribonucleic acid (RNA) encoding an antigen; (b) at least one second nucleoside-modified RNA encoding a cytokine or immune receptor (such as but not limited to a cytokine receptor); and (c) at least one ionizable lipid. The invention also includes pharmaceutical compositions comprising the LNP of the invention, as well as a method of eliciting a modulated immune response against an antigen in a subject, the method comprising administering an effective amount of a pharmaceutical compositions comprising the LNP of the invention.

TRANSFECTION COMPLEXES AND METHODS OF USING THE SAME

NºPublicación:  EP4710943A2 18/03/2026
Solicitante: 
MOLECULAR TRANSFER INC [US]
Molecular Transfer, Inc
EP_4710943_A2

Resumen de: EP4710943A2

Disclosed herein are transfection complexes comprising at least one cell surface ligand; at least one helper lipid component; and a transfection enhancer. Also disclosed are pharmaceutical compositions comprising the disclosed transfection complexes, and a pharmaceutically acceptable carrier. Further, disclosed are methods of transfecting a cell, the method comprising the steps of: obtaining a transfection complex as disclosed; and contacting a cell with the transfection complex.

改良されたENPP1阻害剤およびその使用

NºPublicación:  JP2026509361A 18/03/2026
Solicitante: 
ペトラジェン・インコーポレイテッド
JP_2026509361_A

Resumen de: CN121079084A

Compositions for inhibiting ENPP1 signaling, inactivation and/or activity are disclosed. The composition comprises a pharmaceutically acceptable carrier and a compound or a pharmaceutically acceptable salt thereof. Preferably, the compound is combined with an active site of ENPP1 on an extracellular structural domain of the ENPP1. Methods of using the compositions are also described. The compounds may be administered to an individual in need thereof by one or more administration routes. The compounds are present in an amount effective to treat, prevent, or ameliorate one or more diseases or disorders associated with ENPP1 signaling, inactivation, and/or activity.

PREPARATION FOR SIRNA AND DRUG CO-DELIVERY SYSTEM FOR EFFICIENTLY TARGETING GLIOMA INITIATING CELLS, AND USE

NºPublicación:  EP4710942A1 18/03/2026
Solicitante: 
JENKEM TECH CO LTD TIANJIN [CN]
Jenkem Technology Co. Ltd. (Tianjin)
EP_4710942_PA

Resumen de: EP4710942A1

Preparation for an siRNA and drug co-delivery system for efficiently targeting glioma initiating cells, and a use; <sup>D</sup>VAP targeting peptide modification is performed on exosomes by utilizing a click chemistry method, siRNA and mitoxantrone are loaded into the exosomes, and construction is performed to obtain a target-modified drug carrier exosome <sup>D</sup>VAP-Exo/siRNA/MIT. The target-modified exosome co-carries chemotherapeutic mitoxantrone, which has a strong killing effect on glioma initiating cells and can trigger immunogenic cell death, and a small interfering nucleic acid (siNotch 1), which is capable of reducing glioma initiating cell stemness; targeted tracking and killing of residual glioma initiating cells and tumor cells are achieved, and a new avenue is provided for glioblastoma treatment.

COMBINATIONS OF NANOPARTICLE-LOADED IMMUNE AGONISTS AND RAS TARGETED THERAPIES FOR TREATMENT OF CANCER

NºPublicación:  EP4709736A2 18/03/2026
Solicitante: 
UNIV MASSACHUSETTS [US]
University of Massachusetts
WO_2024238486_PA

Resumen de: WO2024238486A2

Described herein is the combination of STING/TLR4 agonist nanoparticles (NPs) and a combination of a MEK inhibitor (e.g., trametinib) and CDK4/6 inhibitor (e.g., palbociclib) treatment. This combination synergizes to (a) lead to enhanced NP uptake in multiple cell types in the TME, (b) increased antigen presentation on tumors cells as well as APCs, and (c) CD8+ T cell mediated long-term tumor control that is interferon signaling dependent. Also provided are methods to treat cancer, e.g., KRAS mutant cancers, e.g., KRAS mutant PDAC or lung cancer.

EXTRACELLULAR VESICLE COMPOSITIONS AND PREPARATION

NºPublicación:  EP4709357A2 18/03/2026
Solicitante: 
VIRGINIA TECH INTELLECTUAL PROPERTIES INC [US]
Virginia Tech Intellectual Properties, Inc
KR_20260003368_A

Resumen de: CN121335693A

In various aspects and embodiments, compositions containing extracellular vesicles, including modified extracellular vesicles, methods of making formulations of extracellular vesicles, methods of modifying extracellular vesicles, and methods of using modified and/or unmodified extracellular vesicles are provided.

NANOPARTICLES FOR TRANSPORTING ACTIVE SUBSTANCES COMPRISING ANIONIC GROUPS, METHOD FOR THE PRODUCTION THEREOF, AND USE THEREOF

NºPublicación:  EP4709351A1 18/03/2026
Solicitante: 
UNIV JENA FRIEDRICH SCHILLER [DE]
Friedrich-Schiller-Universit\u00E4t Jena
CN_121568685_PA

Resumen de: WO2024235481A1

The invention relates to lipid nanoparticles containing selected quantities of a) at least one cationic lipid, b) at least one phospholipid, and c) at least one selected stealth lipid, with the proviso that all the lipids contained in the lipid nanoparticle have an HLB value of greater than or equal to 3. These nanoparticles can be charged with active substances containing anionic groups, preferably with nucleic acids, and are suitable as highly efficient vehicles for transferring nucleic acids into cells.

A COMPOUND FOR PREPARING LIPID NANOPARTICLES ENCAPSULATING AN AGENT, NANOPARTICLE COMPOSITION COMPRISING SAID COMPOUND AND RELATED METHODS THEREOF

NºPublicación:  EP4709361A1 18/03/2026
Solicitante: 
AGENCY SCIENCE TECH & RES [SG]
Agency for Science, Technology and Research
CN_121175037_PA

Resumen de: CN121175037A

Provided is a compound represented by general formula (1) for preparing lipid nanoparticles encapsulating therapeutic, prophylactic and/or biological agents;

CATIONIC LIPIDS AND PREPARATION METHOD THEREOF

NºPublicación:  EP4709709A1 18/03/2026
Solicitante: 
RIBOX THERAPEUTICS HK LTD [HK]
Ribox Therapeutics HK Limited
US_20260069542_PA

Resumen de: US20260069542A1

The present invention provides cationic lipids and lipid nanoparticle formulations comprising these lipids, alone or in combination with other lipids. These lipid nanoparticles may be formulated with nucleic acids to facilitate their intracellular delivery both in vitro and for therapeutic applications. The present invention also provides methods of chemical synthesis of these lipids.

POLYPROLINE-BASED BLOCK COPOLYMERS

NºPublicación:  EP4709779A1 18/03/2026
Solicitante: 
POLYPEPTIDE THERAPEUTIC SOLUTIONS S L [ES]
FUNDACION COMUNIDAD VALENCIANA CENTRO INVESTIG PRINCIPE FELIPE [ES]
MAX PLANCK GESELLSCHAFT [DE]
Polypeptide Therapeutic Solutions, S.L,
Fundaci\u00F3n Comunidad Valenciana Centro Investigaci\u00F3n Principe Felipe,
Max-Planck-Gesellschaft zur F\u00F6rderung der Wissenschaften e.V
WO_2025003463_A1

Resumen de: WO2025003463A1

The present invention relates to polyproline-based block copolymers and compositions thereof, which e.g. are useful for delivering active ingredients, including nucleic acids, and/or imaging agents to target cells or tissues.

EXTRACELLULAR VESICLES FOR THE DELIVERY OF PAYLOADS TO EUKARYOTIC CELLS

NºPublicación:  EP4709745A1 18/03/2026
Solicitante: 
ALAYA BIO INC [US]
Alaya.Bio Inc
CN_121568954_PA

Resumen de: AU2024267555A1

The invention relates to the production, modification, and use of extracellular vesicles (EVs), particularly for the delivery of payloads of nucleic acids. The EVs can contain retroviral capsids and can be coated with polymers. The EVs can be treated with a protease to remove proteins on the outer surface of the EV to create shaved EVs. The shaved EVs can be coated with a polymer and used for the delivery of payloads of nucleic acids to cells.

IONIZABLE CATIONIC LIPIDS FOR RNA DELIVERY

NºPublicación:  EP4709710A1 18/03/2026
Solicitante: 
ARCTURUS THERAPEUTICS INC [US]
Arcturus Therapeutics, Inc
CN_121511234_PA

Resumen de: MX2025013363A

The present disclosure describes compounds of Formula (I) and pharmaceutically acceptable salts thereof:

猫疱疹病毒环状RNA疫苗及其应用

NºPublicación:  CN121674437A 17/03/2026
Solicitante: 
苏州沃美生物有限公司
CN_121674437_PA

Resumen de: CN121674437A

本申请公开了一种猫疱疹病毒环状RNA疫苗及其应用。所述环状RNA疫苗是通过对猫疱疹病毒1型(FHV‑1)的四种糖蛋白gB、gD、gE、gI进行了系统性的抗原优化,并在此基础上构建了融合蛋白,实现了多抗原的协同免疫;进而基于这些优化的抗原及融合蛋白,制备了环状RNA疫苗。较之现有技术,本申请实现了更安全、更稳定、免疫效果更持久的猫用病毒疫苗的开发和生产,工艺稳定、可靠,可实现高质量疫苗产品的规模化生产。

呼吸器合胞体ウイルスワクチン、並びにその製造方法および使用

NºPublicación:  JP2026509040A 17/03/2026
Solicitante: 
珠海麗凡達生物技術有限公司
JP_2026509040_A

Resumen de: CN120617496A

The present disclosure relates to an immune composition comprising or encoding a human respiratory syncytial virus antigen, selected from the group consisting of a nucleic acid immune composition, a polypeptide immune composition or a viral immune composition.

负载布地奈德的人参囊泡递送系统及其构建方法和应用

NºPublicación:  CN121668137A 17/03/2026
Solicitante: 
南方医科大学南方医院
CN_121668137_PA

Resumen de: CN121668137A

本发明公开了植物来源纳米药物递送系统技术领域的负载布地奈德的人参囊泡递送系统及其构建方法和应用。该递送系统以人参来源的纳米囊泡为载体,包载布地奈德形成BUD@GDNPs复合物。该递送系统可协同增强布地奈德的抗炎效果,显著减轻哮喘模型动物的气道炎症,同时降低高剂量布地奈德引发的血糖紊乱等副作用,生物安全性优异。本发明提供的递送系统可用于哮喘的临床治疗,尤其适用于需要长期使用糖皮质激素的患者,解决了传统布地奈德生物利用度低、副作用明显的技术难题,具有重要的临床应用价值和产业化前景。

一种用于治疗心肌梗死的纳米药物递送系统及其制备方法与应用

NºPublicación:  CN121668131A 17/03/2026
Solicitante: 
上海市第六人民医院
CN_121668131_PA

Resumen de: CN121668131A

本发明涉及一种用于治疗心肌梗死的纳米药物递送系统,包括:锰硒纳米颗粒、包覆于所述锰硒纳米颗粒的外表面上的聚多巴胺层、以及包裹于所述聚多巴胺层的外表面上的M1型巨噬细胞来源的外泌体膜。本发明的纳米药物递送系统静脉注射后可在梗死区高度富集并长时间停留,显著缩减梗死面积,左室收缩与舒张功能同步改善,心室异常重构得到抑制,药物向肝脾的被动分布相应减少。

CES1/CES2级联激活的喜树碱-脂肪醇前药和其白蛋白纳米粒以及其制备方法和应用

NºPublicación:  CN121673291A 17/03/2026
Solicitante: 
沈阳药科大学
CN_121673291_PA

Resumen de: CN121673291A

本发明涉及CES1/CES2级联激活的喜树碱‑脂肪醇前药和其白蛋白纳米粒以及其制备方法和应用,属于医药技术领域。该CES1/CES2级联激活的喜树碱‑脂肪醇前药,其是式(I)所示的前药或其药学上可接受的盐。本发明还涉及包载CES1/CES2级联激活的喜树碱‑脂肪醇前药制备的结合型白蛋白纳米粒。该白蛋白纳米粒的粒径较小且形态均一,具有良好的放置稳定性和胶体稳定性,在体循环和正常组织中均能稳定存在,但被肿瘤细胞摄取后,经过CES1介导的初级水解释放出中间体,随后中间体在CES2的作用下发生次级水解而释放出母药喜树碱,从而实现特异性杀伤肿瘤细胞而不产生严重的毒副作用,具有良好的临床开发前景。式(I)

一种I型光动力脂质体反应器的制备方法及应用

NºPublicación:  CN121668305A 17/03/2026
Solicitante: 
江苏集萃未来食品技术研究所有限公司江南大学
CN_121668305_PA

Resumen de: CN121668305A

本发明公开了一种I型光动力脂质体反应器的制备方法及应用,属于生物医药技术领域。本发明将此光敏剂、磷脂、胆固醇和DSPE‑mPEG、DSPE‑mPEG‑Biotin、DSPE‑mPEG‑Gal通过特定方式混合组装,得到脂质体反应器TGoE@BG‑Lipo。并基于该脂质体反应器提供一种肝肿瘤靶向的纳米治疗药物。本发明肝肿瘤靶向的治疗药物具有较好的稳定性及能被肿瘤微环境触发药物释放,能够发挥I型光动力治疗、化疗和饥饿治疗的多模式治疗;此外,在皮下缺氧实体瘤模型中发挥了良好的治疗功效,有望应用于临床研究。

一种用于预防猫传染性腹膜炎的广谱mRNA疫苗及其制备方法

NºPublicación:  CN121668297A 17/03/2026
Solicitante: 
瑞普生物股份有限公司
CN_121668297_PA

Resumen de: CN121668297A

本发明提供了一种用于预防猫传染性腹膜炎的广谱mRNA疫苗及其制备方法,该疫苗包含mRNA分子1和mRNA分子2,mRNA分子1包含基于串联FIPV I型S蛋白的中和表位与T细胞表位的自组装LS纳米颗粒融合序列,以及N蛋白和M蛋白的抗原编码序列组成的LS‑FIPV‑I MEV‑N‑M抗原蛋白编码序列;mRNA分子2包含由FIPV II型S蛋白受体结构域RBD融合自组装的LS纳米颗粒结构的抗原蛋白编码序列。本发明通过双mRNA分子组合,可在规避ADE风险的同时,实现对FIPV I型和II型的广谱保护。

一种聚多巴胺修饰的钴单原子纳米酶体系及其制备方法、应用

NºPublicación:  CN121668136A 17/03/2026
Solicitante: 
长春中医药大学
CN_121668136_A

Resumen de: CN121668136A

本发明提供了一种聚多巴胺修饰的钴单原子纳米酶体系,包括钴单原子纳米酶以及包覆在钴单原子纳米酶表面的聚多巴胺包覆层;所述钴单原子纳米酶由前驱体Co@MOF@SiO2经热解和刻蚀后得到。本发明中Co SA具备类过氧化氢酶与类超氧化物歧化酶活性,能精准调控酒精诱导的氧化应激及炎症反应通路;PDA依托生物粘附性实现Co SA在胃部的有效滞留,并凭借良好生物相容性提升应用的安全性。该体系可通过激活NRF2信号通路并抑制NF‑κB信号通路增强组织抗氧化能力并阻断炎症级联反应,显著减轻酒精引发的胃黏膜损伤与肝脏病变,改善氧化应激及炎症反应。本发明为酒精性胃炎与肝炎的同步联合防治提供了方向及实验依据。

用于肿瘤化疗、免疫联合治疗的纳米颗粒及其制备方法与应用

NºPublicación:  CN121668135A 17/03/2026
Solicitante: 
中山大学附属第八医院(深圳福田)
CN_121668135_PA

Resumen de: CN121668135A

本发明公开了用于肿瘤化疗、免疫联合治疗的纳米颗粒及其制备方法与应用,属于生物医药技术领域。所述纳米颗粒为重组人重链铁蛋白(rHF)包裹雷公藤红素(Cel)形成的rHF@Cel纳米颗粒。其制备方法包括:获得重组rHF蛋白,将Cel与rHF在特定pH和温度条件下混合组装,纯化后即得。该纳米颗粒能有效靶向肿瘤细胞,释放Cel杀伤肿瘤;同时,rHF载体能诱导肿瘤相关巨噬细胞由促肿瘤的M2型向抗肿瘤的M1型极化,并降低肿瘤微环境中调节性T细胞(Treg)的比例,逆转免疫抑制微环境。体外和体内实验证明,rHF@Cel纳米颗粒对乳腺癌细胞具有显著杀伤作用,并能有效抑制小鼠移植瘤的生长。

一种肿瘤-细菌膜嵌合的纳米颗粒的制备方法及其应用

NºPublicación:  CN121668132A 17/03/2026
Solicitante: 
山东第一医科大学(山东省医学科学院)
CN_121668132_PA

Resumen de: CN121668132A

本发明涉及抗肿瘤仿生纳米材料技术领域,公开了一种肿瘤‑细菌膜嵌合的纳米颗粒的制备方法及其应用,包括:将二肉豆蔻酰磷脂酰胆碱和胆固醇油酸酯旋转蒸发得到HDL旋蒸薄膜;将肿瘤细胞膜与细菌膜混合得到肿瘤‑细菌混合膜;将载脂蛋白ApoA‑1与该肿瘤‑细菌混合膜预混合,再将混合溶液加入含HDL旋蒸薄膜的容器中水化重构,得到粗品悬液;将粗品悬液超滤纯化,得到肿瘤‑细菌膜嵌合的纳米颗粒。本发明通过将肿瘤细胞膜与细菌膜共载于高密度脂蛋白上,能够将两种膜组分共递送至树突状细胞以诱导其成熟,并在体内蓄积于肿瘤及引流淋巴结,激活CD8+T细胞应答,对肿瘤生长产生抑制作用。

一种含金合欢素的肺吸入式mRNA疫苗用脂质纳米颗粒及其制备方法与应用

NºPublicación:  CN121668292A 17/03/2026
Solicitante: 
北京生命科技研究院有限公司
CN_121668292_PA

Resumen de: CN121668292A

本发明属于生物医药技术领域,具体涉及一种含金合欢素的肺吸入式mRNA疫苗用脂质纳米颗粒及其制备方法与应用。该脂质纳米颗粒以金合欢素为功能性第五组分,与可离子化脂质、中性辅助脂质、胆固醇、聚乙二醇脂质共同组成,可有效包裹编码抗原的mRNA。其制备通过微流控技术实现脂质与mRNA的高效复合,所得颗粒粒径适配肺部靶向,能减少肺泡巨噬细胞清除、保护mRNA免受过氧化损伤,并通过金合欢素的免疫调节作用增强疫苗应答。该体系可制成肺吸入式mRNA疫苗,用于呼吸道感染性疾病防控,兼具高效递送、强效免疫与良好安全性,为肺部免疫屏障构建提供新方案。

一种UTR元件Hh及其构建方法和应用

NºPublicación:  CN121674402A 17/03/2026
Solicitante: 
中国医学科学院医学生物学研究所
CN_121674402_PA

Resumen de: CN121674402A

本发明提供一种UTR元件Hh及其构建方法和应用,涉及mRNA技术领域。通过PaddleHelix平台对NCBI编号为AF339412.1的基因的5'UTR和NCBI编号为MK475748.1的基因的5'UTR分别进行核糖体载量预测和二级结构优化,获得的优化序列避免了抑制性发夹结构,使荧光素酶表达量较天然UTR明显提升。在优化序列基础上通过分子克隆技术将HBB与hbb进行定向组装,构建形成HBB‑hbb嵌合体(Hh),Hh的DNA序列如SEQ NO.1所示,RNA序列如SEQ NO.2所示,使蛋白表达量进一步提升。

一种氧化还原敏感型阳离子聚合物基因载体及其制备与应用

NºPublicación:  CN121668327A 17/03/2026
Solicitante: 
浙江工业大学
CN_121668327_PA

Resumen de: CN121668327A

本发明公开了一种氧化还原敏感型阳离子聚合物基因载体及其制备与应用。本发明采用带有氧化/还原响应性S‑S键的疏水小分子对聚缩水甘油胺进行侧链修饰,制备得到具有特异性肿瘤微环境响应能力的阳离子聚合物基因递送载体材料。该材料具有良好的生物相容性,能够有效负载siRNA分子并形成具有良好稳定性和优异基因转染能力的siRNA复合物纳米粒子。该复合物纳米粒子能够被细胞有效摄取,并且可以有效响应氧化/还原肿瘤微环境,实现siRNA的靶向释放。本发明提供的氧化/还原响应阳离子聚合物基因载体具有较大的临床应用前景。

一种近红外二区聚集诱导发光材料及其制备方法与在制备I型光动力药物中的应用

NºPublicación:  CN121673299A 17/03/2026
Solicitante: 
香港中文大学(深圳)
CN_121673299_PA

Resumen de: CN121673299A

本发明提出了一种近红外二区聚集诱导发光材料及其制备方法与在制备I型光动力药物中的应用,属于生物医学工程技术领域。以本发明得到的近红外二区聚集诱导发光材料作为给体,以硫杂萘二酰亚胺作为受体,通过泊洛沙姆F127将给体与受体整合构建得到一种NDA/BA纳米颗粒,进一步用于制备I型光动力药物中。该NDA/BA纳米颗粒展现出显著增强的I型光动力性能,其总活性氧、·OH和O2·‑生成量显著提高,并证实其具有精准的近红外二区成像与光动力治疗效果,为近红外二区影像引导的光动力诊疗一体化提供了前景广阔的新方案。

含有氨基甲酸酯结构的多氨基阳离子脂质、包含其的组合物及用途

NºPublicación:  CN121673250A 17/03/2026
Solicitante: 
北京悦康科创医药科技股份有限公司杭州天龙药业有限公司
CN_121673250_PA

Resumen de: CN121673250A

本发明属于医药领域,公开了含有氨基甲酸酯结构的多氨基阳离子脂质、包含其的组合物及用途,具体公开了一种式(I)所示的阳离子脂质。本发明提供的阳离子脂质可用于核酸靶向递送,能够降低肝脏富集的同时显著增强核酸药物的脾靶向性。

一种苯硼酸及其衍生物修饰脂质纳米粒的制备与应用

NºPublicación:  CN121673305A 17/03/2026
Solicitante: 
中国药科大学
CN_121673305_PA

Resumen de: CN121673305A

本发明公开了一种苯硼酸及其衍生物修饰脂质纳米粒的制备与应用,属于生物医药技术领域。本发明设计并合成了一类苯硼酸及其衍生物修饰阳离子脂质材料,该材料表面正电荷可通过静电作用高效负载核酸药物,苯硼酸及其衍生物修饰又赋予脂质纳米粒活性氧响应性,能在高活性氧环境中实现电位翻转与疏水‑亲水结构转变以快速释药;同时,该脂质材料仅需两步反应即可合成,原料易得且反应条件温和,所制备得到的脂质纳米粒粒径均一,能够作为常规核酸药物递送系统用于科学研究。

一种靶向ECT2抑制剂在制备治疗肾间质纤维化产品中的应用

NºPublicación:  CN121668184A 17/03/2026
Solicitante: 
华中科技大学同济医学院附属协和医院
CN_121668184_A

Resumen de: CN121668184A

本发明公开了一种靶向ECT2抑制剂在制备治疗肾间质纤维化产品中的应用。本发明首次揭示并证实了ECT2通过抑制核糖体生物发生(RiBi)进而激活p53通路,最终导致肾小管细胞衰老和肾纤维化这一全新的、前所未有的分子通路,为针对此通路的精准药物提供了坚实的理论依据,实现了从关联性观察到因果性机制阐明的重大突破。

一种树莓花色苷纳米颗粒的制备及应用

NºPublicación:  CN121668134A 17/03/2026
Solicitante: 
辽宁大学
CN_121668134_PA

Resumen de: CN121668134A

本发明公开一种树莓花色苷纳米颗粒的制备及应用,具体是一种以分离乳清蛋白、阿拉伯树胶为复合载体的三元树莓花色苷纳米颗粒制备方法,核心步骤:1.以冷冻树莓为原料,70%乙醇超声浸提、真空旋蒸除醇得粗提液,AB‑8大孔树脂柱纯化、冻干获高纯度树莓花色苷;2.先制分离乳清蛋白纳米颗粒,复合花色苷得二元颗粒,再与阿拉伯树胶反应,超声、离心得三元纳米颗粒;3.以花色苷保留率、粒径、包封率为指标,单因素结合Box‑Behnken响应面试验优化参数。本发明纳米颗粒包封率≥64.2%,盐离子、不同pH、光照及储存下稳定性优,体外消化花色苷保留率≥65%且抗氧化活性良好。本方法原料天然安全、工艺简可控、成本低易工业化,产物可用于特医食品、药品等领域,对树莓深加工、提升农产品附加值具重要意义。

脂质纳米颗粒及其应用

NºPublicación:  CN121668130A 17/03/2026
Solicitante: 
北京科兴中维生物技术有限公司
CN_121668130_PA

Resumen de: WO2026052114A1

A lipid nanoparticle, comprising an ionizable lipid, a steroid compound and a polyethylene glycol-lipid, and not comprising a helper lipid. The ionizable lipid is selected from a compound having a structure represented by formula (I) and/or a pharmaceutically acceptable salt thereof. The three-component lipid nanoparticle not comprising a helper lipid reduces the complexity of the formulation and the difficulty of large-scale production, and further improves the nucleic acid encapsulation efficiency.

一种基于三(2-氨基乙基)胺的可电离脂质、脂质纳米颗粒及其制备方法与应用

NºPublicación:  CN121673192A 17/03/2026
Solicitante: 
山东大学
CN_121673192_PA

Resumen de: CN121673192A

本发明属于生物医药技术领域,涉及一种基于三(2‑氨基乙基)胺的可电离脂质、脂质纳米颗粒及其制备方法与应用。其化学结构如式I所示,其中,R1、R2分别独立地选自取代或未取代的C8‑C14烷基、取代或未取代的C8‑C14烯基、取代或未取代的C8‑C14炔基。本发明提供的基于三(2‑氨基乙基)胺的可电离脂质形成脂质纳米颗粒具有可生物降解性和转染效率高的优点。

小分子药物saEml1及其在脊髓损伤修复中的应用

NºPublicación:  CN121668182A 17/03/2026
Solicitante: 
南通大学
CN_121668182_PA

Resumen de: CN121668182A

本发明公开了小分子药物saEml1及其在脊髓损伤修复中的应用。本发明将saEml1封装于PLGA‑NPs中,再把纳米粒均匀分散于可光交联的GelMA水凝胶内,制成可注射复合体系。将该凝胶纳米粒复合物填充于脊髓损伤腔,利用GelMA三维支架实现saEml1局部滞留,并借助PLGA‑NPs的降解特性使saEml1在病灶局部持续释放。该体系兼具机械支撑+药物缓释双重功能,可在损伤微环境内维持saEml1有效浓度,持续激活Eml1,从而促进轴突再生,显著提高治疗效果。

一种金属多酚纳米酶及其制备方法和应用

NºPublicación:  CN121668192A 17/03/2026
Solicitante: 
广州创赛生物医用材料有限公司
CN_121668192_PA

Resumen de: CN121668192A

本发明涉及一种金属多酚纳米酶,所述金属多酚纳米酶包括核和壳,所述核包括铈、单宁酸和白藜芦醇,所述壳包括杂化细胞膜,所述壳包裹于核的表面。所述金属多酚纳米酶的制备方法包括以下步骤:金属多酚纳米颗粒的制备;杂化细胞膜的提取和核‑壳的一体化。本发明的金属多酚纳米酶具有催化活性与选择性的显著提升、靶向能力与病灶富集的改进以及可控释放与安全性。

一种靶向细菌负载上转换纳米颗粒的双展示噬菌体复合体及其制备方法与应用

NºPublicación:  CN121668309A 17/03/2026
Solicitante: 
华中科技大学
CN_121668309_PA

Resumen de: CN121668309A

本发明涉及一种靶向细菌负载上转换纳米颗粒的双展示噬菌体复合体及其制备方法与应用,属于生物医药和纳米技术交叉领域。本发明靶向细菌负载上转换纳米颗粒的双展示噬菌体复合体包括上转换纳米颗粒和双展示靶向肽的噬菌体,双展示靶向肽的噬菌体上修饰有能够与细菌靶向结合和能够与上转换纳米颗粒靶向结合的靶向肽,上转换纳米颗粒由内至外修饰有光敏剂、红细胞膜和光热剂;上转换纳米颗粒用于在照射光下产生发射光,光敏剂用于在发射光下产生活性氧,光热剂用于在所述照射光下产热和成像。本发明中的复合体能够特异性识别细菌感染病灶,并实现近红外光激发的发光成像、光动力治疗与光热治疗的协同杀菌作用。

一种纳米粒交联水凝胶及其应用

NºPublicación:  CN121668090A 17/03/2026
Solicitante: 
中国药科大学
CN_121668090_PA

Resumen de: CN121668090A

本发明公开了一种纳米粒交联水凝胶及其应用,该纳米粒交联水凝胶由端基功能化的纳米粒和侧链功能化修饰的亲水性高分子材料制成,由于硫醇基团和不饱和双键基团可通过迈克尔加成反应进行连接,因此选择硫醇基团和不饱和双键基团形成纳米粒和亲水性高分子材料的连接键从而实现水凝胶成型。本发明以纳米粒为交联剂的水凝胶递送系统,通过纳米粒与水凝胶的双重装载策略,实现了多种药物的装载与递送。

コロナウイルスワクチン

NºPublicación:  JP2026048878A 17/03/2026
Solicitante: 
キュアバックエスイー
JP_2026048878_A

Resumen de: ZA202406805B

The present invention is directed to a nucleic acid suitable for use in treatment or prophylaxis of an infection with a coronavirus, preferably with a Coronavirus SARS-CoV-2, or a disorder related to such an infection, preferably COVID-19. The present invention is also directed to compositions, polypeptides, and vaccines. The compositions and vaccines preferably comprise at least one of said nucleic acid sequences, preferably nucleic acid sequences in association a lipid nanoparticle (LNP). The invention is also directed to first and second medical uses of the nucleic acid, the composition, the polypeptide, the combination, the vaccine, and the kit, and to methods of treating or preventing a coronavirus infection, preferably a Coronavirus infection.

脂質ナノ粒子製剤における使用のための脂質

NºPublicación:  JP2026048750A 17/03/2026
Solicitante: 
アクイタスセラピューティクスインコーポレイテッド
JP_2026048750_A

Resumen de: US2025084029A1

Compounds are provided having the following structure:or a pharmaceutically acceptable salt, tautomer or stereoisomer thereof, wherein R3, L1, L2, G1, G2 and G3 are as defined herein. Use of the compounds as a component of lipid nanoparticle formulations for delivery of a therapeutic agent, compositions comprising the compounds and methods for their use and preparation are also provided.

脂質ナノ粒子の精製方法

NºPublicación:  JP2026509143A 17/03/2026
Solicitante: 
ザルトリウスビーアイエーセパレーションズディー.オー.オー.
JP_2026509143_A

Resumen de: CN120676997A

The present invention relates to a method for purifying lipid nanoparticles (LNPs) encapsulating nucleic acids, comprising the steps of: subjecting a solution containing said LNPs to a chromatography medium having convective properties in the presence of at least one lyophilic agent; and eluting the LNP from the chromatography medium. The invention also relates to the corresponding use of a chromatography medium with convective properties in the purification of lipid nanoparticles (LNPs) encapsulating nucleic acids.

抗トランスフェリン受容体抗体及びその使用

NºPublicación:  JP2026509242A 17/03/2026
Solicitante: 
バイオジェン・エムエイ・インコーポレイテッド
JP_2026509242_A

Resumen de: JOP20250221A1

The present disclosure provides anti-transferrin receptor antibodies, compositions comprising the same and methods of use for delivery of cargo to brain tissue. This disclosure also provides polynucleotides and vectors encoding the anti-transferrin receptor antibodies and cells comprising the same, methods of making the antibodies, and molecules comprising the antibodies.

核酸インフルエンザワクチン及び呼吸器ウイルス混合ワクチン

NºPublicación:  JP2026509266A 17/03/2026
Solicitante: 
モデルナティエックスインコーポレイテッド
JP_2026509266_A

Resumen de: WO2024191860A2

Some aspects of the disclosure relate to vaccines (e.g., RNA vaccines (e.g., mRNA vaccines)) for seasonal influenza viruses as well as methods of using the vaccines. Also described are combination vaccines (e.g., RNA vaccines (e.g., mRNA vaccines)) for seasonal influenza viruses and other respiratory viruses (e.g., respiratory syncytial viruses and coronaviruses), as well as methods of using the vaccines.

核酸送達のための新規な脂質ナノ粒子製剤

NºPublicación:  JP2026509258A 17/03/2026
Solicitante: 
キュアバックエスイー
JP_2026509258_A

Resumen de: CN121194778A

The present invention provides novel ionizable lipids and novel lipid nanoparticles comprising messenger RNA (mRNA) useful for the delivery of nucleic acids as defined herein, related pharmaceutical compositions or vaccines for use in human medicine or veterinary medicine, in particular for the treatment and/or prevention of cancer diseases.

一种基于iPSC外泌体的中药复合物及其制备方法与应用

NºPublicación:  CN121668133A 17/03/2026
Solicitante: 
国典(北京)医药科技有限公司
CN_121668133_A

Resumen de: CN121668133A

本申请涉及生物医药的技术领域,具体公开了一种基于iPSC外泌体的中药复合物及其制备方法与应用。本申请公开的基于iPSC外泌体的中药复合物,由iPSC外泌体负载脂溶性成分和亲水性成分制备得到;iPSC外泌体的直径为30‑150nm,iPSC外泌体的总载药量为40‑60μg/mg蛋白;脂溶性成分选自茯苓酸、姜黄素;亲水性成分选自人参皂苷Rg1、黄芩苷。本申请提供的中药复合物基于iPSC外泌体实现脂溶性成分和亲水性成分中药小分子的同步递送;解决外泌体载药种类单一的问题,提高了载药率和包封率,在抑郁症治疗药物中的应用前景广阔。

抗ウイルスプロドラッグの製剤

NºPublicación:  JP2026509021A 16/03/2026
Solicitante: 
エキサビルセラピューティクス,インコーポレイティド
JP_2026509021_A

Resumen de: MX2025010834A

Disclosed herein, in part, are pharmaceutical compositions comprising a prodrug of an antiviral agent and methods of using the same in the treatment of viral infections.

mRNAのデリバリーシステム

Nº publicación: JP2026047994A 16/03/2026

Solicitante:

慶應義塾

JP_2026047994_A

Resumen de: JP2026047994A

【課題】 mRNAのデリバリーに適したナノ粒子を提供すること。【解決手段】カチオン性高分子とアニオン性多糖とを含む、mRNAデリバリーのためのナノ粒子であって、カチオン性高分子がキトサン又はその塩である前記ナノ粒子。前記ナノ粒子とmRNAとを含む、組成物。【選択図】図6

traducir