Ministerio de Industria, Turismo y Comercio LogoMinisterior
 

Alerta

Resultados 67 resultados
LastUpdate Última actualización 29/11/2025 [07:27:00]
pdfxls
Solicitudes publicadas en los últimos 60 dias/ Patent applications published in the last 60 days
previousPage Resultados 50 a 67 de 67  

COMPOSICIONES DE RECUBRIMIENTO CURABLES POR RADIACIÓN UV-VIS QUE COMPRENDEN PARTÍCULAS DE PIGMENTO MAGNÉTICAS O MAGNETIZABLES Y MÉTODOS PARA PRODUCIR CAPAS DE EFECTO ÓPTICO

NºPublicación:  AR133600A1 15/10/2025
Solicitante: 
SICPA HOLDING SA [CH]
SICPA HOLDING SA
TW_202528492_A

Resumen de: TW202528492A

The invention relates of UV-Vis radiation curable coating compositions comprising magnetic or magnetizable pigment particles and methods for producing optical effect layers (OELs) comprising magnetically oriented magnetic or magnetizable pigment particles and the use of said OELs as anti-counterfeit means on security documents or security articles as well as decorative purposes. The UV- Vis radiation curable coating compositions comprises one or more (meth)acrylate monomers, one or more cyclic ether compounds, one or more vinyl ether compounds, one or more photoinitiators, one or more thermoplastic polymers and non-spherical magnetic or magnetisable pigment particles.

METHOD AND DEVICE FOR PRODUCING A PLASTIC DESIGN ELEMENT ON AN AUTHENTICATION DATA CARRIER

NºPublicación:  US2025316023A1 09/10/2025
Solicitante: 
GIESECKE DEVRIENT EPAYMENTS GMBH [DE]
Giesecke+Devrient ePayments GmbH
US_2025316023_PA

Resumen de: US2025316023A1

A method is proposed for producing a printed pattern containing a plastic design element on an authentication data carrier. For this purpose, individual starting images are provided by users. Printing data, which reproduce the starting image as a planar printed pattern, are generated from the individual starting images by combination with design specifications and boundary conditions. The starting image is applied in a first printing process as a planar printed pattern. Furthermore, an edge detection is carried out on the printing data in order to determine dominating edges in the starting image, which reproduce the contours of the motif contained in the starting image. A 3D printing template is created based on the dominating edges. A three-dimensional printed pattern is applied to the planar printed pattern in accordance with the 3D printing template in a second printing process.

OPTICALLY READABLE PHYSICAL UNCLONABLE FUNCTIONS

NºPublicación:  US2025313712A1 09/10/2025
Solicitante: 
QUANTUM BASE LTD [GB]
QUANTUM BASE LIMITED
US_2025313712_PA

Resumen de: US2025313712A1

(b) There is provided a method of making an optically readable PDF coating composition, the method comprising increasing the entropy of the coating composition by adding an optically readable material and optionally a solvent to at least two portions of the coating composition and then combining the portions of the coating composition.

Sicherheitselement, Datenträger und Verfahren zur Herstellung des Datenträgers

NºPublicación:  DE102025112853A1 09/10/2025
Solicitante: 
POLSKA WYTWORNIA PAPIEROW WARTOSCIOWYCH S A [PL]
Polska Wytw\u00F3rnia Papier\u00F3w Warto\u015Bciowych S.A
DE_102025112853_PA

Resumen de: DE102025112853A1

Der Gegenstand der Erfindung ein Sicherheitselement (10, 100) ist, das mindestens eine innere personalisierten Kennzeichnung (15, 15a, 25, 25a) aufweist, die im VIS/Reflexionslicht unsichtbar und im Durchlicht sichtbar ist, das als eine Schicht zwischen zwei opaken und/oder transluzenten Schichten (12a, 12b, 120, 130) liegt, die auf einem Teil oder der gesamten Oberfläche dieser Schichten aufgebracht ist, wobei auf der anderen Seite der opaken und/oder transluzenten Schichten (12a, 12b, 120, 130) als die innere personalisierte Kennzeichnung (15, 15a, 25, 25a) aufgebracht ist, gibt es eine beliebige Anzahl von transparenten Schichten (11a-11f, 110a-110f), wobei optional zwischen den beiden opaken und/oder transluzenten Schichten (12a, 12b, 120, 130) mindestens eine zusätzliche transparente Schicht (13) enthalten ist. Die Erfindung bezieht sich auch auf einen Datenträger (1, 2), der ein Sicherheitselement (10, 100) enthält, und auf ein Verfahren zur Herstellung des Datenträgers (1, 2).

OPTICAL DEVICE

NºPublicación:  WO2025209793A1 09/10/2025
Solicitante: 
ROLIC TECH AG [CH]
ROLIC TECHNOLOGIES AG

Resumen de: WO2025209793A1

The present invention relates to an optical device comprising a first layer that comprises an alignment surface defining an alignment direction, wherein said alignment direction varies periodically in the azimuthal orientation, defining a grating pitch, in a grating direction within the first layer; and a second layer being arranged adjacent to the first layer so that an alignment interface is formed between the first and second layer, wherein, in a cross-section parallel to the first layer, said second layer includes a patterned area comprising sections of chiral nematic liquid crystals, and wherein an orientation direction of the chiral nematic liquid crystals just within the patterned area of the second layer at the alignment interface is set by the alignment direction defined by the alignment surface of the first layer. In addition, present invention relates to an optical arrangement comprising a first and second optical device. Moreover, present invention relates to a method for manufacturing an optical device and the use of such optical device.

Security element, data carrier and method of making the data carrier

NºPublicación:  PL448189A1 06/10/2025
Solicitante: 
POLSKA WYTWORNIA PAPIEROW WARTOSCIOWYCH SPOLKA AKCYJNA [PL]
POLSKA WYTW\u00D3RNIA PAPIER\u00D3W WARTO\u015ACIOWYCH SP\u00D3\u0141KA AKCYJNA
PL_448189_A1

Resumen de: DE102025112853A1

Der Gegenstand der Erfindung ein Sicherheitselement (10, 100) ist, das mindestens eine innere personalisierten Kennzeichnung (15, 15a, 25, 25a) aufweist, die im VIS/Reflexionslicht unsichtbar und im Durchlicht sichtbar ist, das als eine Schicht zwischen zwei opaken und/oder transluzenten Schichten (12a, 12b, 120, 130) liegt, die auf einem Teil oder der gesamten Oberfläche dieser Schichten aufgebracht ist, wobei auf der anderen Seite der opaken und/oder transluzenten Schichten (12a, 12b, 120, 130) als die innere personalisierte Kennzeichnung (15, 15a, 25, 25a) aufgebracht ist, gibt es eine beliebige Anzahl von transparenten Schichten (11a-11f, 110a-110f), wobei optional zwischen den beiden opaken und/oder transluzenten Schichten (12a, 12b, 120, 130) mindestens eine zusätzliche transparente Schicht (13) enthalten ist. Die Erfindung bezieht sich auch auf einen Datenträger (1, 2), der ein Sicherheitselement (10, 100) enthält, und auf ein Verfahren zur Herstellung des Datenträgers (1, 2).

PRIVACY SCREEN PROTECTOR HAVING AN IMAGE AND A METHOD OF MAKING THEREOF

NºPublicación:  US2025310431A1 02/10/2025
Solicitante: 
SCREEN SKINZ INC [US]
Screen Skinz, Inc
US_2024414252_PA

Resumen de: US2025310431A1

The disclosure provides a screen protector that not only protects screens but also includes at least one image having levels of visibility according to different lighting conditions. Visibility of the image can also be based on a privacy filter. The privacy filter can be part of the screen protector. In one example, a privacy screen protector for a screen is disclosed that includes: (1) a substrate having an image, and (2) a privacy filter having a viewing angle that prevents viewing of content displayed on the screen that is not within the viewing angle and simultaneously allows viewing of the image at viewing angles that is not at or within the designated viewing angle, wherein viewing of the content is further based on activation of the screen.

VALUE DOCUMENT WITH LUMINESCENCE FEATURE, VALUE DOCUMENT SYSTEM, PRODUCTION METHOD AND CHECKING METHOD

NºPublicación:  US2025303774A1 02/10/2025
Solicitante: 
GIESECKE DEVRIENT CURRENCY TECH GMBH [DE]
GIESECKE+DEVRIENT CURRENCY TECHNOLOGY GMBH
CN_119072399_PA

Resumen de: US2025303774A1

A flat document of value has a surface area having a longitudinal direction and a transverse direction and which is provided with a luminescence feature in the surface area. The luminescence feature includes a first luminescence marker in a first subarea and a second luminescence marker in a second, different subarea. The first and second luminescence markers are able to be excited to luminesce at the same wavelength and luminesce, after excitation, essentially in the same emission band in the infrared spectral range. The first and second luminescence markers have spectrally similar infrared emission spectra, namely infrared emission spectra that have a spectral difference between 0.5% and 15%. The first and second subarea are arranged so as to overlap one another in the surface area in projection onto the longitudinal direction and/or in projection onto the transverse direction.

OVERT SECURITY FEATURES

NºPublicación:  US2025303775A1 02/10/2025
Solicitante: 
SICPA HOLDING SA [CH]
SICPA HOLDING SA
JP_2025508891_PA

Resumen de: US2025303775A1

The present invention relates to the field of methods for producing eye-catching overt security features exhibiting colorshifting properties as anti-counterfeit means on security documents or security articles as well as decorative purposes. In particular, the overt security feature exhibits comprises a) a substrate (×10), a color constant layer (×20) comprising magnetically oriented platelet-shaped magnetic or magnetizable pigment particles and an optically variable layer (×30) comprising a cholesteric liquid crystal polymer (CLCP) reflecting light in the visible spectrum range, wherein the platelet-shaped magnetic or magnetizable pigment particles of the color constant layer (×20) have substantially a same elevation angle α.

DATA CARRIER AND METHOD OF PRODUCING IT

NºPublicación:  WO2025202167A1 02/10/2025
Solicitante: 
THALES DIS FRANCE SAS [FR]
THALES DIS FRANCE SAS
EP_4624185_PA

Resumen de: WO2025202167A1

A data carrier (1) for a secure article comprises a carrier body (2), and at least one security element (3) being provided on the carrier body (2). The security element (3) comprises at least one image (4) and at least one surface structure (5). The image (4) comprises at least one primary image (6) and at least one secondary image (7) being encoded in the primary image (6). The surface structure (5) comprises at least primary surface structure elements (8) and secondary surface structure elements (9). The image (4) is at least partially printed onto the primary surface structure elements (8). At least the secondary surface structure elements (9) are configured to decode the secondary image (7) when the data carrier (1) is viewed under different viewing angles (α) and/or illuminated under different illumination angles (β), whereby the secondary image (7) becomes observable.

SYSTEM FOR TRACKING PRODUCTION WORKFLOW INFORMATION OF DIGITAL PHOTOPOLYMER PRINTING PLATES

NºPublicación:  EP4623340A1 01/10/2025
Solicitante: 
ESKO GRAPHICS IMAGING GMBH [DE]
Esko-Graphics Imaging GmbH
CN_120548506_PA

Resumen de: WO2024110904A1

A process for manufacture of a flexographic printing plate pursuant to a plurality of process steps, including at least an imaging step, a curing step, a washing or other non-cured-polymer-removal step, each step performed by a processing machine having at least one variable operating parameter. The process includes providing a smart plate tracking (SPT) code on each flexographic printing plate, storing in computer memory instructions readable by a computer processor information corresponding to the at least one variable operating parameter for each of the processing machines in association with the SPT code, and in response to receiving the SPT code as an input from a user or machine interface corresponding to one of the processing machines, the computer processor returning instructions corresponding to one of the processing machines.

MICRO-OPTIC SECURITY DEVICE WITH PHASE ALIGNED IMAGE LAYERS

NºPublicación:  MX2025010803A 01/10/2025
Solicitante: 
CRANE & CO INC [US]
CRANE & CO., INC
JP_2025131896_PA

Resumen de: MX2025010803A

A micro-optic security device (105) includes a planar array of microlenses (305), which are configured to focus light along a plurality of focal paths (610) associated with a viewing angle. The micro-optic security device further includes an icon layer stack (905) disposed along the plurality of focal paths. The icon layer stack includes a first icon layer (620) with volumes of cured material of a first color (613b) and volumes of substantially transparent material at locations outside of focal paths of the first range of viewing angles. The icon layer stack also includes a second icon layer (640) with volumes of substantially transparent cured material at locations along focal paths of the first range of viewing angles, and volumes of cured material of a second color (637a) at locations along focal paths of a second range of viewing angles.

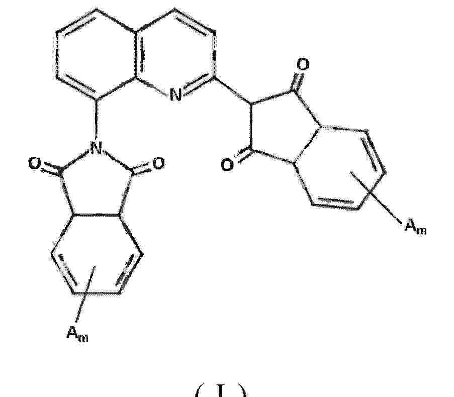
TINTAS DE IMPRESIÓN VISCOSAS CURABLES POR UV-LED Y PROCESOS DE IMPRESIÓN

NºPublicación:  AR133434A1 01/10/2025
Solicitante: 
SICPA HOLDING SA [CH]
SICPA HOLDING SA
TW_202511423_PA

Resumen de: TW202511423A

The present invention relates to the field of viscous UV-LED radically curable inks for printing security features on substrates, in particular security documents, said inks comprising one or more radically curable (meth)acrylate compounds, one or more thioxanthone compounds, one or more amino containing synergists, one or more fillers and/or extenders, and one or more pigments of formula (I):.

DATA CARRIER AND METHOD OF PRODUCING IT

NºPublicación:  EP4624185A1 01/10/2025
Solicitante: 
THALES DIS FRANCE SAS [FR]
THALES DIS FRANCE SAS
EP_4624185_PA

Resumen de: EP4624185A1

A data carrier (1) for a secure article comprises a carrier body (2), and at least one security element (3) being provided on the carrier body (2). The security element (3) comprises at least one image (4) and at least one surface structure (5). The image (4) comprises at least one primary image (6) and at least one secondary image (7) being encoded in the primary image (6). The surface structure (5) comprises at least primary surface structure elements (8) and secondary surface structure elements (9). The image (4) is at least partially printed onto the primary surface structure elements (8). At least the secondary surface structure elements (9) are configured to decode the secondary image (7) when the data carrier (1) is viewed under different viewing angles (α) and/or illuminated under different illumination angles (β), whereby the secondary image (7) becomes observable.

SECURITY MARKING AND VERIFICATION SYSTEM

NºPublicación:  EP4622804A1 01/10/2025
Solicitante: 
SUN CHEMICAL CORP [US]
Sun Chemical Corporation
WO_2024155729_A1

Resumen de: WO2024155729A1

The present invention provides a method of producing a security mark by printing with a security ink, and an optical detection method to authenticate the security mark. The security ink contains an organic fluorescent molecule in an aggregated state with a highly red-shifted and broadened fluorescence spectrum compared to the monomeric state of the same material, and capable of tuning of the wavelength and intensity of fluorescence as a function of concentration.

COVERT MACHINE-READABLE MICRO-OPTIC FEATURE EMBEDDED IN LENS LAYER

NºPublicación:  MX2025010657A 01/10/2025
Solicitante: 
CRANE & CO INC [US]
CRANE & CO., INC
AU_2023437056_PA

Resumen de: MX2025010657A

Micro-optic devices including micro-optic devices which include an optical spacer (110) having a first side and a second side, an icon layer (120) comprising a plurality of image icons of a first color disposed on the first side of the optical spacer, and a focusing layer (105) comprising a plurality of refractive focusing elements (107) disposed on the second side of the optical spacer. The plurality of refractive focusing elements project a synthetically magnified image of the plurality of image icons, and image icons of the first color project a component of the synthetically magnified image that is of the first color. Additionally, the refractive focusing elements are doped with a machine readable taggant which emits a characteristic signal at a first frequency in the ultraviolet spectrum.

SECURITY DEVICES AND METHODS OF MANUFACTURE THEREOF

Nº publicación: MX2025010266A 01/10/2025

Solicitante:

DE LA RUE INTERNATIONAL LTD [GB]
DE LA RUE INTERNATIONAL LIMITED

AU_2024230128_PA

Resumen de: MX2025010266A

Optically variable security device comprising: a substrate (10); an array of focussing elements (20, 21) disposed in or on the substrate; and an image array (30) disposed in or on the substrate and overlapping with the array of focussing elements, wherein the image array comprises at least first (11) and second (12) sets of image elements, the first set of image elements and the second set of image elements being interleaved with each other, wherein the image array comprises a first ink and a second ink different from the first ink, one or both of the first and second inks comprising a luminescent material.

traducir