Ministerio de Industria, Turismo y Comercio LogoMinisterior
 

Alerta

Resultados 90 resultados
LastUpdate Última actualización 14/12/2025 [07:02:00]
pdfxls
Solicitudes publicadas en los últimos 30 días / Applications published in the last 30 days (excluidas publicaciones Chinas / Chinese publications excluded)
Resultados 1 a 25 de 90 nextPage  

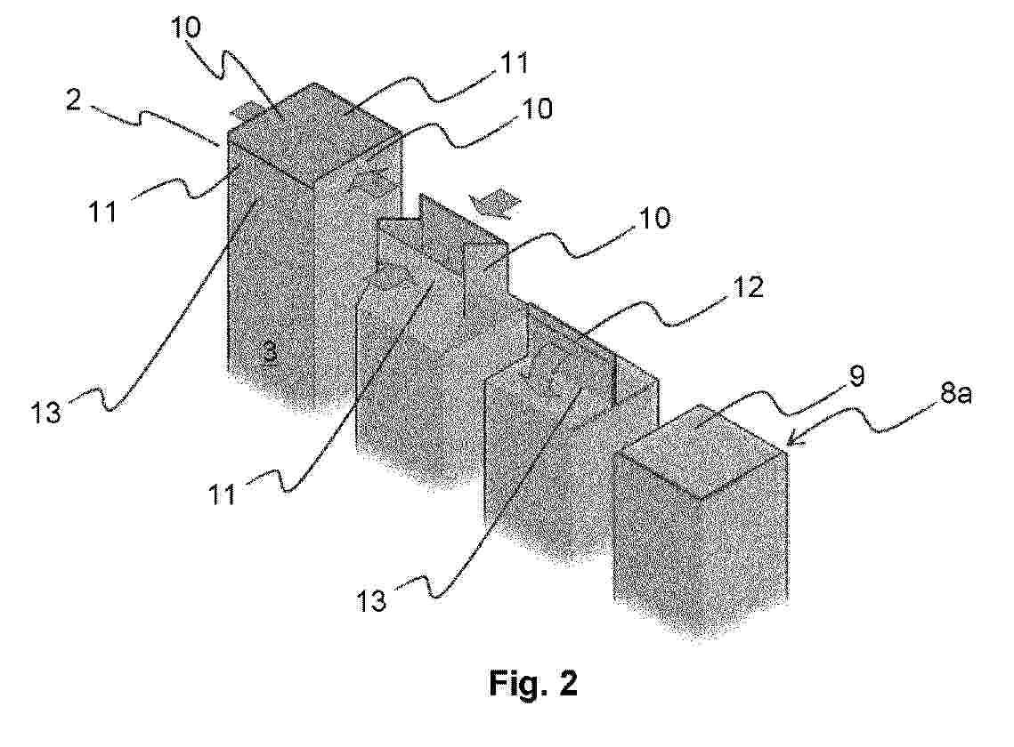
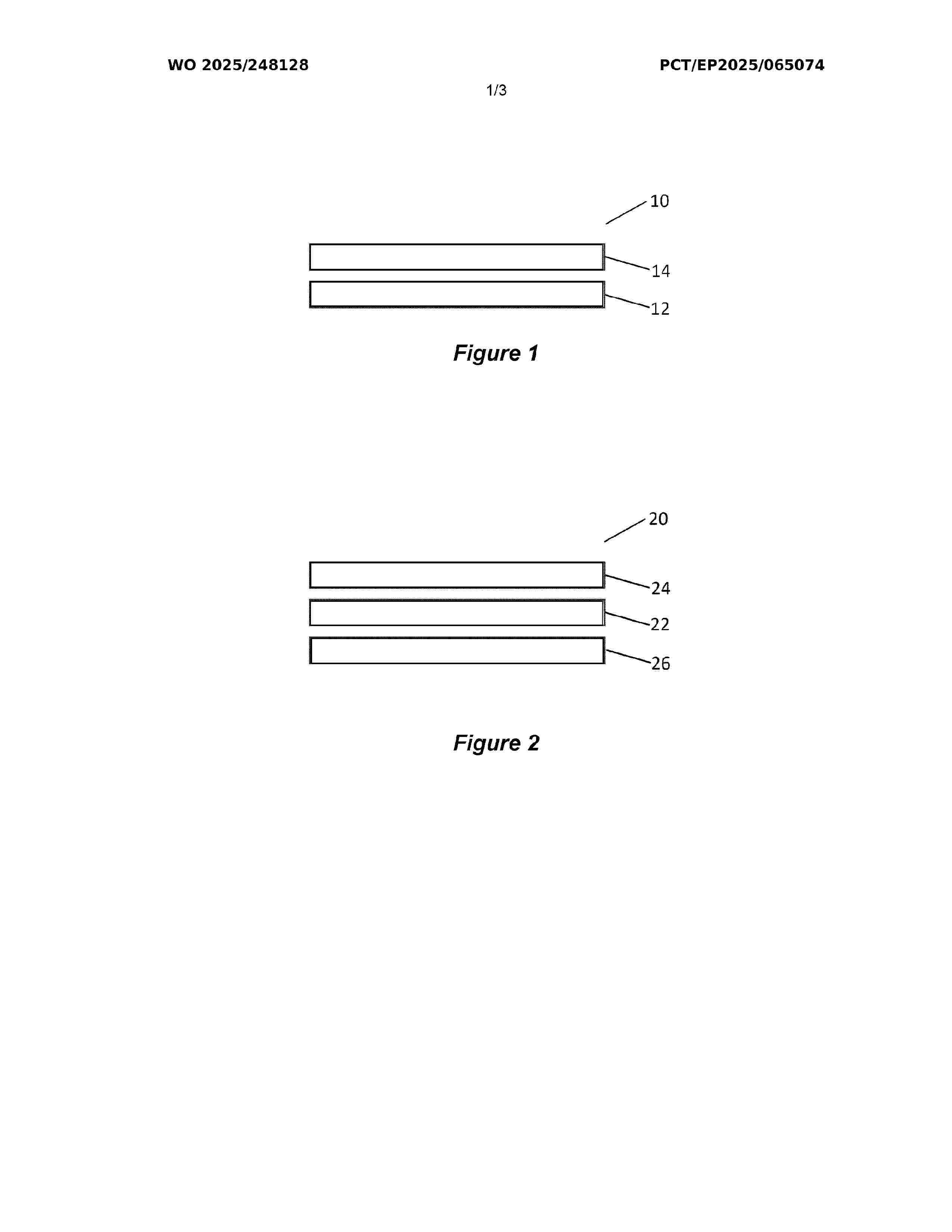
PROCESS FOR MAKING WATER-SOLUBLE POUCHES

NºPublicación:  US2025376648A1 11/12/2025
Solicitante: 
THE PROCTER & GAMBLE COMPANY [US]
The Procter & Gamble Company
US_2025376648_PA

Resumen de: US2025376648A1

A process for making water-soluble pouches having at least one compartment on a sealing plane is disclosed. The process is characterized by the difference in the first water-soluble film heating temperature and the second water-soluble film heating temperature being reduced substantially. The resulting water-soluble pouch comprises of almost symmetrically shaped individual compartments relative to the sealing plane respectively and optionally with different depth of each compartment enabling stereoscopic and contemporary appearance to the consumer.

METHODS OF FORMING BIODEGRADABLE POLYMERIC MATERIALS AND THE BIODEGRADABLE POLYMERIC MATERIALS FORMED THROUGH THE METHODS

NºPublicación:  WO2025254866A1 11/12/2025
Solicitante: 
HONEYWELL INT INC [US]
HONEYWELL INTERNATIONAL INC
WO_2025254866_A1

Resumen de: WO2025254866A1

Methods of forming compostable polymeric materials and compostable polymeric materials formed through the methods are provided herein. In an embodiment, a method includes blending a biodegradable polymer chosen from a biodegradable polyester, a biodegradable polysaccharide, or combinations thereof, with a polymer-degrading enzyme and a plasticizer to form an intermediate composition. The intermediate composition is gel extruded to form the compostable polymeric material. In an embodiment, a compostable polymeric material is formed by a method comprising the recited steps.

FILM

NºPublicación:  WO2025254215A1 11/12/2025
Solicitante: 
KURARAY CO LTD [JP]
\u682A\u5F0F\u4F1A\u793E\u30AF\u30E9\u30EC
WO_2025254215_A1

Resumen de: WO2025254215A1

The present invention relates to a film containing a polysaccharide A and a polysaccharide B, wherein the polysaccharide A has an ionic functional group, and the polysaccharide B is composed only of a β-1,4-bond in the main chain.

WATER-SOLUBLE FILM

NºPublicación:  WO2025254216A1 11/12/2025
Solicitante: 
KURARAY CO LTD [JP]
\u682A\u5F0F\u4F1A\u793E\u30AF\u30E9\u30EC
WO_2025254216_A1

Resumen de: WO2025254216A1

The present invention relates to a water-soluble film containing a polysaccharide, a plasticizer A, and a plasticizer B, wherein the plasticizer A has a glass transition temperature (Tg) of -30°C or lower, the plasticizer B has a glass transition temperature (Tg) of 0°C or higher, the total content of the plasticizer A and the plasticizer B is more than 20 mass % and 90 mass % or less with respect to the mass of the water-soluble film, and the content of a polyvinyl alcohol-based resin is less than 30 mass % with respect to the mass of the water-soluble film.

BIO-BASED WATER-SOLUBLE FILM INCLUDING STARCH, CARRAGEENAN AND PULLULAN

NºPublicación:  WO2025255568A1 11/12/2025
Solicitante: 
MONOSOL LLC [US]
MONOSOL, LLC
WO_2025255568_A1

Resumen de: WO2025255568A1

Disclosed herein is a water-soluble film including a plasticizer and a film-forming resin comprising starch, carrageenan, and pullulan. Starch is present in the film in an amount in a range of about 50 wt.% to about 90 wt.% or in a range of about 1 wt.% to about 30 wt.%, based on the total weight of starch, carrageenan, and pullulan; carrageenan is present in the film in an amount in a range of about 5 wt.% to about 14 wt.%, based on the total weight of the starch, carrageenan, and pullulan. The ratio of starch to the sum of carrageenan and pullulan is in a range of from about 0.01 to about 0.43 or in a range from about 1 to about 9.

BIO-BASED WATER-SOLUBLE FILM INCLUDING TAMARIND GUM AND PULLULAN

NºPublicación:  WO2025255563A1 11/12/2025
Solicitante: 
MONOSOL LLC [US]
MONOSOL, LLC
WO_2025255563_A1

Resumen de: WO2025255563A1

Disclosed herein is a water-soluble film including pullulan, tamarind gum and a plasticizer, wherein the tamarind gum and pullulan are provided in a ration in a range of about 1 :1 to about 1 :25, by weight. Optionally the plasticizer is present in an amount in a range of about 25 PHR to about 85 PHR.

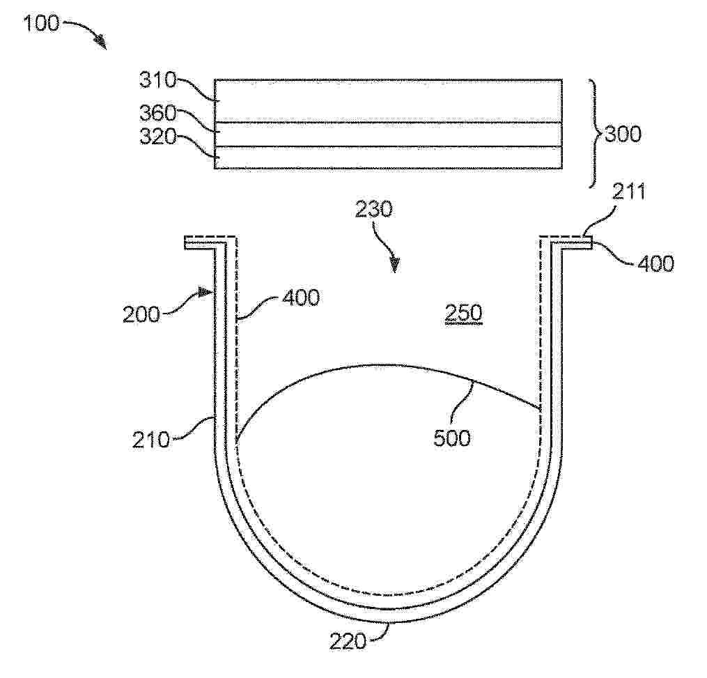
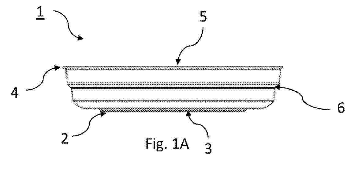
FORM-RETAINING PAD FOR PREPARING A BEVERAGE AND STIFFENING BODY FOR USE IN A FORM-RETAINING PAD

NºPublicación:  WO2025254511A1 11/12/2025
Solicitante: 
KONINKLIJKE DOUWE EGBERTS B V [NL]
KONINKLIJKE DOUWE EGBERTS B.V
WO_2025254511_PA

Resumen de: WO2025254511A1

A stiffening body (1) for use in a form-retaining pad (20) for preparing a beverage is disclosed. The stiffening body comprises a top side (4) having an open top area (5), a bottom side (2) having an open bottom area (3), and a circumferential wall (6) extending between the top side and the bottom side. The circumferential wall, top side and bottom side define a space (7) configured to contain at least a part of a soluble substance in use in the pad. The space is accessible through the open top area for receiving a bottom side and at least a lower part of a circumferential wall of a further similarly shaped and sized stiffening body so as to enable stacking of a multitude of similarly shaped and sized stiffening bodies. The stiffening body is molded one-piece from a pulp material.

NOVEL HPMC PHTHALATE SUCCINATE POLYMERS AND PROCESS FOR SYNTHESISING THEREOF

NºPublicación:  WO2025253203A1 11/12/2025
Solicitante: 
NAGELLA RAVEENDRA BABU [IN]
NAGELLA, Raveendra Babu
WO_2025253203_PA

Resumen de: WO2025253203A1

The present invention provides a novel hydroxypropyl methylcellulose (HPMC) phthalate succinate polymer(s) and a process to prepare the same. The said polymers have a good film forming properties, tensile strength and pH sensitive values thus finding wide applications in the pharmaceuticals industry.

METHOD FOR PREPARING ANTIBACTERIAL PBAT FOAMED MATERIAL

NºPublicación:  US2025374922A1 11/12/2025
Solicitante: 
FUJIAN KAIJI POLYMER MAT CO LTD [CN]
Fujian Kaiji Polymer Materials Co., Ltd
US_2025374922_A1

Resumen de: US2025374922A1

A method for preparing an antibacterial PBAT foamed material, including: Step A1-A3. Step A1: mixing 5,5-bis(hydroxymethyl)-2-phenyl-1,3-dioxane, sodium hydroxide, and DMF; stirring and adding 3-bromo-1-propene for reaction to obtain intermediate 1; mixing the intermediate 1 with a hydrochloric acid solution and DMF for reaction to obtain intermediate 2. Step A2: mixing the intermediate 2, 2-methacryloxyethyltrimethylammonium chloride, hexafluorobutyl methacrylate, and DMF; stirring and adding ammonium persulfate for reaction to obtain a modified monomer; mixing the modified monomer, terephthalic acid, adipic acid, 1,4-butanediol, tetrabutyl titanate, antimony trioxide, and N-methylpyrrolidone for reaction; raising temperature for reaction to obtain a modified copolymer. Step A3: melting and kneading the modified copolymer, a modified filler, and azodicarbonamide; foaming under a stabilized pressure; cooling to room temperature, soaking in a treatment solution under a stabilized temperature to obtain a resultant; taking out the resultant and drying to obtain the antibacterial PBAT foamed material.

WATER-SOLUBLE FILM AND PACKAGE

NºPublicación:  US2025376574A1 11/12/2025
Solicitante: 
MITSUBISHI CHEMICAL CORP [JP]
Mitsubishi Chemical Corporation
US_2025376574_A1

Resumen de: US2025376574A1

A water-soluble film having an excellent balance between fast solubility and mechanical properties as well as excellent sealability is provided as follows. A water-soluble film contains a polyvinyl alcohol resin (A) and a plasticizer (B). The plasticizer (B) is present in an amount of 30 parts by mass or less per 100 parts by mass of the polyvinyl alcohol resin (A). The plasticizer (B) contains a polyhydric alcohol (b1) with a melting point of 80° C. or higher. The polyhydric alcohol (b1) contains xylitol in an amount of 20% by mass or more.

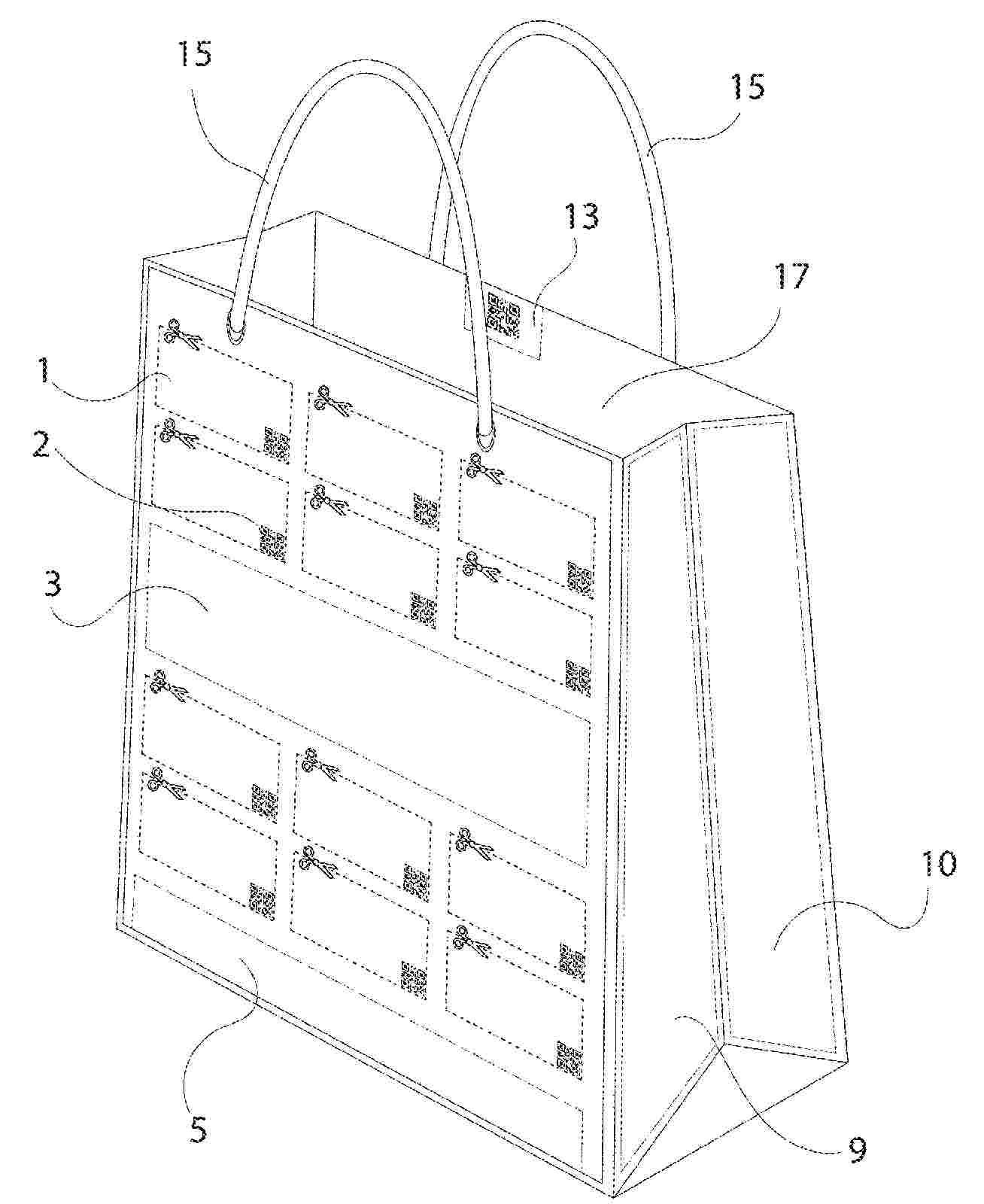
Eco-Friendly Bag with Integrated Marketing and Digital Coupon Redemption Platform

NºPublicación:  US2025376299A1 11/12/2025
Solicitante: 
MANN JAIPAL SINGH [CA]
Mann Jaipal Singh
US_2025376299_PA

Resumen de: US2025376299A1

The present invention relates to an eco-friendly bag that serves as a dual-purpose marketing platform, designed to address environmental concerns associated with paper waste and to provide a novel advertising space for brands. The bag is constructed from sustainable materials and features a main compartment with strong handles for secure transportation of food items. The exterior surface of the bag is utilized for displaying marketing content, including brand advertisements, promotions, and discount coupons. These coupons are uniquely designed with perforated lines for easy removal and are accompanied by instructions promoting recycling efforts. A distinctive feature of the bag is a scannable QR code that links to a mobile application, enabling digital redemption of the offers and providing analytics to brands on consumer engagement. This invention introduces a new segment within the marketing ecosystem, offering an alternative to traditional advertising channels, and contributes to the environment by recycling bags.

COAL BUNKER HAVING HIGH STABILITY

NºPublicación:  WO2025251515A1 11/12/2025
Solicitante: 
MANZHOULI DALAIHU THERMAL POWER CO LTD [CN]
\u6EE1\u6D32\u91CC\u8FBE\u8D49\u6E56\u70ED\u7535\u6709\u9650\u516C\u53F8
WO_2025251515_PA

Resumen de: WO2025251515A1

The present invention relates to the technical field of boilers in thermal power plants, in particular to a coal bunker having high stability. The coal bunker comprises: a bearing assembly, which comprises an outer cylinder and a first discharge port formed in an outer wall of the outer cylinder; and a bunker-dividing assembly, which comprises an inner cylinder rotationally arranged in the outer cylinder, two second discharge ports that are formed in and penetrate an outer wall of the inner cylinder and are symmetrically distributed, and a partition plate arranged in the inner cylinder and configured to divide an inner cavity of the inner cylinder into two coal storage cavities. The coal bunker provided in the present invention continues to use the design in the prior art in which a coal bunker is divided into two coal storage cavities by a partition plate; however, unlike the prior art, after coal on one side of the coal bunker is used up, the configured inner cylinder rotates under the impact of its own gravity, so that the whole coal bunker remains in a balanced state, thereby avoiding many disadvantages caused by structural unbalanced loading, and effectively solving the problems present in the prior art.

METHOD OF PRODUCING BIODEGRADABLE COMPOSITE MATERIAL FROM FUNGAL FIBRES, AND BIODEGRADABLE COMPOSITE MATERIAL PRODUCED THEREOF

NºPublicación:  WO2025253398A1 11/12/2025
Solicitante: 
ECSO GLOBAL PVT LTD [IN]
ECSO GLOBAL PVT. LTD
WO_2025253398_PA

Resumen de: WO2025253398A1

Described herein is a method of preparation of biodegradable composite material such as bio- composite leather from fungal fibres, preferably, mushroom fibres According to the invention, bio-composite leather is prepared by blending of fungal fibres, preferably, mushroom fibres extracted from mushroom fruiting bodies and a biodegradable polymer. The present invention also relates to the biodegradable composite material produced from fungal fibres preferably mushroom fibres or mushroom fruiting body fibres.

BIODEGRADABLE POLYESTER RESIN COMPOSITION, BIODEGRADABLE POLYESTER FILM COMPRISING SAME, AND BIODEGRADABLE POLYESTER MOLDED ARTICLE COMPRISING SAME

NºPublicación:  EP4660245A1 10/12/2025
Solicitante: 
SK LEAVEO CO LTD [KR]
SK leaveo Co., Ltd
EP_4660245_PA

Resumen de: EP4660245A1

An embodiment provides a biodegradable polyester resin composition comprising: a polyester resin comprising a diol, an aromatic dicarboxylic acid, and an aliphatic dicarboxylic acid; and a fiber-based reinforcing material, wherein a first turbidity change rate of the fiber-based reinforcing material is less than 15%, thereby achieving improved physical properties.

METHODS

NºPublicación:  EP4658499A1 10/12/2025
Solicitante: 
NOTPLA LTD [GB]
Notpla Limited
AU_2024215069_PA

Resumen de: AU2024215069A1

The present invention relates to a method of manufacturing a pellet or film, wherein the pellet or film comprises cutin, and uses thereof in order to replace single-use plastics.

Method for preparing antibacterial PBAT foamed material

NºPublicación:  GB2641594A 10/12/2025
Solicitante: 
FUJIAN KAIJI POLYMER MAT CO LTD [CN]
Fujian Kaiji Polymer Materials Co., Ltd
GB_2641594_A

Resumen de: GB2641594A

A multistep synthesis of an antimicrobial polybutylene adipate terephthalate (PBAT) material comprising synthesising a monomer, co-polymerisation, mixing with a filler and foaming the co-polymer. The monomer is synthesised by performing a Williamson ether synthesis with 5,5-bis(hydroxymethyl)-2-phenyl-1,3-dioxane and 3-bromo-1-propene followed by hydrolysis of the acetal forming intermediate 2. Intermediate 2 is mixed with 2-methacryloxyethyltrimethylammonium chloride, hexafluorobutyl methacrylate and ammonium persulfate to form a modified monomer. The modified monomer is copolymerised with terephthalic acid, adipic acid, 1,4-butanediol and N-methylpyrrolidone forming a modified co-polymer. The co-polymer is then melted and kneaded with a modified filler and azodicarbonamide under a stable pressure to from a foamed antimicrobial PBAT material. The modified filler is formed by the reaction of p-bromobenzaldehyde, 1,10-phenanthroline-5,6-dione, ammonium acetate, and acetic acid to produce intermediate 3, which is reacted with triisopropyl borate and n-butyllithium to obtain a modifier. The modifier is then reacted with 1-ethyl-3-(3-dimethylaminopropyl)carbodiimide treated chitosan to obtain the modified filler.

BIODEGRADABLE NONWOVEN FABRIC AND USE OF SAME

NºPublicación:  EP4660362A1 10/12/2025
Solicitante: 
MITSUI CHEMICALS ASAHI LIFE MAT CO LTD [JP]
Mitsui Chemicals Asahi Life Materials Co., Ltd
EP_4660362_A1

Resumen de: EP4660362A1

Provided is a biodegradable nonwoven fabric that is biodegradable and is extremely excellent in elasticity. This biodegradable nonwoven fabric is configured from fibers including a biodegradable thermoplastic resin, and is characterized in that a SS curve obtained by stretching in a 30°C environment does not have a yield point in the displacement 0-40 mm interval.

BIODEGRADABLE COMPOUNDS, METHOD OF PREPARATION AND USE THEREOF

NºPublicación:  EP4658703A1 10/12/2025
Solicitante: 
COUNCIL OF SCIENT AND INDUSTRIAL RESEARCH AN INDIAN REGISTERED BODY INCORPORATED UNDER REGN OF SOC A [IN]
Council of Scientific and Industrial Research, an Indian Registered Body Incorporated under Regn. of Soc. Act (Act XXI of 1860)
WO_2024161416_A1

Resumen de: WO2024161416A1

The present invention relates to a caprolactone based biodegradable compound(s) of formula (I) comprising photo-cleavable groups, photo-sensitive groups or combination thereof. The present invention also relates to a method of preparing the caprolactone based biodegradable compound(s) of formula (I). In addition, the present invention relates the caprolactone biodegradable compound(s) of formula (I) useful in the pharmaceutical field in controlled release systems, drug delivery system/carrier, bioimaging, implants, etc.

Natural chewing gum with nicotine and manufacturing method

NºPublicación:  GB2641602A 10/12/2025
Solicitante: 
VONT AB [SE]
Vont AB
GB_2641602_PA

Resumen de: GB2641602A

The invention pertains to a natural chewing gum with nicotine (20) comprising a natural gum base (30) and active substance nicotine (34, 36, 38). The natural gum base (30) includes components or ingredients such as a gum base made of chicle with gum arabic or acacia, heat mixed with nicotine (34, 36, 38) in specific quantities. The chewing gum (20) is designed to administer nicotine during buccal use (70) up to 30 minutes while quickly releasing nicotine substance the first 5 minutes. The gum base (30) is covered with a glazing layer (40) with flavors (42) such as mint, strawberry, and taste enhancers with natural ingredients (44) such as xylitol, stevia, glycerin; beet powder, or spirulina, or a combination. A method for manufacturing the natural chewing gum (20) is disclosed, involving manufacturing of the gum base (100), addition of nicotine (200), manufacturing of the glazing mix (300), a glazing process (400), before packaging (500).

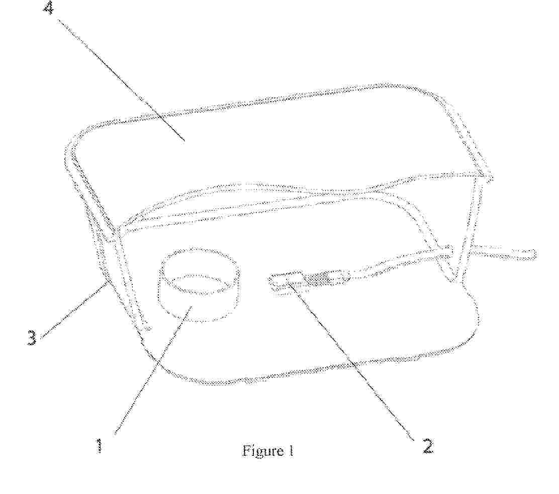
EMBALLAGE JETABLE REFERMABLE, ARTICLE JETABLE, CONTENANT INTERMEDIAIRE, ET PROCEDES DE FABRICATION AFFERENTS

NºPublicación:  FR3162735A1 05/12/2025
Solicitante: 
ETS BUGNON [FR]
ETS BUGNON
FR_3162735_PA

Resumen de: FR3162735A1

- Emballage jetable refermable, article jetable, contenant intermédiaire, et procédés de fabrication afférents - L’invention concerne un emballage jetable refermable (1) manipulable à la main, comprenant une jupe souple (3) présentant une forme allongée s’élevant verticalement entre un premier et un deuxième bord (4, 5) aplati sur, et attaché à, lui-même, pour former une arête fermée, où ladite jupe (3) présente une section transversale dont l’aire interne est strictement constante ou décroissante du premier (4) jusqu’au deuxième bord (5), et l’emballage (1) comprend une paroi de fermeture (6), laquelle est solidaire de ladite jupe (3) au niveau dudit premier bord (4), est pourvue d’une ouverture, et embarque un organe de fermeture (8) réversible de celle-ci, ladite paroi (6) étant déformable pour évoluer entre : une configuration rétractée, où ladite paroi (6) est rétractée dans ladite jupe (3), positionnant ledit organe dans ladite jupe, l’emballage (1) pouvant reposer de façon stable à la verticale sur une surface plane (9),et une configuration déployée, où ladite paroi (6) fait saillie hors de ladite jupe (3), positionnant ledit organe (8) hors de ladite jupe (3). - Emballages jetables refermables et leur fabrication - Figure pour l’abrégé : Fig. 1.

POLYVINYLALKOHOLHARZ, WASSERLÖSLICHE FOLIE, EXTRUSIONSGEFORMTER GEGENSTAND, FILAMENT, VLIESSTOFF, BEHÄLTER, VERFAHREN ZUR HERSTELLUNG EINER WASSERLÖSLICHEN FOLIE UND WÄSSRIGE LÖSUNG

NºPublicación:  DE112024000494T5 04/12/2025
Solicitante: 
KURARAY CO [JP]
KURARAY CO., LTD
CN_120615100_PA

Resumen de: DE112024000494T5

Bereitgestellt werden ein Polyvinylalkoholharz, das den Erhalt einer wasserlöslichen Folie mit günstiger Kaltwasserlöslichkeit und mechanischer Festigkeit ermöglicht, eine günstige Bioabbaubarkeit aufweist und eine überlegene Filtrierbarkeit im Zustand einer wässrigen Lösung aufweist; eine wasserlösliche Folie, ein extrudiertes Produkt, ein Filament, ein Vliesstoff und ein Behälter, die jeweils ein derartiges Polyvinylalkoholharz enthalten; ein Verfahren zur Herstellung einer wasserlöslichen Folie und eine wässrige Lösung. Das Polyvinylalkoholharz enthält als Hauptkomponente einen modifizierten Polyvinylalkohol mit einer durch die folgende Formel (1) wiedergegebenen Einheit, wobei das Verhältnis (N1/N2) der Zahl (N1) von 1 µm großen Teilchen zur Zahl (N2) von 2 µm großen Teilchen in 1 ml einer 2 massen-%igen wässrigen Lösung des Polyvinylalkoholharzes 0,1 oder mehr und 50 oder weniger beträgt. In der Formel (1) steht R für eine Einfachbindung oder eine zweiwertige organische Gruppe und M für ein Wasserstoffatom, ein Metallatom oder eine Ammoniumgruppe.

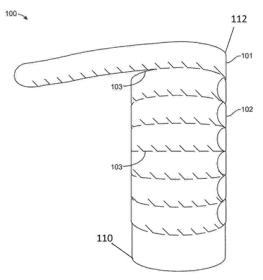
FOOD OR BEVERAGE COLLAPSIBLE CONTAINER

NºPublicación:  AU2024304509A1 04/12/2025
Solicitante: 
ATKINS MITALI PAMELA
ATKINS, Mitali Pamela
AU_2024304509_PA

Resumen de: AU2024304509A1

The present invention relates to a collapsible, disposable food or beverage container (2). The container comprises a housing (4) comprising: a first end 6 comprising a top portion (8) defining an outlet (10); an opposed second end (12) comprising a base portion (14); and side portions (16a), b extending between the first and second ends. A cavity for receiving a food or beverage is defined between the first end, second end and side portions of the housing, and in which the cavity is in fluid communication with the outlet. A longitudinal axis is defined between the first and second ends of the housing. The container is moveable in a direction between: a first collapsed configuration in which an end or side portion is located at or adjacent a respective opposed end or opposed side portion; and a second expanded configuration in which the end or side portion is spaced apart from the respective opposed end or opposed side portion of the housing to provide the cavity. The housing is formed entirely from paper material, and in which the entire container is home compostable and/ or biodegradable.

POLYESTER COMPOSITION

NºPublicación:  WO2025249456A1 04/12/2025
Solicitante: 
TORAY IND INC [JP]
\u6771\u30EC\u682A\u5F0F\u4F1A\u793E
WO_2025249456_A1

Resumen de: WO2025249456A1

The purpose of the present invention is to provide a polyester composition which has hydrolysis resistance and retains high restorability as a single polyester. The present invention provides a polyester composition which contains a polyester copolymer and a carbodiimide compound, has a restoration rate of 10-100%, and contains 0.3-20.0 parts by weight of the carbodiimide compound per 100 parts by weight of the polyester copolymer.

PHA-RICH COMPOSTABLE FILM WITH IMPROVED OPTICAL PROPERTIES

NºPublicación:  WO2025250854A1 04/12/2025
Solicitante: 
TORAY PLASTICS AMERICA INC [US]
TORAY PLASTICS (AMERICA), INC
WO_2025250854_A1

Resumen de: WO2025250854A1

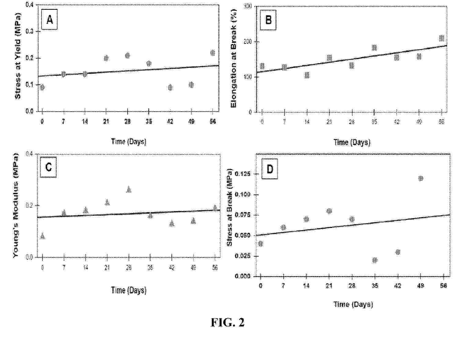
A biaxially oriented PHA-rich composite film comprises a PHA-rich core layer and a first outer skin layer and a second outer skin layer. The core layer comprises a PHA resin at an amount of more than 50 wt % of a total weight of the polymeric resin in the core layer and a modifier X, the modifier X includes PLA resins and PLA copolymers; the first outer skin layer comprises a PLA resin at an amount less than 50 wt % of the total weight of the outer layer and a polymer blend Y comprising PHA, PBSA and PCL resins. The PHA-rich composite film shows improved optical properties, high elongation force, high tensile strengths and Young's modulus.

PHA-RICH COMPOSTABLE FILM WITH IMPROVED OPTICAL PROPERTIES

Nº publicación: US2025367913A1 04/12/2025

Solicitante:

TORAY PLASTICS AMERICA INC [US]
TORAY PLASTICS (AMERICA), INC

WO_2025250854_A1

Resumen de: US2025367913A1

A biaxially oriented PHA-rich composite film comprises a PHA-rich core layer and a first outer skin layer and a second outer skin layer. The core layer comprises a PHA resin at an amount of more than 50 wt % of a total weight of the polymeric resin in the core layer and a modifier X, the modifier X includes PLA resins and PLA copolymers; the first outer skin layer comprises a PLA resin at an amount less than 50 wt % of the total weight of the outer layer and a polymer blend Y comprising PHA, PBSA and PCL resins. The PHA-rich composite film shows improved optical properties, high elongation force, high tensile strengths and Young's modulus.

traducir