Ministerio de Industria, Turismo y Comercio LogoMinisterior
 

Alerta

Resultados 222 resultados
LastUpdate Última actualización 05/02/2026 [06:51:00]
pdfxls
Solicitudes publicadas en los últimos 15 días / Applications published in the last 15 days
previousPage Resultados 200 a 222 de 222  

IMMUNOGENIC COMPOSITIONS AND USES THEREOF

NºPublicación:  US20260021175A1 22/01/2026
Solicitante: 
PFIZER INC [US]
Pfizer Inc
US_20260021175_PA

Resumen de: US20260021175A1

The present disclosure relates to RSV F, hMPV F, PIV3 F, PIV3 HN, PIV1 F and PIV1 HN protein mutants, nucleic acids or vectors encoding them, compositions comprising a RSV F, hMPV F, PIV3 F, PIV3 HN, PIV1 F and/or PIV1 HN nucleic acid or combinations thereof, and uses thereof.

Chelation Therapy to Limit Cell Senescence

NºPublicación:  US20260021066A1 22/01/2026
Solicitante: 
CLEMSON UNIV [US]
CLEMSON UNIVERSITY
US_20260021066_PA

Resumen de: US20260021066A1

The present application is generally directed to methods for chelating calcium deposits within calcified blood vessels, as well as methods and compositions for use in regulating various senescence-related inflammatory pathways.

EXTRACELLULAR VESICLES AND PARTICLES FROM IMMUNE CELLS FOR PROVIDING ANTICANCER ACTIVITY

NºPublicación:  US20260021138A1 22/01/2026
Solicitante: 
LIETUVOS SVEIKATOS MOKSLU UNIV [LT]
LIETUVOS SVEIKATOS MOKSLU UNIVERSITETAS
US_20260021138_A1

Resumen de: US20260021138A1

The present invention is related to the methods for obtaining compositions of extracellular vesicles and particles for providing an anticancer activity which consists of recognising and eliminating cancerous cells. The compositions are obtained by a set of methods that include immune cell stimulation by Toll-like receptor agonist, microenvironment stiffness and adhesion peptides, extracellular vesicle and particle collection, decreasing size of large extracellular vesicles for applicability adaptation and loading of an anticancer agent for delivery to cancer cells.

CHIMERIC ANTIGEN RECEPTOR CONSTRUCTS

NºPublicación:  WO2026020171A2 22/01/2026
Solicitante: 
AERA THERAPEUTICS INC [US]
AERA THERAPEUTICS, INC
WO_2026020171_A2

Resumen de: WO2026020171A2

The present disclosure provides CAR (chimeric antigen receptor) constructs, T cell populations having the CAR(s), and methods of treating cancer with the T cell populations.

DIBLOCK POLYMER

NºPublicación:  WO2026017913A1 22/01/2026
Solicitante: 
NORWEGIAN UNIV OF SCIENCE AND TECHNOLOGY NTNU [NO]
NORWEGIAN UNIVERSITY OF SCIENCE AND TECHNOLOGY (NTNU)
WO_2026017913_A1

Resumen de: WO2026017913A1

A nanoparticle comprising a diblock polymer comprising a first component covalently bound via a linker to a second component; wherein said first component is an oligomer comprising at least 50 mol% L-5 guluronic acid residues or at least 50 mol% galacturonic acid residues and having a degree of polymerisation n where n is at least 3; said second component is a second polymer having no more than 30 mol% L-guluronic acid residues or galacturonic acid residues and having a degree of polymerisation of at least 4;10 wherein said nanoparticle comprises a chelator such as DOTA; wherein said nanoparticle comprises at least one metal ion such as a radionuclide or Gd ions.

呼吸器合胞体ウイルスのmRNAワクチン及びその調製方法と使用

NºPublicación:  JP2026010683A 22/01/2026
Solicitante: 
ハンチョウティアンロンファーマシューティカルカンパニー、リミテッド
JP_2026010683_A

Resumen de: US20260014244A1

The present disclosure belongs to the technical field of mRNA vaccines, and particularly relates to a respiratory syncytial virus (RSV) vaccine, and a preparation method therefor and use thereof. The vaccine provided by the present disclosure comprises RNA encoding an RSV F protein or a variant thereof. The vaccine can prevent an RSV infection and complications thereof.

二重脂質構造

NºPublicación:  JP2026502349A 22/01/2026
Solicitante: 
ターンバイオテクノロジーズ,インク.
JP_2026502349_PA

Resumen de: CN121039138A

The invention discloses a compound having the following structure of formula (I) or a stereoisomer, salt or tautomer thereof, wherein R1, R2, R3, R4, R5, R6, G1, G2, x, y, n, z and w are as defined herein. Compositions comprising the compounds and their use in methods of treating disease are also described.

分解可能な頭部を有するイオン化可能な脂質

NºPublicación:  JP2026502350A 22/01/2026
Solicitante: 
ターンバイオテクノロジーズ,インク.
JP_2026502350_PA

Resumen de: CN121039145A

The invention discloses a compound having the following structure of formula (I) or a stereoisomer, salt or tautomer thereof, wherein R1, R2, R3, R4, R5, R6, R7, R8, X, Y1 and Y2 are as defined herein. Pharmaceutical compositions and lipid nanoparticles comprising the compounds and their use in methods of treating disease are also described.

LIPID NANOPARTICLES FOR DIRECT DELIVERY

NºPublicación:  WO2026017865A1 22/01/2026
Solicitante: 
PROVIREX GENOME EDITING THERAPIES GMBH [DE]
PANTHERNA THERAPEUTICS GMBH [DE]
PROVIREX GENOME EDITING THERAPIES GMBH,
PANTHERNA THERAPEUTICS GMBH
WO_2026017865_PA

Resumen de: WO2026017865A1

The present invention relates to the field of lipid nanoparticles (LNP) and direct delivery of an active agent to a cell. It provides lipid nanoparticle constructs that are particularly useful for delivery of active agents, e.g., of RNA, preferably, mRNA, to cells. The lipid nanoparticle constructs comprise a specific neutral hydrophilic solid lipid nanpoparticle (SLP) and a targeting agent associated with the nanoparticle, e.g. a single domain antibody (sdAb), which may, for example target CD4. The lipid nanoparticle construct may comprise an active agent, and it may be used for targeting a cell such as a T cell. Pharmaceutical compositions comprising the nanoparticle constructs are also provided, in particular for use in targeting a cell. The invention also provides a composition or kit suitable for preparing the lipid nanoparticle construct of the invention.

COMPOSITIONS CONTAINING ABIOTICALLY-STRESSED PLANT-DERIVED EXOSOME-LIKE NANOPARTICLES

NºPublicación:  WO2026019940A2 22/01/2026
Solicitante: 
EXOTROPIN LLC [US]
EXOTROPIN LLC
WO_2026019940_A2

Resumen de: WO2026019940A2

The present disclosure provides a composition containing a purified population of plant-derived exosome-like nanoparticles isolated from tissue of a vascular plant, wherein the exosome-like nanoparticles comprise a tuned cargo comprising a protein signature and an miRNA signature, wherein the tuned cargo of the plant-derived exosome-like nanoparticles is a result of exposure of the plant to combinations of abiotic stress conditions that cause the plant to modulate its signaling pathways and metabolism to ensure its survival in a challenging environment. The tuned cargo of the plant-derived exosome-like nanoparticles can modulate bioactivities of mammalian cells directly or indirectly. The present disclosure also provides a method for improving appearance of human skin and human hair health, including eyelashes and eyebrows, comprising applying a composition comprising the abiotically stressed plant-derived exosome-like nanoparticles containing the tuned cargo and a carrier; and applying the composition topically.

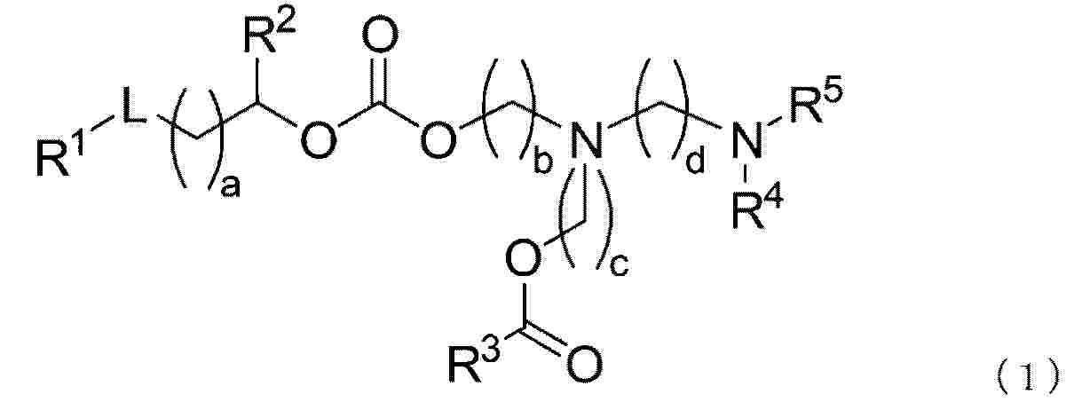
COMPOUND OR SALT THEREOF, LIPID COMPOSITION, PHARMACEUTICAL COMPOSITION, AND DELIVERY CARRIER

NºPublicación:  EP4682138A1 21/01/2026
Solicitante: 
FUJIFILM CORP [JP]
FUJIFILM Corporation
EP_4682138_PA

Resumen de: EP4682138A1

An object of the present invention is to provide a compound or a salt thereof, which constitutes a lipid composition capable of realizing a high nucleic acid encapsulation rate and excellent nucleic acid delivery in a case where mRNA is used; and a lipid composition, a pharmaceutical composition, and a delivery carrier, which are capable of realizing a high nucleic acid encapsulation rate and excellent nucleic acid delivery in a case where mRNA is used. According to the present invention, a compound represented by Formula (1) or a salt thereof is provided.In the formula, R<sup>1</sup> represents a hydrocarbon group having 1 to 24 carbon atoms, R<sup>2</sup> represents a hydrocarbon group having 1 to 6 carbon atoms, R<sup>3</sup> represents a hydrocarbon group having 6 to 24 carbon atoms and having a branched chain, R<sup>4</sup> and R<sup>5</sup> represent a hydrocarbon group having 1 to 6 carbon atoms, which may be substituted, R<sup>6</sup> represents a hydrogen atom or a hydrocarbon group having 1 to 18 carbon atoms, L represents *-O-C(O)- or *-C(O)O-, a represents an integer of 1 to 12, and b, c, and d represent an integer of 1 to 4.

ANTIBODY SPECIFICALLY BINDING TO CLAUDIN18.2 AND PREPARATION METHOD THEREFOR AND USE THEREOF

NºPublicación:  EP4682169A1 21/01/2026
Solicitante: 
GRACELL BIOTECHNOLOGIES SHANGHAI CO LTD [CN]
Gracell Biotechnologies (Shanghai) Co., Ltd
EP_4682169_A1

Resumen de: EP4682169A1

Provided is an anti-Claudin18.2 nanobody or a binding fragment thereof. The antibody has a good specificity, and a Claudin18.2-targeting immune effector cell prepared using the antibody shows a good therapeutic effect in the treatment or amelioration of diseases having positive expression of Claudin18.2.

LIPID NANOPARTICLES FOR DIRECT DELIVERY

NºPublicación:  EP4681739A1 21/01/2026
Solicitante: 
PROVIREX GENOME EDITING THERAPIES GMBH [DE]
PANTHERNA THERAPEUTICS GMBH [DE]
PROVIREX Genome Editing Therapies GmbH,
Pantherna Therapeutics GmbH
EP_4681739_PA

Resumen de: EP4681739A1

The present invention relates to the field of lipid nanoparticles (LNP) and direct delivery of an active agent to a cell. It provides lipid nanoparticle constructs that are particularly useful for delivery of active agents, e.g., of RNA, preferably, mRNA, to cells. The lipid nanoparticle constructs comprise a specific neutral hydrophilic solid lipid nanpoparticle (SLP) and a targeting agent associated with the nanoparticle, e.g. a single domain antibody (sdAb), which may, for example target CD4. The lipid nanoparticle construct may comprise an active agent, and it may be used for targeting a cell such as a T cell. Pharmaceutical compositions comprising the nanoparticle constructs are also provided, in particular for use in targeting a cell. The invention also provides a composition or kit suitable for preparing the lipid nanoparticle construct of the invention.

DELIVERY OF GENE EDITING SYSTEMS AND METHODS OF USE THEREOF

NºPublicación:  EP4680287A1 21/01/2026
Solicitante: 
RENAGADE THERAPEUTICS MAN INC [US]
Renagade Therapeutics Management Inc
AU_2024236558_A1

Resumen de: AU2024236558A1

The present disclosure describes improved LNP-based nucleobase editing systems and therapeutics for use in treating a disease. In particular, the disclosure describes improved LNPs, including novel and improved ionic lipids for making LNPs, that enhance the targeted delivery of LNP-based nucleobase editing systems and therapeutics based on linear and/or circular mRNAs. The improved LNPs protect linear and/or circular mRNA payloads from degradation and clearance while achieving targeted systemic or local delivery for use as enhanced nucleobase editing systems and/or therapeutic agents.

SELECTIVE DELIVERY OF ONCO-SUPPRESSIVE MIRNA (MIR126) TO METASTATIC MELANOMA CELLS RESISTANT TO THERAPIES

NºPublicación:  EP4680739A1 21/01/2026
Solicitante: 
ST SUPERIORE DI SANITA [IT]
UNIV DEGLI STUDI ROMA LA SAPIENZA [IT]
Istituto Superiore di Sanit\u00E0,
Universit\u00E0 degli Studi di Roma \"La Sapienza\"
WO_2024189572_A1

Resumen de: WO2024189572A1

The present invention discloses carriers with an onco-suppressive agent and selectively directed to a tumoral target for the treatment of metastatic melanoma resistant to a target therapy.

NANOBODY-BASED PROTEIN DEGRADERS AND RELATED METHODS

NºPublicación:  EP4680642A2 21/01/2026
Solicitante: 
OHIO STATE INNOVATION FOUNDATION [US]
Ohio State Innovation Foundation
WO_2024192235_PA

Resumen de: WO2024192235A2

The present disclosure relates compositions comprising and/or encoding nanodegraders (ND) and methods of use thereof.

HBV遺伝子発現を標的にして調整・制御する二本鎖RNAi剤およびその使用

NºPublicación:  JP2026009862A 21/01/2026
Solicitante: 
ハンチョウティアンロンファーマシューティカルカンパニー、リミテッド
JP_2026009862_PA

Resumen de: EP4678747A2

The present disclosure provides a double-stranded RNAi agent for targeting and regulating HBV gene expression and a use thereof. The double-stranded RNAi agent comprises an antisense strand and a sense strand complementary to the antisense strand forming a duplex region. The nucleotide sequence of the antisense strand is as shown in SEQ ID NO: 8, 11, or 13, or the nucleotide sequence of the antisense strand is a modified sequence of the sequence shown in SEQ ID NO: 8, 11, or 13. Results from cell and animal experiments demonstrate that the double-stranded RNAi agent provided in the present disclosure can significantly reduce the expression of one or more HBV genes, block the viral life cycle, and can be used to develop drugs for treating diseases related to HBV gene expression.

脂質化合物及び脂質ナノ粒子組成物

NºPublicación:  JP2026502084A 21/01/2026
Solicitante: 
リヌアージンバイオテクノロジーカンパニー,リミティド
JP_2026502084_PA

Resumen de: MX2025007492A

The present application discloses compounds of formula (I) and salts and stereoisomers thereof, wherein the variables are as defined in the description. Further disclosed in the present application are nanoparticle compositions comprising the compounds, salts thereof, or stereoisomers thereof, and a use of the nanoparticle compositions for delivering an active agent.

FORMULATIONS OF AN ANTIVIRAL PRODRUG

NºPublicación:  EP4680242A1 21/01/2026
Solicitante: 
EXAVIR THERAPEUTICS INC [US]
Exavir Therapeutics, Inc
CN_121194783_PA

Resumen de: AU2024239507A1

Disclosed herein, in part, are pharmaceutical compositions comprising a prodrug of an antiviral agent and methods of using the same in the treatment of viral infections.

UNIVERSAL INFLUENZA MRNA VACCINE AND USE THEREOF

NºPublicación:  EP4682174A1 21/01/2026
Solicitante: 
SHANGHAI INST OF BIOLOGICAL PRODUCTS CO LTD [CN]
Shanghai Institute Of Biological Products Co., Ltd
EP_4682174_A1

Resumen de: EP4682174A1

Provided is a universal influenza mRNA vaccine. The protein encoded by the universal influenza mRNA vaccine comprises a matrix protein 2 extracellular domain (M2e), a hemagglutinin (HA) stem LAH region and a nucleoprotein (NP) of an influenza A virus. In addition, further provided is the use of the universal influenza mRNA vaccine in a mouse animal model. The universal influenza mRNA vaccine can induce strong humoral immune and cellular immune responses, and can protect animal model mice against various influenza A viruses. The universal influenza mRNA vaccine is safe and effective, and has a rapid production platform.

BIODEGRADABLE DENDRITIC PARTICLES FOR SUSTAINED DRUG RELEASE

NºPublicación:  EP4680284A2 21/01/2026
Solicitante: 
UNIV COLORADO REGENTS [US]
THE REGENTS OF THE UNIVERSITY OF COLORADO, A BODY CORPORATE
WO_2024192288_PA

Resumen de: WO2024192288A2

Described herein are methods, systems and compositions for the production and use of a class of highly branched, nanostructured particles, generally referred to herein as dendritic particles (DPs), synthesized from biodegradable materials that are specifically adapted for drug release in vivo.

核酸送達用の脂質粒子およびその臨床応用

Nº publicación: JP2026010063A 21/01/2026

Solicitante:

ラモット・アット・テル・アビブ・ユニバーシテイ・リミテッド

JP_2026010063_PA

Resumen de: US2023201127A1

Lipid particles for nucleic acid delivery and clinical applications of same are provided. Accordingly there is provided a lipid particle comprising a cationic lipid encapsulating a nucleic acid sequence, wherein said nucleic acid sequence encodes a protein having a length of at least 500 amino acids, the cationic lipid being represented by Formula I, as defined in the specification.

traducir