Ministerio de Industria, Turismo y Comercio LogoMinisterior
 

Alerta

Resultados 233 resultados
LastUpdate Última actualización 04/02/2026 [06:59:00]
pdfxls
Solicitudes publicadas en los últimos 15 días / Applications published in the last 15 days
previousPage Resultados 75 a 100 de 233 nextPage  

NANO-DRUG DELIVERY SYSTEM THAT TARGETS CANCER CELLS IN HYPOXIC REGION OF TUMOR MICROENVIRONMENT AND METHOD FOR PREPARING SAME

NºPublicación:  WO2026024146A1 29/01/2026
Solicitante: 
SEOUL NATIONAL UNIV R&DB FOUNDATION [KR]
\uC11C\uC6B8\uB300\uD559\uAD50\uC0B0\uD559\uD611\uB825\uB2E8
WO_2026024146_PA

Resumen de: WO2026024146A1

The present invention relates to a nano-drug delivery system that targets cancer cells in the hypoxic region of tumor microenvironment and a method for preparing same. The novel nano-drug delivery system according to the present invention can capture an extracellular matrix-degrading enzyme and encapsulate an anticancer drug by binding SO3-PEG-amine as a bifunctional ligand to manganese dioxide nanoparticles, thereby significantly improving drug permeability. In addition, through such high drug permeability, cancer cells in the hypoxic region of tumor microenvironment can be effectively killed.

A NANOPARTICULAR DRUG DELIVERY SYSTEM WITH MUCOADHESION PROPERTIES AND THE SYNTHESIS METHOD THEREOF

NºPublicación:  WO2026024242A1 29/01/2026
Solicitante: 
ISTANBUL UNIV CERRAHPASA REKTORLUGU [TR]
ALANYA ALAADDIN KEYKUBAT UNIV [TR]
ISTANBUL UNIVERSITESI - CERRAHPASA REKTORLUGU,
ALANYA ALAADDIN KEYKUBAT UNIVERSITESI
WO_2026024242_A1

Resumen de: WO2026024242A1

The invention relates to a nanoparticle for use as a drug carrier and the synthesis method of this nanoparticle. In the invention, magnesium/aluminium (Mg/AI) mucoadhesive thiolated layered double hydroxide (nLDHT) nanoparticles are thiolated with L-cysteine and/or thioglycolic acid and/or 2-iminothiolane hydrochloride and/or glutathione and/or N-acetyl cysteine and/or 3-mercaptopropionic acid and/or 6- mercaptohexanoic acid. Thus, nLDHT interacts with the mucin on the surface of the targeted mucosal tissue for a longer period of time and acts with fewer side effects in the target tissues.

高プロカルシトニン血症(hyperprocalcitonemia)を処置するための組成物及び方法

NºPublicación:  JP2026503814A 29/01/2026
Solicitante: 
ヴィヴァセルビオ,インコーポレイテッド
JP_2026503814_A

Resumen de: CN120787150A

Disclosed is a composition for the treatment of hypercalcitonemia, the composition comprising a lipophilic or hydrophobic component, an amphiphilic emulsifier, a polar liquid carrier, and comprising or without one or more electrolytes wherein the amphiphilic emulsifier forms: a micelle in a polar liquid carrier, the micelle is provided with a lipophilic or hydrophobic core containing a lipophilic or hydrophobic component; and/or self-assembling to form lipidosome with a lipid bilayer structure; and/or other particle configurations.

リピドイド化合物ならびに関連する組成物および使用

NºPublicación:  JP2026503551A 29/01/2026
Solicitante: 
ポセイダセラピューティクス,インコーポレイティド
JP_2026503551_A

Resumen de: CN120603809A

Disclosed are: a composition comprising a lipid-like compound; methods of making such compositions; and the use of these compositions in gene delivery applications.

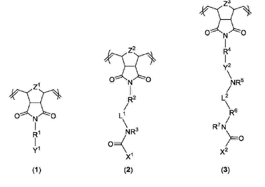
BIOACTIVE SYNTHETIC POLYMERIC NANOPARTICLES, RELATED COMPOSITION, POLYMERS, MACROMOLECULES AND METHODS THEREOF

NºPublicación:  WO2026024218A1 29/01/2026
Solicitante: 
AGENCY FOR SCIENCE TECH AND RESEARCH [SG]
AGENCY FOR SCIENCE, TECHNOLOGY AND RESEARCH
WO_2026024218_PA

Resumen de: WO2026024218A1

There is provided a polymeric nanoparticle comprising: a hydrophobic synthetic polymer core; and a hydrophilic bioactive shell, wherein the hydrophobic synthetic polymer core and hydrophilic bioactive shell are parts of a bioactive synthetic polymer with a poly(norbornene-dicarboximide) backbone having one or more repeating units selected from the group consisting of general formula (1), (2) and (3). Also provided are a composition comprising bioactive synthetic polymeric nanoparticles, bioactive synthetic polymers, macromolecules for preparing said bioactive synthetic polymers, related methods and uses.

PARTICLE FOR DELIVERING DRUG TO HEART AND/OR DIAPHRAGM AND PHARMACEUTICAL COMPOSITION

NºPublicación:  WO2026023606A1 29/01/2026
Solicitante: 
THE UNIV OF TOKYO [JP]
\u56FD\u7ACB\u5927\u5B66\u6CD5\u4EBA\u3000\u6771\u4EAC\u5927\u5B66
WO_2026023606_PA

Resumen de: WO2026023606A1

The main purpose of the present invention is to develop a drug delivery system capable of suitably delivering a drug to the heart and/or the diaphragm. The present invention provides: particles for delivering a drug to the heart and/or the diaphragm, the particles having a boronic acid group as a target directional site; and a pharmaceutical composition or the like comprising said particles for delivering a drug.

EXTRACELLULAR VESICLES AND USES THEREOF FOR TARGETED DELIVERY

NºPublicación:  WO2026022863A1 29/01/2026
Solicitante: 
CHRISTIAN MEDICAL COLLEGE [IN]
INST FOR STEM CELL SCIENCE AND REGENERATIVE MEDICINE [IN]
CHRISTIAN MEDICAL COLLEGE,
INSTITUTE FOR STEM CELL SCIENCE AND REGENERATIVE MEDICINE
WO_2026022863_PA

Resumen de: WO2026022863A1

The present invention discloses extracellular vesicles or EVs designed for targeted delivery of bio- therapeutics and gene editing tools, to the cells and tissues. These engineered EVs comprise novel synthetic signal sequences, which facilitate efficient cargo loading. The EVs further comprise specific targeting moieties to locate and attach to target or recipient cells, components to evade immune system detection and potential rejection, inhibit phagocytosis by immune cells, minimize immunogenicity and reduce the likelihood of immune recognition as foreign entities.

COMPOSITION AND METHODS FOR A MATRIX FILLER

NºPublicación:  WO2026022651A1 29/01/2026
Solicitante: 
INSOMA BIO INC [US]
ROBERTS STEFAN D [US]
CHILKOTI ASHUTOSH [US]
MILLER BEVERLY [US]
BUDZISZEWSKI EMILY G [US]
INSOMA BIO, INC,
ROBERTS, Stefan D,
CHILKOTI, Ashutosh,
MILLER, Beverly,
BUDZISZEWSKI, Emily G
WO_2026022651_PA

Resumen de: WO2026022651A1

The current invention involves a method of mixing POP with a polysaccharide to obtain an improved injectable tissue matrix. POP is a partially ordered polypeptide and a polysaccharide, in this instance, comprises at least one glycosaminoglycan. The invention involves mixing these compounds in an injectable tissue matrix to increase volume retention, vascularization, and remodeling immune response, all of which are characteristics that would be useful for an injectable dermal filler, and in plastic and reconstructive procedures.

LYOPHILIZED NOMEGESTROL FORMULATION

NºPublicación:  WO2026022658A1 29/01/2026
Solicitante: 
APSHINGEKAR PRAFULLA [GB]
TRIPATHI SURABHI [IN]
MALGE PRANJALI SANTOSH [US]
VERMA MANISHA [IN]
APSHINGEKAR, Prafulla,
TRIPATHI, surabhi,
MALGE, Pranjali Santosh,
VERMA, Manisha
WO_2026022658_PA

Resumen de: WO2026022658A1

The invention pertains to pharmaceutical formulations, particularly sustained-release nanoparticle injections of nomegestrol acetate. These formulations are designed as lyophilized powder, enhancing the solubility, bioavailability, and therapeutic efficacy of nomegestrol acetate for medical applications. These pharmaceutical formulations are intended for diseases responsive to nomegestrol treatment, such as hormone replacement therapy. The lyophilized powder formulation is easily reconstituted and administered, improving overall patient experience and treatment outcomes

TECHNIQUES FOR MAGNETIC NANOCLUSTER-BASED COMBINATION THERAPY

NºPublicación:  US20260027380A1 29/01/2026
Solicitante: 
WILLIAM MARSH RICE UNIV [US]
William Marsh Rice University
US_20260027380_PA

Resumen de: US20260027380A1

The present disclosure relates to treating tumor tissue using magneto-immunotherapy (Mag-IT) techniques. For example, a method may include administering a magnetotherapy treatment to tumor tissue of a subject and administering an immune checkpoint blockade (ICB) treatment to the subject. The magnetotherapy treatment may include positioning a nanoplatform adjacent to or in contact with the tumor tissue and applying a magnetic field to the nanoplatform.

METHODS OF MAKING AND USING NANOPARTICLES FOR TREATMENT OF BACTERIAL BIOFILM

NºPublicación:  US20260027064A1 29/01/2026
Solicitante: 
BROWN UNIV [US]
Brown University
US_20260027064_PA

Resumen de: US20260027064A1

A method of making and using nanoparticles that inhibit formation of bacterial biofilm are provided.

LIVER/ADIPOSE TISSUE DUAL-TARGETING COMPOSITE NANO-DRUG CARRIER

NºPublicación:  US20260027065A1 29/01/2026
Solicitante: 
IUCF HYU INDUSTRY UNIV COOPERATION FOUNDATION HANYANG UNIV [KR]
IUCF-HYU (INDUSTRY-UNIVERSITY COOPERATION FOUNDATION HANYANG UNIVERSITY),
IUCF-HYU(INDUSTRY-UNIVERSITY COOPERATION FOUNDATION HANYANG UNIVERSITY)
US_20260027065_PA

Resumen de: US20260027065A1

The present invention relates to: a liver/adipose tissue dual-targeting composite nano-drug carrier comprising drug-containing poly(L-lactide-co-glycolide) (PLGA) nanoparticles and an adipocyte targeting sequence (ATS) peptide that can target prohibitin; a method for preparing same; and uses thereof for medicines and health foods for preventing or treating obesity or obesity-induced metabolic diseases.

NANOSCALE MATRIMERES

NºPublicación:  US20260027066A1 29/01/2026
Solicitante: 
THE BOARD OF TRUSTEES OF THE UNIV OF ILLINOIS [US]
THE BOARD OF TRUSTEES OF THE UNIVERSITY OF ILLINOIS
US_20260027066_PA

Resumen de: US20260027066A1

Disclosed are isolated nanoparticles composed of an extracellular matrix which comprises at least one heparin binding domain and nucleic acid or polyphosphate, as well as compositions comprising the nanoparticles and methods of treating tissue Injury.

PROCESS FOR MAKING BEVERAGE COMPOSITIONS CONTAINING CRYOGENICALLY PRODUCED CANNABINOID NANOPARTICLES AND COMPOSITIONS MADE THEREBY

NºPublicación:  US20260027134A1 29/01/2026
Solicitante: 
TREMBLAY MARIO [US]
TREMBLAY MARIO
US_20260027134_PA

Resumen de: US20260027134A1

The invention relates generally to beverage compositions comprising cryogenically produced cannabinoid nanoparticles using cannabinoids made from hemp, and processes for making the same.

COMPOSITIONS AND METHODS FOR DELIVERY OF NUCLEIC ACID THERAPEUTICS

NºPublicación:  AU2024322931A1 29/01/2026
Solicitante: 
THE BOARD OF TRUSTEES OF THE LELAND STANFORD JUNIOR UNIV
THE BOARD OF TRUSTEES OF THE LELAND STANFORD JUNIOR UNIVERSITY
AU_2024322931_PA

Resumen de: AU2024322931A1

Compositions and methods for delivery of nucleic acid therapeutics are disclosed herein. In some embodiments, a composition for treating a subject includes a dynamic hydrogel, and a nucleic acid therapeutic encapsulated by the dynamic hydrogel. The dynamic hydrogel can include a polymer and a plurality of nanoparticles. The polymer can be non-covalently crosslinked with the plurality of nanoparticles.

NUCLEIC ACID LIPID NANOCARRIER, PREPARATION METHOD THEREFOR, AND USE THEREOF

NºPublicación:  WO2026021576A1 29/01/2026
Solicitante: 
SHENZHEN RHEGEN BIOTECHNOLOGY CO LTD [CN]
WUHAN RHEGEN BIOTECHNOLOGY CO LTD [CN]
\u6DF1\u5733\u745E\u5409\u751F\u7269\u79D1\u6280\u6709\u9650\u516C\u53F8,
\u6B66\u6C49\u745E\u4F76\u751F\u7269\u79D1\u6280\u6709\u9650\u516C\u53F8
WO_2026021576_A1

Resumen de: WO2026021576A1

A nucleic acid lipid nanocarrier, a preparation method therefor, and use thereof. First, provided is a nanocarrier composition for a nucleic acid drug. On the basis that the total molar amount of lipids in the composition is 100%, the composition comprises the following lipid components: greater than or equal to 40% and less than or equal to 50% of ionizable lipid; greater than or equal to 0.5% and less than or equal to 3.0% of PEG-modified lipid; greater than or equal to 30% and less than or equal to 44.5% of steroid; and greater than 15% and less than 22% of helper phospholipid. Also provided are use of the composition in the preparation of a nucleic acid drug nanocarrier and the prepared nucleic acid-loaded drug. The nucleic acid drug nanocarrier can target a treatment site, and the non-liver-targeting lipid nanocarrier has low liver metastasis.

MULTIFUNCTIONAL DNA NANOSPHERE, PREPARATION METHOD THEREFOR, AND USE THEREOF

NºPublicación:  WO2026021204A1 29/01/2026
Solicitante: 
AFFILIATED HOSPITAL OF NANTONG UNIV [CN]
\u5357\u901A\u5927\u5B66\u9644\u5C5E\u533B\u9662
WO_2026021204_PA

Resumen de: WO2026021204A1

A multifunctional DNA nanosphere, a preparation method therefor, and use thereof. An acid-responsive i-motif sequence, an EGFRvIII aptamer A32 sequence, and an MRI contrast agent Gd-DOTA-N3 are combined to design the DNA nanosphere to achieve MRI enhancement/fluorescence integrated dual development of glioma, so as to obtain a glioma tumor development signal that can meet clinical requirements. Meanwhile, the acid-responsive i-motif sequence, the EGFRvIII aptamer A32 sequence, the MRI contrast agent Gd-DOTA-N3, and a chemotherapeutic drug doxorubicin (DOX) are combined, Gd-DOTA-N3 and Cy5-BHQ fluorescent pairs are modified on specific bases, and using the principle of DNA complementary base pairing, novel multifunctional DNA nanospheres for glioma fluorescence/MRI imaging and treatment are prepared.

USE OF HYALURONIC ACID IN IMPROVING PERFORMANCE OF POLYSACCHARIDE-POLYPEPTIDE COMPOSITE HYDROGEL

NºPublicación:  WO2026020697A1 29/01/2026
Solicitante: 
GUANGDONG OCEAN UNIV [CN]
\u5E7F\u4E1C\u6D77\u6D0B\u5927\u5B66
WO_2026020697_PA

Resumen de: WO2026020697A1

The present invention pertains to the technical field of novel biomaterials. Disclosed is use of hyaluronic acid in improving the performance of a polysaccharide-polypeptide composite hydrogel. The present invention, on the basis of the self-assembly characteristics of polypeptides, prepares polysaccharide-polypeptide composite hydrogels with hyaluronic acid (HA) at different concentrations. It has been verified that compared to a single polypeptide hydrogel free of HA, HA reduces the mechanical properties of the composite gels, but can still slow the degradation of the composite hydrogels and improve the stability thereof. HA can also improve the ability of the composite hydrogels to load quercetin and hesperidin, playing a role in slowing the in vitro release of the two, which is conducive to the sustained release of active substances. Moreover, the addition of HA does not affect the secondary structures and micro-nano structures of the composite hydrogels, and can also improve the strength of non-covalent interactions between molecules, improving the stability of the composite hydrogels. The present invention explores the effect of HA on the performance of the composite hydrogels and provides a theoretical basis for the research of hydrophobic drug delivery carriers.

AMPHIPHILIC BLOCK COPOLYMER, STEREOCOMPLEX, AND PREPARATION METHOD THEREFOR AND USE THEREOF

NºPublicación:  WO2026020280A1 29/01/2026
Solicitante: 
HANGZHOU SHIXI PHARMACEUTICAL TECH CO LTD [CN]
\u676D\u5DDE\u77F3\u6EAA\u533B\u836F\u79D1\u6280\u6709\u9650\u516C\u53F8
WO_2026020280_PA

Resumen de: WO2026020280A1

The present disclosure belongs to the technical field of block copolymers, and specifically relates to an amphiphilic block copolymer, a stereocomplex, and a preparation method therefor and the use thereof. The amphiphilic block copolymer contains a polyester block and a water-soluble polymer block. By forming a monomer of the polyester block and introducing a second monomer having stereoregularity on the premise that raw materials, such as D- and L-lactide, are used as a first monomer, the stability of the amphiphilic block copolymer can be improved; in addition, the water solubility or self-dispersibility thereof are still maintained, micelles or nanoparticles are formed, and high drug loading capacity is maintained.

STABILIZED NUCLEIC ACID COMPOSITIONS AND METHODS FOR PREPARING, STORING AND USING THE SAME

NºPublicación:  EP4683642A1 28/01/2026
Solicitante: 
BIONTECH SE [DE]
BioNTech SE
CN_120981238_A

Resumen de: CN120981238A

The present disclosure relates generally to the field of stable compositions comprising particles dispersed in an aqueous phase comprising a buffer system and having a pH of about 4.0 to 5.5, methods for preparing and storing such compositions, and use of such compositions in therapy, and wherein the particle comprises (i) a nucleic acid (e.g., DNA or RNA, in particular mRNA or inhibitory RNA, e.g., siRNA); and (ii) a cationic lipid or a lipid that can ionize cations.

AMINO LIPID, AND LIPID NANOPARTICLES AND USE THEREOF

NºPublicación:  EP4685136A1 28/01/2026
Solicitante: 
SHENZHEN MAGICRNA BIOTECHNOLOGY CO LTD [CN]
Shenzhen MagicRNA Biotechnology Co., Ltd
EP_4685136_A1

Resumen de: EP4685136A1

The present invention provides an amino lipid, and lipid nanoparticles (LNPs) and a use thereof, the amino lipid having a structure represented by general formula (I), or an isomer, pharmaceutically acceptable salt, prodrug or solvate of the amino lipid. The present invention further provides LNPs containing the amino lipid. According to the present invention, the amino lipid having a structure represented by general formula (I) is used as an ionizable lipid compound, and the LNPs are obtained by means of self-assembly of the ionizable lipid compound, a steroid, a neutral lipid, and a polymer-bonded lipid. The LNPs can further improve the translation expression level of a nucleic acid load in cells, improve the effect of a nucleic acid-LNP preparation, and enable the nucleic acid-LNP preparation to provide a theoretical basis for personalized treatment.

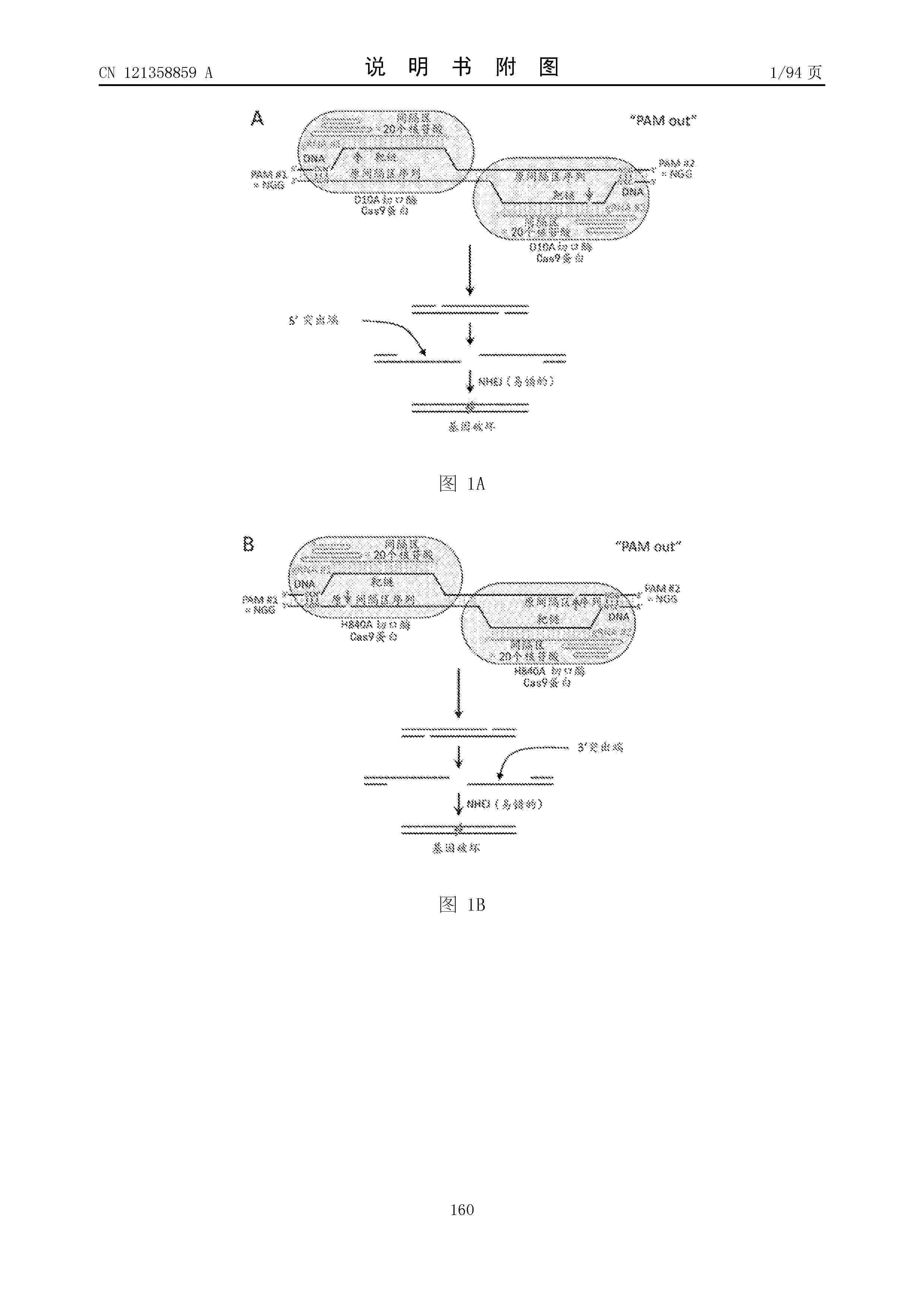
IN VIVO NICKASE-BASED EDITING OF THE LPA GENE FOR TREATMENT OF CARDIOVASCULAR DISEASE

NºPublicación:  EP4684017A2 28/01/2026
Solicitante: 
VERVE THERAPEUTICS INC [US]
Verve Therapeutics, Inc
CN_121358859_A

Resumen de: WO2024197065A2

Provided herein are gene editing systems and compositions directed to effectuate in vivo edits in the LPA gene. Treatment or prevention of cardiovascular disease through disruption of the production of apo(a) through genetic editing and the reduction of the blood lipoprotein(a) Lp(a) concentration is disclosed herein. Disclosed are nickase-based gene editing systems designed to effectuate the installation of insertions and/or deletions (indel variants) and/or non-synonymous variants in the coding sequence of LPA. The nickase-based gene editing systems generally comprise one or more mRNAs that encode one or more nickases and a plurality of guide oligonucleotides (e.g., gRNAs) and may be delivered in vivo to a mammalian subject in need thereof via a suitable delivery system, such as lipid nanoparticles (LNPs) (with or without GalNAc targeting moieties) intravenously, or otherwise, administered to a patient as potentially a once-and-done therapeutic. The manufacturing, use, and formulation of the gene editing systems and compositions are also disclosed.

DNA NANODEVICES FOR SPECIFIC AND EFFICIENT DELIVERY OF FUNCTIONAL PAYLOADS TO THE CYTOPLASM AND METHODS OF THEIR USE

NºPublicación:  EP4683716A1 28/01/2026
Solicitante: 
UNIV ARIZONA STATE [US]
Arizona Board of Regents on behalf of Arizona State University
WO_2024196422_PA

Resumen de: WO2024196422A1

A novel nanostructured nucleic acid platform that uniquely integrates the advantages of a disulfide moiety for the enhanced cytosolic uptake of a DNA or RNA nanostructure ("DNA origami") which can further comprise a therapeutic agent and a targeting moiety is described herein. The targeting moiety can be an affibody, in particular, a Her2 affibody. The disulfide moiety can be formed from a sulfide-modified oligonucleotide designed to target enhanced cystolic uptake.

LIPID COMPOUNDS, LIPID NANOPARTICLES, AND PHARMACEUTICAL COMPOSITIONS

NºPublicación:  EP4683906A1 28/01/2026
Solicitante: 
SHANGHAI CIRCODE BIOMED CO LTD [CN]
Shanghai Circode Biomed Co., Ltd
CN_120659770_PA

Resumen de: CN120659770A

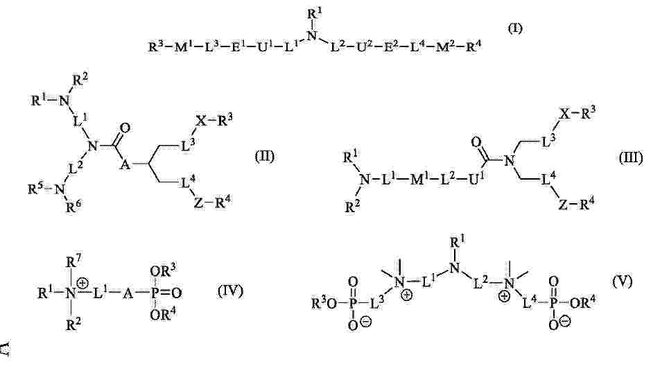
Provided herein are lipid compounds, such as compounds of Formula (I), Formula (II), Formula (III), Formula (IV), or Formula (V). Also provided are lipid nanoparticles and pharmaceutical compositions, each comprising a lipid compound, such as a compound of Formula (I), Formula (II), Formula (III), Formula (IV), or Formula (V). # imgabs0 #

薬物を送達するための化合物、リポソーム及び薬物担体

Nº publicación: JP2026503201A 28/01/2026

Solicitante:

ウェストジーンバイオファーマシーオーエルティディ

JP_2026503201_PA

Resumen de: US2025134813A1

The present invention provides a compound, which is a compound represented by formula (I) or a stereoisomer, tautomer, solvate, or pharmaceutically acceptable salt thereof represented by formula (I):X1, X2, and X3 are each independently a C1-C15 alkyl group optionally substituted; R1 and R2 are each independently a C1-C40 alkyl group optionally substituted, a C1-C40 heteroalkyl group optionally substituted, a C2-C40 alkenyl group optionally substituted, a C2-C40 heteroalkenyl group optionally substituted, a C2-C40 alkynyl group optionally substituted, or a C2-C40 heteroalkynyl group optionally substituted; R3, R4, R5, and R6 are each independently H, halogen, or a C1-C3 alkyl group optionally substituted; the substituent group is independently selected from halogen, —OH, —SH, —NH2, —NO2, cyano, or C1-C3 alkyl. This compound has the advantages of low cytotoxicity, strong delivery capability, and good immunostimulatory effect.

traducir