Ministerio de Industria, Turismo y Comercio LogoMinisterior
 

Alerta

Resultados 194 resultados
LastUpdate Última actualización 10/12/2025 [06:50:00]
pdfxls
Solicitudes publicadas en los últimos 15 días / Applications published in the last 15 days
previousPage Resultados 50 a 75 de 194 nextPage  

COMPOSITIONS AND METHODS FOR DELIVERY OF OCULAR THERAPEUTICS

NºPublicación:  US2025367110A1 04/12/2025
Solicitante: 
THE BOARD OF TRUSTEES OF THE LELAND STANFORD JUNIOR UNIV [US]
The Board of Trustees of the Leland Stanford Junior University

Resumen de: US2025367110A1

Compositions for treating ocular disease are disclosed herein. In some embodiments, the composition comprises a dynamic hydrogel comprising a polymer and a plurality of nanoparticles, wherein the polymer is non-covalently crosslinked with the plurality of nanoparticles. The dynamic hydrogel can also comprise an ocular therapeutic encapsulated by the dynamic hydrogel.

DENDRITIC CELL-MIMICKED NANOSTRUCTURE FOR APPLICATION TO CANCER IMMUNOTHERAPY, AND FABRICATION METHOD THEREFOR

NºPublicación:  US2025367135A1 04/12/2025
Solicitante: 
FORTUGA BIO [KR]
FORTUGA BIO
US_2025009678_A1

Resumen de: US2025367135A1

The present invention relates to a dendritic cell-mimicked nanostructure and a fabrication method therefor and, more specifically, to a nanostructure in which a shell including a cell membrane of dendritic cell-derived lipid molecules is introduced to a nanoparticle core in order to take advantage of the surface antigen-presenting ability of dendritic cells and which enables targeting without disappearance in vivo, thereby providing an effect of inducing an effective immune response.

IONIZABLE LIPIDS AND METHODS OF MANUFACTURE AND USE THEREOF

NºPublicación:  US2025367131A1 04/12/2025
Solicitante: 
THE TRUSTEES OF THE UNIV OF PENNSYLVANIA [US]
GEORGE MASON RES FOUNDATION INC [US]
The Trustees of the University of Pennsylvania,
George Mason Research Foundation, Inc
MX_2023004371_A

Resumen de: US2025367131A1

The invention encompasses novel ionizable lipids compounds and their use in lipid nanoparticles delivery systems that are useful in the delivery of nucleic acids to a mammalian subject that can be included for use, for example, as cancer vaccines, gene editing therapeutics, delivery of nucleic acid (e.g., mRNA) encoding antibodies, vaccines for infectious disease, and protein replacement therapeutics. Additionally, the invention encompasses compositions and therapeutics comprising the ionzable lipids in the lipid nanoparticles and the use of the composition and therapeutics for the preparation of a pharmaceutical composition, especially a vaccine, (e.g., for use in the prophylaxis or treatment of infectious diseases, tumor or cancer diseases, rare diseases, allergies, or autoimmune diseases). The invention encompasses methods of treatment or prophylaxis of the aforementioned diseases.

PERIPHERALIZATION OF CENTRALLY-ACTING CANNABINOID-1 RECEPTOR ANTAGONISTS BY NANOPARTICLES FOR THE TREATMENT METABOLIC RELATED CONDITIONS

NºPublicación:  US2025367134A1 04/12/2025
Solicitante: 
YISSUM RESEARCH DEVELOPMENT COMPANY OF THE HEBREW UNIV OF JERUSALEM LTD [IL]
Yissum Research Development Company of the Hebrew University of Jerusalem Ltd
WO_2023242843_A1

Resumen de: US2025367134A1

The technology includes selective modulation of only a peripheral CB1R by using a CB1R antagonist contained in a peripherally restricted delivery system.

PARTICLES COMPRISING PROTEINS ENCAPSULATED IN A POROUS FRAMEWORK AND METHODS OF USING THEREOF

NºPublicación:  US2025368757A1 04/12/2025
Solicitante: 
OHIO STATE INNOVATION FOUND [US]
Ohio State Innovation Foundation
WO_2023196306_A1

Resumen de: US2025368757A1

Disclosed are methods for producing matrix-encapsulated proteins, including matrix-encapsulated hemoglobin. Also provided are pharmaceutical compositions comprising a matrix-encapsulated hemoglobin, as well as methods of using thereof to treat hypoxia, cyanide poisoning, hydrogen sulfide poisoning, and/or azide poisoning.

CAR-EXPRESSING PLURIPOTENT STEM CELL-DERIVED NEUTROPHILS LOADED WITH DRUG NANOPARTICLES AND USES THEREOF

NºPublicación:  US2025368958A1 04/12/2025
Solicitante: 
PURDUE RES FOUNDATION [US]
Purdue Research Foundation
JP_2025520412_PA

Resumen de: US2025368958A1

Chimeric antigen receptor (CAR)-expressing neutrophils loaded with nanoparticles comprising a drug; and a method of treating cancer or other disorders in a subject comprising administering to the subject a therapeutically effective amount of the CAR-expressing neutrophils.

NANOBODY PLATFORM, PEPTIDE-MODIFIED NANOBODY, PRODUCTION PROCESS, AND USE

NºPublicación:  WO2025250940A2 04/12/2025
Solicitante: 
PHP BIOTECH INT INC [US]
PHP BIOTECH INTERNATIONAL INC
WO_2025250940_A2

Resumen de: WO2025250940A2

The present disclosure provides a nanobody platform having a high affinity purification on protein A, wherein the nanobodies may incorporate diverse bioactive peptides, lipid or glycoside in its CDR1 and/or CDR3 regions. The present disclosure also provides a peptide-modified nanobody comprising non-toxic bioactive peptides and that exhibit potent anti-tumor activity. Moreover, the peptide-modified nanobody is able to be combined with other technologies, such as but not limited to bispecific antibodies and antibody-drug conjugates. Further, the present disclosure also provides production processes of the nanobodies and their use as a treatment and diagnostic agents.

POLYPEPTIDE NANOTUBES LINKED BY DISULFIDE BONDS FOR DELIVERY

NºPublicación:  WO2025250344A1 04/12/2025
Solicitante: 
MUSC FOUNDATION FOR RES DEVELOPMENT [US]
MUSC FOUNDATION FOR RESEARCH DEVELOPMENT
WO_2025250344_PA

Resumen de: WO2025250344A1

A C-terminal fragment of insulin-like growth factor binding protein 2 (IGFBP2) containing 3 cysteine residues has been shown to spontaneously self-assemble into nanotube (NT) structures. These NTs can encapsulate drugs during the assembly process and then deliver their cargo intracellularly following binding to interns and endocytosis. The integrin-dependence of this process is mediated by the presence of a naturally occurring RGD motif within the peptide sequence. A particular advantage of such NTs is that by encapsulating small molecule drugs, tissues are protected from their adverse effects. Here, the use of NTs to deliver small drugs and biologics across the blood-brain barrier (BBB) by penetrating the CNS and delivering their cargo is described.

TUNABLE DARPIN-BASED AND/OR ANTI-ANGIOGENIC AND/OR IMMUNOMODULATORY NANOPARTICLE CONJUGATES, CELLULAR IMMUNOHERAPEUTICS, AND USES THEREOF

NºPublicación:  WO2025250839A1 04/12/2025
Solicitante: 
CORNELL UNIV [US]
CORNELL UNIVERSITY
WO_2025250839_A1

Resumen de: WO2025250839A1

Disclosed herein are nanoparticle conjugates (e.g., anti-angiogenic and/or immunomodulatory nanoparticle conjugates, e.g., high-affinity Designed Ankyrin Repeat Protein (DARPin)-based binders targeting one or more cancer and/or immune receptors). The nanoparticle conjugates are useful for therapeutics and/or diagnostics and have a diameter (e.g., average diameter) no greater than 20 nanometers (e.g., as measured by dynamic light scattering (DLS) in aqueous solution, e.g., saline solution).

PHARMACEUTICAL COMPOSITION COMPRISING SIALIC ACID FOR TREATING DISEASES RELATED TO THE LUNG

NºPublicación:  WO2025250539A1 04/12/2025
Solicitante: 
CYTODIGM INC [US]
CYTODIGM, INC
WO_2025250539_A1

Resumen de: WO2025250539A1

The present invention provides a pharmaceutical composition capable of delivering therapeutic agents such as nucleic acids to the lung via systemic administration to treat lung-related diseases. Said composition comprises a non-covalent complex formed by co-precipitating a sialic acid (SA) entity, a complexing agent, and a nucleic acid cargo.

CONTROLLED ASSEMBLY OF LIPID-BASED NANOPARTICLES FROM SURFACTANT MICELLES

NºPublicación:  WO2025250244A1 04/12/2025
Solicitante: 
MASSACHUSETTS INSTITUTE OF TECH [US]
MASSACHUSETTS INSTITUTE OF TECHNOLOGY
WO_2025250244_PA

Resumen de: WO2025250244A1

The disclosure provides particles, including anisotropic particles, and compositions, methods and kits thereof that are useful, e.g., for delivering an agent or in treating or preventing diseases, such as proliferative diseases. The disclosure also provides methods of preparing plurality of such particles and liposomes that provide control over size and morphology.

CANCER-TARGETING DRUG DELIVERY SYSTEM COMPRISING HEPARIN- AND PROTAMINE-BASED SELF-ASSEMBLED NANOPARTICLES

NºPublicación:  WO2025249682A1 04/12/2025
Solicitante: 
GLOCAL INDUSTRY ACADEMIC COOPERATION FOUNDATION KONKUK UNIV [KR]
\uAC74\uAD6D\uB300\uD559\uAD50 \uAE00\uB85C\uCEEC\uC0B0\uD559\uD611\uB825\uB2E8
WO_2025249682_A1

Resumen de: WO2025249682A1

The present invention relates to a cancer-targeting drug delivery system comprising: a protamine-based self-assembling first nanoparticle including a negatively charged substance; and a heparin-based self-assembling second nanoparticle including a positively charged anticancer agent and Fe3+. Specifically, the present invention provides a drug delivery system that forms aggregates at a tumor site by a guidance effect upon administration of the second nanoparticle after administration of the first nanoparticle, and has an anticancer effect through induction of ferroptosis and immunogenic cell death without exhibiting the anticoagulant effect of heparin.

METHOD FOR PRODUCING EXTRACELLULAR VESICLES FOR WOUND HEALING USING ELECTROPORATION

NºPublicación:  WO2025249687A1 04/12/2025
Solicitante: 
SAMSUNG LIFE PUBLIC WELFARE FOUND [KR]
\uC0AC\uD68C\uBCF5\uC9C0\uBC95\uC778 \uC0BC\uC131\uC0DD\uBA85\uACF5\uC775\uC7AC\uB2E8
WO_2025249687_PA

Resumen de: WO2025249687A1

The present invention relates to a method for producing extracellular vesicles into which a therapeutic gene is introduced by electroporation, a wound-healing pharmaceutical composition produced by the method, and a wound-healing pharmaceutical preparation or quasi-drug preparation comprising same as an active ingredient. The extracellular vesicles derived from mesenchymal stem cells (MSCs), fibroblasts, and colostrum, produced by the present method, are all non-cytotoxic, have excellent nucleic acid delivery efficiency, and thus allow for stable expression. In particular, by introducing a vascular endothelial growth factor (VEGF) gene, which is known to have a wound-healing effect, into extracellular vesicles derived from mesenchymal stem cells (MSCs), fibroblasts, and colostrum through electroporation, VEGF gene-introduced extracellular vesicles produced by the production method of the present invention can be used as a gene therapy agent for wound healing.

NOVEL CURCUMIN NANO-FORMULATION AND PROCESS FOR PREPARATION THEREOF

NºPublicación:  WO2025248298A1 04/12/2025
Solicitante: 
SINGH PAWAN KUMAR [IN]
SINGH SARITA [IN]
GAIKWAD VAISHALI HANMANTRAO [IN]
GAIKWAD ADITI HANMANTRAO [IN]
SINGH, Pawan Kumar,
SINGH, Sarita,
GAIKWAD, Vaishali Hanmantrao,
GAIKWAD, Aditi Hanmantrao
WO_2025248298_A1

Resumen de: WO2025248298A1

The present invention provides nano-formulation of Curcumin having nano Curcumin content up to 10% w/w in formulation (up to 90 mg) with 100% solubility in water, - and particle size less than 100 nm with good bioavailability through enhanced permeability and stability, thereby increase in their effectiveness for various therapeutic uses. The nano-formulation of Curcumin is having low particle size and increased efficacy, stability against pH, light, temperature, and humidity.

IONIZABLE LIPID MOLECULE CONTAINING ARGININE STRUCTURE, LIPID NANOPARTICLES COMPRISING SAME, AND USE THEREOF

NºPublicación:  WO2025245869A1 04/12/2025
Solicitante: 
TSINGHUA UNIV [CN]
\u6E05\u534E\u5927\u5B66
WO_2025245869_PA

Resumen de: WO2025245869A1

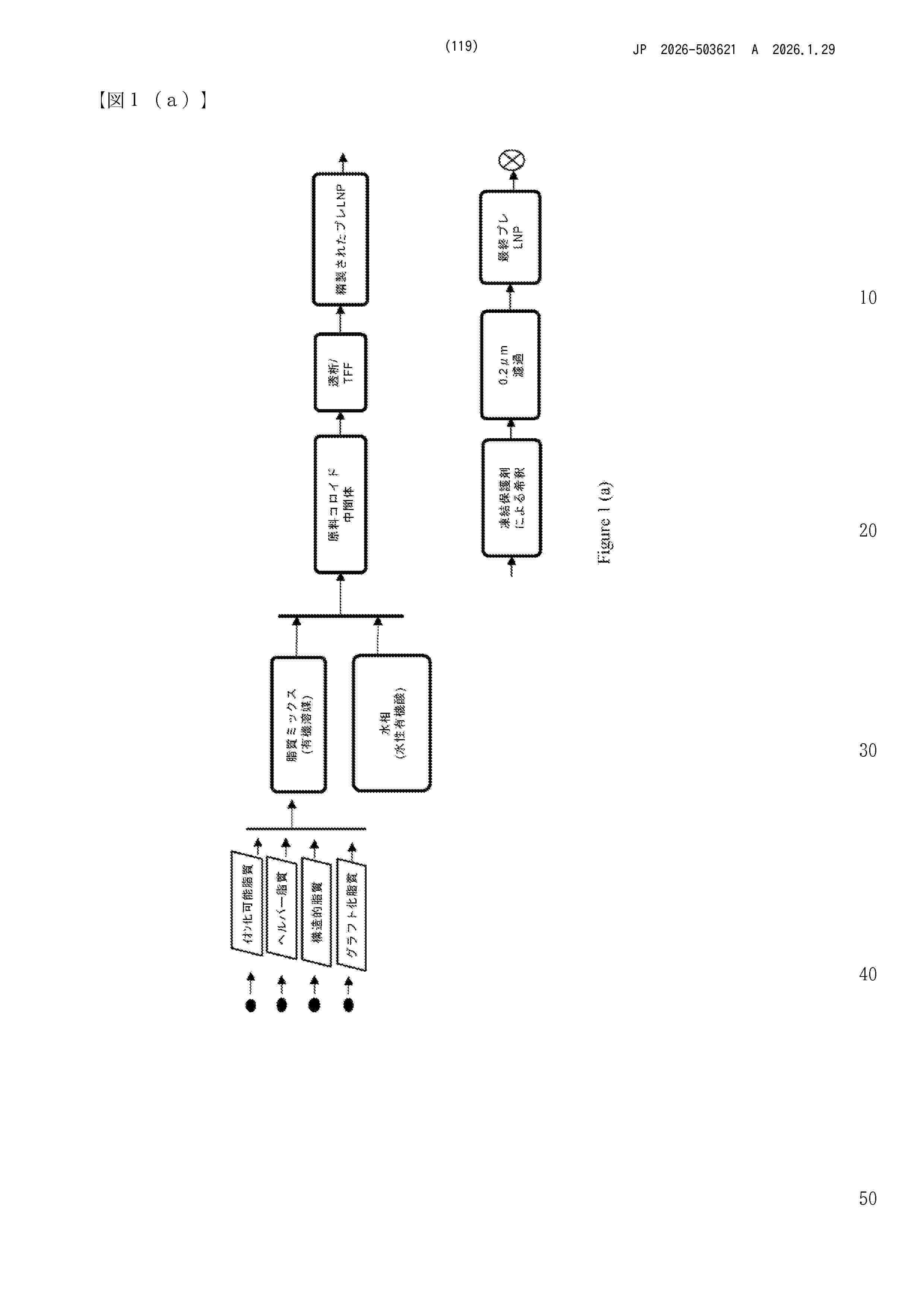
The present invention relates to an ionizable lipid molecule containing an arginine structure, lipid nanoparticles comprising same, and use thereof. Specifically, provided are an ionizable lipid molecule represented by formula (1) containing a structure of arginine and a derivative thereof, lipid nanoparticles comprising same, a preparation method therefor, and use thereof. Compared with ionizable lipid molecules conventionally used in the art, the lipid nanoparticles prepared from the ionizable lipid molecule represented by formula (1) of the present invention can achieve highly efficient delivery and expression of nucleic acids.

PROCESS FOR PREPARATION OF TARGETED LIPID NANOPARTICLES

NºPublicación:  WO2025250906A1 04/12/2025
Solicitante: 
AERA THERAPEUTICS INC [US]
AERA THERAPEUTICS, INC
WO_2025250906_PA

Resumen de: WO2025250906A1

The present invention relates to processes for preparing lipid nanoparticles having an antibody or fragment antibody binding region.

METHODS OF MAKING AND ISOLATING CIRCULAR RNAS AND CIRCULAR RNA COMPOSITIONS

NºPublicación:  EP4654953A1 03/12/2025
Solicitante: 
METHODIST HOSPITAL [US]
The Methodist Hospital
CN_120813699_A

Resumen de: AU2024211148A1

Provided herein is a method of making circular RNA, a method of isolating circular RNA and compositions comprising circular RNA.

COMPOUND OR SALT THEREOF, LIPID COMPOSITION, PHARMACEUTICAL COMPOSITION, AND DELIVERY CARRIER

NºPublicación:  EP4656628A1 03/12/2025
Solicitante: 
FUJIFILM CORP [JP]
FUJIFILM Corporation
EP_4656628_PA

Resumen de: EP4656628A1

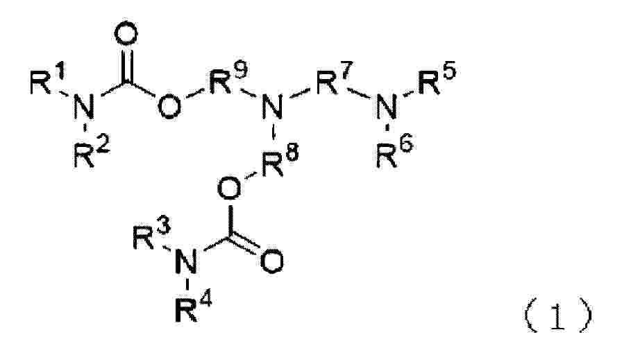
An object of the present invention is to provide a compound or a salt thereof constituting lipid composition that can achieve a high nucleic acid encapsulation rate and excellent delivery of nucleic acids, and to provide a lipid composition, a pharmaceutical composition, and a delivery carrier, using the compound or a salt thereof. According to the present invention, a compound represented by Formula (1) or a salt thereof is provided.In the formula, R<sup>1</sup>, R<sup>2</sup>, R<sup>3</sup>, and R<sup>4</sup> each independently represent a hydrogen atom or a hydrocarbon group having 1 to 24 carbon atoms, which may be substituted, R<sup>5</sup> and R<sup>6</sup> each independently represent a hydrocarbon group having 1 to 18 carbon atoms, which may be substituted, R<sup>7</sup>, R<sup>8</sup>, and R<sup>9</sup> each independently represent a hydrocarbon group having 2 to 8 carbon atoms, and R<sup>5</sup> and R<sup>6</sup>, or R<sup>5</sup> and R<sup>7</sup>, may be combined to form a 4- to 7-membered ring.

A METHOD FOR THE PRODUCTION OF POLYPRENOL NANOEMULSION AND THE POLYPRENOL NANOEMULSION OBTAINED

NºPublicación:  EP4654950A1 03/12/2025
Solicitante: 
PHARMLACRUS SIA [LV]
Pharmlacrus, SIA
WO_2025034098_A1

Resumen de: WO2025034098A1

A method for the production of a polyprenol nanoemulsion involving: - mixing of polyprenols with divalent alcohol in a mass ratio of 1:0.5-2; - the addition of an emulsifier containing polyethylene glycol sorbitan monooleate at a proportion of 50-100% of the mixture of polyprenols and divalent alcohol by mass; - mixing and heating of the resulting mixture for 5-15 minutes at a temperature of 70-80 °C; - dissolving NaCI in water, adding glucose, previously prepared phosphate buffer solution with the pH 6.88 and divalent alcohol, and mixing; - mixing and heating of the resulting aqueous mixture for 5-15 minutes at a temperature of 70-80 °C. A polyprenol nanoemulsion comprising by mass%: polyprenols 2.5-10; emulsifier that contains polyethylene glycol sorbitan monooleate 7-8; divalent alcohol 8-12; NaCI 0.9; glucose 5; phosphate buffer solution with pH 6.88 8-12; water, the rest.

NANOPARTICLES FOR THE DELIVERY OF AN ACTIVE AGENT

NºPublicación:  EP4656180A1 03/12/2025
Solicitante: 
CANTREAT AG [CH]
Cantreat AG
EP_4656180_PA

Resumen de: EP4656180A1

Nanoteilchen (1) zur Verabreichung zumindest eines Wirkstoffs (4), umfassend einen magnetisierbaren Kern (2), wobei der Kern (2) eine Ummantelung (3) aus einem Polyphosphat aufweist, wobei die Ummantelung (3) den Kern (2) vollständig umschließt, dadurch gekennzeichnet, dass die Ummantelung (3) mit einem Wirkstoff (4) versetzt ist.

INJECTABLE COMPOSITIONS OF EMD FRACTION B

NºPublicación:  EP4656213A1 03/12/2025
Solicitante: 
STRAUMANN INST AG [CH]
Institut Straumann AG
EP_4656213_A1

Resumen de: EP4656213A1

The present invention relates to a pharmaceutical, dental and/or cosmetic composition comprising purified and/or isolated matrix derivative (EMD) proteins and a suitable pharmaceutical carrier, characterized in that the purified and/or isolated enamel matrix derivative (EMD) proteins comprised in said composition have a predominant MW of between 10-13kDa and an aggregation particle size of between 20-200 nm at Room Temperature (RT) and a pH of between 6.0-7.5.Said pharmaceutical, dental and/or cosmetic composition is disclosed for use in healing, restoration, enhancement and/or promotion of soft tissue in the oral cavity and/or craniomaxillofacial complex (CMF), in particular for use in treating patients suffering from a gingival deficiency and/or disorder. Preferably, the composition of the invention is administered via injection into the soft tissue in the oral cavity and/or the craniomaxillofacial complex (CMF) of the patient.

A MODIFIED LIPID COMPOSITION AND USES THEREOF

NºPublicación:  EP4654952A1 03/12/2025
Solicitante: 
SAIL BIOMEDICINES INC [US]
Sail Biomedicines, Inc
CN_121057577_A

Resumen de: AU2024212425A1

Disclosed herein are modified lipid compositions comprising (a) a structural component comprising one or more lipids selected from the group consisting of soy-derived lipids, cardiolipin, sphingolipid, ceramide, glucosyl ceramide, lactosyl ceramide, galactosyl cholesterol, glucosyl cholesterol; and modified by (b) an ionizable lipid. The disclosure also includes a method for making a modified lipid composition, comprising reconstructing (a) a structural component comprising one or more lipids selected from the group consisting of soy-derived lipids, cardiolipin, sphingolipid, ceramide, glucosyl ceramide, lactosyl ceramide, galactosyl cholesterol, and/or glucosyl cholesterol in the presence of (b) an ionizable lipid, to produce the modified lipid composition, and loading into the modified lipid composition with one or more heterologous functional agents.

C1~C3-アルキルオキシメチル側鎖を有するポリ(エチレンオキシド)とコンジュゲートした脂質

NºPublicación:  JP2025539099A 03/12/2025
Solicitante: 
エボニックオペレーションズゲーエムベーハー
JP_2025539099_PA

Resumen de: MX2025005655A

The present invention refers to novel polyoxyalkylene based compounds and their manufacturing method as well as compositions comprising at least one novel polyoxyalkylene based compound and at least one active agent. Furthermore, the present invention refers to the manufacture of the compositions of the present invention as well as their use for the treatment of an illness in mammals or humans.

アミド及びエステル官能基を有する脂質及びその製造方法

NºPublicación:  JP2025538957A 03/12/2025
Solicitante: 
サムヤン、ホールディングス、コーポレーション
JP_2025538957_PA

Resumen de: CN120019041A

The present invention relates to a lipid having an amide functional group and an ester functional group and a method for preparing the same, and more particularly, to an ionized lipid which forms a complex with an anionic drug, and which can be used for drug delivery due to a specific structure having an amide functional group and an ester functional group, and a method for preparing the same.

TGF-β1ワクチン

Nº publicación: JP2025538981A 03/12/2025

Solicitante:

アイオーバイオテックエーピーエス

JP_2025538981_A

Resumen de: MX2025005144A

The present invention relates to novel polypeptides, which are derived from transforming growth factor beta 1 (TGFβ1; TGFb-1) as well as polynucleotides encoding such polypeptides and compositions comprising such peptides. The present invention is further concerned with ways to increase the selectivity of the immune response to TGFb-1. The invention also concerns uses, and methods of using, said polypeptides, polynucleotides, and compositions.

traducir