Ministerio de Industria, Turismo y Comercio LogoMinisterior
 

Nanofármacos

Resultados 209 resultados
LastUpdate Última actualización 15/04/2026 [06:57:00]
pdfxls
Solicitudes publicadas en los últimos 15 días / Applications published in the last 15 days
previousPage Resultados 75 a 100 de 209 nextPage  

NEW EPITHELIAL PERMEATION ENHANCER

NºPublicación:  EP4719344A1 08/04/2026
Solicitante: 
ROQUETTE FRERES [FR]
WO_2024246004_PA

Resumen de: WO2024246004A1

The present invention relates to a diagnostic method (100) for diagnosing a state of a cell stack (300) of an electrochemical energy converter. The diagnostic method (100) comprises: - connecting (101) a plurality of bipolar plates (301) of the cell stack (300) to a cell voltage measurement system (311), - ascertaining (103) measurement values for each cell (303) of the plurality of cells (303) by means of the cell voltage measurement system (311), - determining (105) a characteristic value for each cell (303) of the plurality of cells (303) on the basis of measurement values ascertained by means of the cell voltage measurement system (311), - comparing (107) the characteristic value with a specified quality criterion, - outputting (109) an error message if the characteristic value does not satisfy the quality criterion, wherein the ascertaining of measurement values is carried out in a dry state of the cell stack (300).

LIPID COMPOUNDS, COMPOSITIONS, AND USES THEREOF

NºPublicación:  EP4720035A1 08/04/2026
Solicitante: 
LIBERATE BIO INC [US]
WO_2024246004_PA

Resumen de: EP1000000A1

The invention relates to an apparatus (1) for manufacturing green bricks from clay for the brick manufacturing industry, comprising a circulating conveyor (3) carrying mould containers combined to mould container parts (4), a reservoir (5) for clay arranged above the mould containers, means for carrying clay out of the reservoir (5) into the mould containers, means (9) for pressing and trimming clay in the mould containers, means (11) for supplying and placing take-off plates for the green bricks (13) and means for discharging green bricks released from the mould containers, characterized in that the apparatus further comprises means (22) for moving the mould container parts (4) filled with green bricks such that a protruding edge is formed on at least one side of the green bricks.

METHODS AND COMPOSITIONS FOR MODULATING PLASMINOGEN ACTIVATOR INHIBITOR-1 (PAI-1)

NºPublicación:  EP4720278A1 08/04/2026
Solicitante: 
UNIV BRITISH COLUMBIA [CA]
VERSITI BLOOD RES INSTITUTE FOUNDATION INC [US]
EP_1000000_PA

Resumen de: EP1000000A1

The invention relates to an apparatus (1) for manufacturing green bricks from clay for the brick manufacturing industry, comprising a circulating conveyor (3) carrying mould containers combined to mould container parts (4), a reservoir (5) for clay arranged above the mould containers, means for carrying clay out of the reservoir (5) into the mould containers, means (9) for pressing and trimming clay in the mould containers, means (11) for supplying and placing take-off plates for the green bricks (13) and means for discharging green bricks released from the mould containers, characterized in that the apparatus further comprises means (22) for moving the mould container parts (4) filled with green bricks such that a protruding edge is formed on at least one side of the green bricks.

MUTATED FRAGMENT OF VZV GLYCOPROTEIN E

NºPublicación:  EP4720094A1 08/04/2026
Solicitante: 
SUZHOU ABOGEN BIOSCIENCES CO LTD [CN]
WO_2024246004_PA

Resumen de: WO2024246004A1

The present invention relates to a diagnostic method (100) for diagnosing a state of a cell stack (300) of an electrochemical energy converter. The diagnostic method (100) comprises: - connecting (101) a plurality of bipolar plates (301) of the cell stack (300) to a cell voltage measurement system (311), - ascertaining (103) measurement values for each cell (303) of the plurality of cells (303) by means of the cell voltage measurement system (311), - determining (105) a characteristic value for each cell (303) of the plurality of cells (303) on the basis of measurement values ascertained by means of the cell voltage measurement system (311), - comparing (107) the characteristic value with a specified quality criterion, - outputting (109) an error message if the characteristic value does not satisfy the quality criterion, wherein the ascertaining of measurement values is carried out in a dry state of the cell stack (300).

5'-UTR CONTAINING MRNA CONSTRUCTS WITH IMPROVED TRANSLATION EFFICIENCY AND VACCINE COMPOSITIONS COMPRISING SAME

NºPublicación:  EP4720305A1 08/04/2026
Solicitante: 
GREEN CROSS CORP [KR]
WO_2024246004_PA

Resumen de: EP1000000A1

The invention relates to an apparatus (1) for manufacturing green bricks from clay for the brick manufacturing industry, comprising a circulating conveyor (3) carrying mould containers combined to mould container parts (4), a reservoir (5) for clay arranged above the mould containers, means for carrying clay out of the reservoir (5) into the mould containers, means (9) for pressing and trimming clay in the mould containers, means (11) for supplying and placing take-off plates for the green bricks (13) and means for discharging green bricks released from the mould containers, characterized in that the apparatus further comprises means (22) for moving the mould container parts (4) filled with green bricks such that a protruding edge is formed on at least one side of the green bricks.

COMPOSITIONS OF MRNA-ENCODED VIRUS-LIKE PARTICLES, COMPOSITIONS OF MRNA-LIPID NANOPARTICLES, AND METHODS FOR USE THEREOF

NºPublicación:  EP4719470A1 08/04/2026
Solicitante: 
VARIATION BIOTECHNOLOGIES INC [CA]
WO_2024246004_PA

Resumen de: EP1000000A1

The invention relates to an apparatus (1) for manufacturing green bricks from clay for the brick manufacturing industry, comprising a circulating conveyor (3) carrying mould containers combined to mould container parts (4), a reservoir (5) for clay arranged above the mould containers, means for carrying clay out of the reservoir (5) into the mould containers, means (9) for pressing and trimming clay in the mould containers, means (11) for supplying and placing take-off plates for the green bricks (13) and means for discharging green bricks released from the mould containers, characterized in that the apparatus further comprises means (22) for moving the mould container parts (4) filled with green bricks such that a protruding edge is formed on at least one side of the green bricks.

IONIZABLE LIPIDS

NºPublicación:  EP4720051A1 08/04/2026
Solicitante: 
BRISTOL MYERS SQUIBB CO [US]
WO_2024246004_PA

Resumen de: EP1000000A1

The invention relates to an apparatus (1) for manufacturing green bricks from clay for the brick manufacturing industry, comprising a circulating conveyor (3) carrying mould containers combined to mould container parts (4), a reservoir (5) for clay arranged above the mould containers, means for carrying clay out of the reservoir (5) into the mould containers, means (9) for pressing and trimming clay in the mould containers, means (11) for supplying and placing take-off plates for the green bricks (13) and means for discharging green bricks released from the mould containers, characterized in that the apparatus further comprises means (22) for moving the mould container parts (4) filled with green bricks such that a protruding edge is formed on at least one side of the green bricks.

NUCLEIC ACID LIPID NANOPARTICLE WITH LOW NO-LOAD RATE AND PREPARATION METHOD THEREFOR

NºPublicación:  EP4721728A1 08/04/2026
Solicitante: 
CSPC ZHONGQI PHARMACEUTICAL TECH SHIJIAZHUANG CO LTD [CN]
EP_4721728_A1

Resumen de: EP4721728A1

A lipid nanoparticle composition for encapsulating a nucleic acid and a preparation method therefor. In the composition, the proportion of empty lipid nanoparticles containing no nucleic acid to the total number of lipid nanoparticles, i.e., the no-load rate, is no more than 10%. According to the preparation method, the ethanol content in the system is reduced to an acceptable level during particle fusion, so that the particles are fully fused.

LIPID NANOPARTICLE FOR DELIVERING NUCLEIC ACID DRUG, AND PREPARATION METHOD THEREFOR AND USE THEREOF

NºPublicación:  EP4721759A1 08/04/2026
Solicitante: 
CANSINO SHANGHAI BIOLOGICAL RES CO LTD [CN]
EP_4721759_A1

Resumen de: EP4721759A1

0001 A lipid nanoparticle (LNP) composition for delivering a nucleic acid drug, and a preparation method therefor and a use thereof. The composition prepared by mixing a steroid-cationic lipid compound with a helper lipid and a polyethylene glycol modified phospholipid has better stability and transfection efficiency. The use of an LNP to deliver a nucleic acid, such as mRNA, can efficiently and stably deliver a nucleic acid drug to a target cell or organ, and meanwhile, the LNP can be used for aerosol inhalation administration of the mRNA and can also be used for developing a lyophilized preparation of the mRNA. A higher specific antibody response can be induced in an experimental animal, and the compound has better safety.

COMBINATION THERAPY WITH A MTOR INHIBITOR AND A MULTI-TYROSINE KINASE INHIBITOR FOR TREATING SOFT TISSUE SARCOMA

NºPublicación:  EP4719365A1 08/04/2026
Solicitante: 
AADI BIOSCIENCE INC [US]
WO_2024246004_PA

Resumen de: EP1000000A1

The invention relates to an apparatus (1) for manufacturing green bricks from clay for the brick manufacturing industry, comprising a circulating conveyor (3) carrying mould containers combined to mould container parts (4), a reservoir (5) for clay arranged above the mould containers, means for carrying clay out of the reservoir (5) into the mould containers, means (9) for pressing and trimming clay in the mould containers, means (11) for supplying and placing take-off plates for the green bricks (13) and means for discharging green bricks released from the mould containers, characterized in that the apparatus further comprises means (22) for moving the mould container parts (4) filled with green bricks such that a protruding edge is formed on at least one side of the green bricks.

SELF-ASSEMBLED NANOPARTICLE FOR ENHANCING THE AUXILIARY GASTRIC MUCOSAL PROTECTIVE EFFECT OF PIPERINE AND PREPARATION METHOD THEREOF

NºPublicación:  NL2041427A 08/04/2026
Solicitante: 
INSTITUTE OF AGRO PRODUCTS PROC AND DESIGN HAINAN ACADEMY OF AGRICULTURAL SCIENCE [CN]
SANYA INSTITUTE OF HAINAN ACADEMY OF AGRICULTURAL SCIENCES HAINAN EXPERIMENTAL ANIMAL RES CENTER [CN]
NL_2041427_A

Resumen de: NL2041427A

The present invention provides a self—assembled nanoparticle for enhancing the auxiliary gastric mucosal protective effect of piperine and a preparation method thereof. The method includes: dissolving piperine and partridge tea polyphenols, followed by mixing, adjusting a potential of Hydrogen (pH) value, heating, concentrating, purifying, and drying a mixture to obtain the self—assembled nanoparticle. The present invention successfully prepares piperine self-assembled nanoparticles, which can significantly enhance the auxiliary gastric mucosal protective capacity of piperine at a dosage of only mg/kg body weight (b.w.). In addition, the invention separates and recovers piperine and partridge tea polyphenols based on a natural deep eutectic solvent aqueous two—phase system, which not only has the advantages of large extraction capacity, simple operation, mild preparation conditions, high selectivity, greenness and high efficiency, but also overcomes the problems existing in traditional extraction and separation methods such as difficult recovery of purified products, low selectivity and low efficiency.

METHOD FOR TREATING NEURODEGENERATIVE DISEASES

NºPublicación:  EP4719479A2 08/04/2026
Solicitante: 
SUNTEC MEDICAL INC [US]
EP_1000000_PA

Resumen de: WO2025072751A1

The disclosure relates to block copolymer nanoparticles for in vivo therapeutic delivery, and methods therefor. More particularly, the invention relates to polymer nanoparticles, such as reversible addition-fragmentation chain transfer (RAFT) polymer compositions, for delivering nucleotides that encode polypeptides.

NUCLEIC ACID-LIPID NANOPARTICLE COMPOSITION, AND LYOPHILIZED PREPARATION THEREOF, PREPARATION METHOD THEREFOR AND USE THEREOF

NºPublicación:  EP4721733A1 08/04/2026
Solicitante: 
CANSINO BIOLOGICS INC [CN]
CANSINO SHANGHAI BIOLOGICAL RES CO LTD [CN]
EP_4721733_A1

Resumen de: EP4721733A1

The present disclosure relates to a nucleic acid-lipid nanoparticle composition and a lyophilized preparation thereof, and further relates to a preparation method for the composition and a use of the composition. The nucleic acid-lipid nanoparticle composition of the present disclosure comprises lactate, so that the stability of nucleic acid-lipid nanoparticles is improved in a lyophilization process and a prepared lyophilized preparation. According to the present disclosure, the total time of a freeze-drying process for the nucleic acid-lipid nanoparticles can be shortened, and energy consumption and the time cost of product scale-up production can be greatly reduced; the rehydration of lyophilized nucleic acid-lipid nanoparticles is quick, and the total amount of nucleic acids, the encapsulation efficiency, and the nucleic acid integrity are high; in addition, a lyophilized and rehydrated preparation has cell transfection efficiency not significantly different from that of a non-lyophilized nucleic acid-lipid nanoparticle stock solution, and has a high in vivo immune response, even exceeding that of the non-lyophilized nucleic acid-lipid nanoparticle stock solution.

PEPTIDE-CONJUGATED PHAGE-MIMICKING NANOPARTICLES FOR INFLAMMATION FREE WOUND HEALING

NºPublicación:  EP4719489A2 08/04/2026
Solicitante: 
UNIV NOTRE DAME DU LAC [US]
WO_2024246004_PA

Resumen de: EP1000000A1

The invention relates to an apparatus (1) for manufacturing green bricks from clay for the brick manufacturing industry, comprising a circulating conveyor (3) carrying mould containers combined to mould container parts (4), a reservoir (5) for clay arranged above the mould containers, means for carrying clay out of the reservoir (5) into the mould containers, means (9) for pressing and trimming clay in the mould containers, means (11) for supplying and placing take-off plates for the green bricks (13) and means for discharging green bricks released from the mould containers, characterized in that the apparatus further comprises means (22) for moving the mould container parts (4) filled with green bricks such that a protruding edge is formed on at least one side of the green bricks.

PH-SENSITIVE CATIONIC LIPID AND LIPID NANOPARTICLES

NºPublicación:  EP4722195A1 08/04/2026
Solicitante: 
UNIV HOKKAIDO NAT UNIV CORP [JP]
EP_4722195_PA

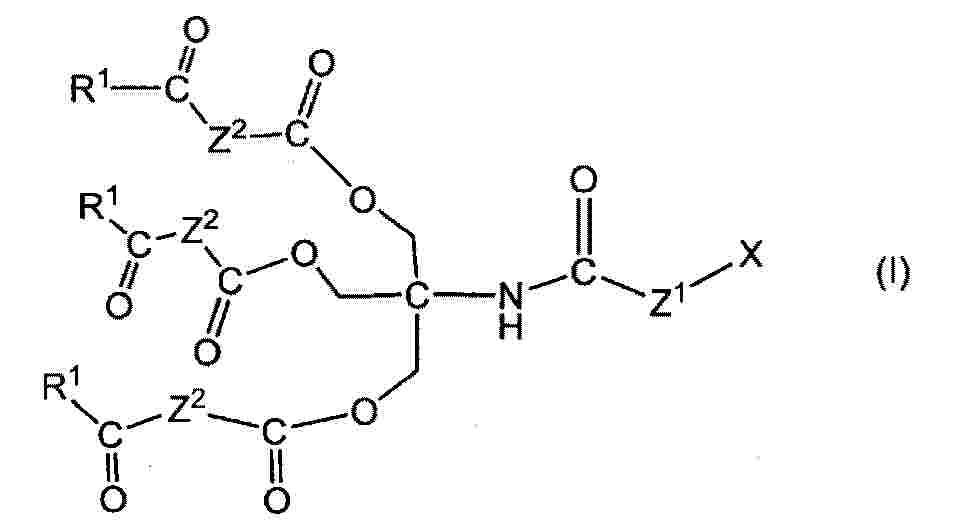
Resumen de: EP4722195A1

Provided are: a pH-sensitive cationic lipid which can be more easily synthesized through a small number of steps without requiring any organometal reaction or use of any relatively expensive starting materials; and lipid nanoparticles including the lipid. Disclosed is a pH-sensitive cationic lipid comprising a compound represented by general formula (I) or (I'), wherein R1, Z2, s, Z1, and X are as defined in the description.

THERMOSTABLE COMPOSITIONS COMPRISING MRNA LIPID NANOPARTICLES

NºPublicación:  EP4719345A1 08/04/2026
Solicitante: 
SANOFI PASTEUR INC [US]
EP_1000000_PA

Resumen de: EP1000000A1

The invention relates to an apparatus (1) for manufacturing green bricks from clay for the brick manufacturing industry, comprising a circulating conveyor (3) carrying mould containers combined to mould container parts (4), a reservoir (5) for clay arranged above the mould containers, means for carrying clay out of the reservoir (5) into the mould containers, means (9) for pressing and trimming clay in the mould containers, means (11) for supplying and placing take-off plates for the green bricks (13) and means for discharging green bricks released from the mould containers, characterized in that the apparatus further comprises means (22) for moving the mould container parts (4) filled with green bricks such that a protruding edge is formed on at least one side of the green bricks.

LIPID NANOPARTICLE FORMULATIONS AND COMPOSITIONS

NºPublicación:  EP4719352A1 08/04/2026
Solicitante: 
CAPSTAN THERAPEUTICS INC [US]
EP_1000000_PA

Resumen de: WO2024246004A1

The present invention relates to a diagnostic method (100) for diagnosing a state of a cell stack (300) of an electrochemical energy converter. The diagnostic method (100) comprises: - connecting (101) a plurality of bipolar plates (301) of the cell stack (300) to a cell voltage measurement system (311), - ascertaining (103) measurement values for each cell (303) of the plurality of cells (303) by means of the cell voltage measurement system (311), - determining (105) a characteristic value for each cell (303) of the plurality of cells (303) on the basis of measurement values ascertained by means of the cell voltage measurement system (311), - comparing (107) the characteristic value with a specified quality criterion, - outputting (109) an error message if the characteristic value does not satisfy the quality criterion, wherein the ascertaining of measurement values is carried out in a dry state of the cell stack (300).

METHODS FOR DIRECTING LIPID NANOPARTICLES IN VIVO

NºPublicación:  EP4720291A1 08/04/2026
Solicitante: 
VERTEX PHARMA [US]
WO_2024246004_PA

Resumen de: WO2024246004A1

The present invention relates to a diagnostic method (100) for diagnosing a state of a cell stack (300) of an electrochemical energy converter. The diagnostic method (100) comprises: - connecting (101) a plurality of bipolar plates (301) of the cell stack (300) to a cell voltage measurement system (311), - ascertaining (103) measurement values for each cell (303) of the plurality of cells (303) by means of the cell voltage measurement system (311), - determining (105) a characteristic value for each cell (303) of the plurality of cells (303) on the basis of measurement values ascertained by means of the cell voltage measurement system (311), - comparing (107) the characteristic value with a specified quality criterion, - outputting (109) an error message if the characteristic value does not satisfy the quality criterion, wherein the ascertaining of measurement values is carried out in a dry state of the cell stack (300).

COMPOUNDS, NANOPARTICLES, AND PHARMACEUTICAL COMPOSITIONS FOR THE TREATMENT OF DRUG ADDICTION

NºPublicación:  EP4719414A2 08/04/2026
Solicitante: 
UNIV NEBRASKA [US]
WO_2024246004_PA

Resumen de: EP1000000A1

The invention relates to an apparatus (1) for manufacturing green bricks from clay for the brick manufacturing industry, comprising a circulating conveyor (3) carrying mould containers combined to mould container parts (4), a reservoir (5) for clay arranged above the mould containers, means for carrying clay out of the reservoir (5) into the mould containers, means (9) for pressing and trimming clay in the mould containers, means (11) for supplying and placing take-off plates for the green bricks (13) and means for discharging green bricks released from the mould containers, characterized in that the apparatus further comprises means (22) for moving the mould container parts (4) filled with green bricks such that a protruding edge is formed on at least one side of the green bricks.

EXOSOME COMPOSITIONS AND METHODS OF USE

NºPublicación:  EP4720280A2 08/04/2026
Solicitante: 
BIOMILQ INC [US]
EP_1000000_PA

Resumen de: EP1000000A1

The invention relates to an apparatus (1) for manufacturing green bricks from clay for the brick manufacturing industry, comprising a circulating conveyor (3) carrying mould containers combined to mould container parts (4), a reservoir (5) for clay arranged above the mould containers, means for carrying clay out of the reservoir (5) into the mould containers, means (9) for pressing and trimming clay in the mould containers, means (11) for supplying and placing take-off plates for the green bricks (13) and means for discharging green bricks released from the mould containers, characterized in that the apparatus further comprises means (22) for moving the mould container parts (4) filled with green bricks such that a protruding edge is formed on at least one side of the green bricks.

一种用于治疗阿尔兹海默症的脂肪组件及其制备方法

NºPublicación:  CN121796420A 07/04/2026
Solicitante: 
特康药业集团有限公司
CN_121796420_A

Resumen de: CN121796420A

本发明属于特殊医学用途配方食品技术领域,尤其涉及一种用于治疗阿尔兹海默症的脂肪组件及其制备方法。制备所述脂肪组件的原料包括按重量份数计算的以下组分:中链甘油三酯、淀粉糖、二氧化硅、酪蛋白酸钠、辛烯基琥珀酸淀粉钠、单,双甘油脂肪酸酯、氢氧化钾;以及神经保护性营养素组合。本发明创造性地将快速供能的中链甘油三酯与具有特定机制的神经保护营养素相结合。中链甘油三酯提供高效的酮体能源;柠檬酸镁稳定神经元兴奋性;烟酰胺核糖支持细胞能量代谢;ω‑3脂肪酸则发挥抗炎和修复神经细胞膜的作用。四种成分从能量供应、神经元稳定、代谢支持和结构修复提供保护,在控制阿尔兹海默症的同时,带来更好的神经功能预后。

一种防治鸡球虫病的中药纳米粒及其制备方法和应用

NºPublicación:  CN121796348A 07/04/2026
Solicitante: 
福建农业职业技术学院
CN_121796348_PA

Resumen de: CN121796348A

本发明提供了一种防治鸡球虫病的中药纳米粒及其制备方法和应用,涉及中兽药技术领域,包括药物组份与响应载体;其中,药物组份由第一煎剂与第二煎剂构成,第一煎剂由黄芪与白术煎制获得,第二煎剂由常山与青蒿煎制获得,二者经分别合并煎液并浓缩后按预设比例形成统一药物组份;响应载体包括琥珀酰化壳聚糖以及含偶氮键的偶氮苯衍生物交联聚合物,药物组份被包埋于响应载体中形成核壳构型的中药纳米粒;通过琥珀酰化壳聚糖在酸性环境下发生溶胀以及偶氮键在偶氮还原酶作用下发生结构变化,使中药纳米粒在鸡球虫病相关肠道环境中更易释放药物组份;本发明还提供中药纳米粒的制备方法以及其在制备防治鸡球虫病的兽药制剂或饲料添加剂中的应用。

具有靶向M2型肿瘤相关巨噬细胞功能的脂质纳米颗粒及其制备方法和应用

NºPublicación:  CN121796349A 07/04/2026
Solicitante: 
北京百替生物技术有限公司
CN_121796349_PA

Resumen de: CN121796349A

本发明提供了一种具有靶向M2型肿瘤相关巨噬细胞功能的脂质纳米颗粒及其制备方法和应用,涉及生物技术领域。本发明提供的具有靶向M2型肿瘤相关巨噬细胞功能的脂质纳米颗粒,以磷酸锰为内核,一方面,具有良好的生物相容性和稳定性,能够保护mRNA免受生物体内的降解,提高负载核酸的递送效率;另一方面,能够激活免疫效应,诱导DNA损伤,激活cGAS‑STING信号通路,增效免疫治疗。脂质纳米颗粒中RP182肽与白蛋白通过二硫键偶联,在肿瘤微环境中二硫键会发生断裂暴露RP182肽,实现对M2型肿瘤相关巨噬细胞的靶向。

M2型巨噬细胞亲和肽及其制备和应用

NºPublicación:  CN121800876A 07/04/2026
Solicitante: 
郑州大学
CN_121800876_A

Resumen de: CN119462842A

The invention belongs to the field of biological medicines, and particularly relates to affinity peptides targeting CD47 and M2 type macrophages. The amino acid sequence of the CD47 affinity peptide is shown as SEQ ID NO: 1, and the amino acid sequence of the M2 type macrophage targeting peptide is shown as SEQ ID NO: 2. The invention also relates to preparation and application of the protein. The preparation comprises the following steps: forming a dual-targeting peptide and a transmembrane fusion protein; the molecules are expressed and synthesized by using nucleic acid molecules, and particularly a polypeptide expression and nano delivery system based on an engineered cell membrane is designed. The molecule provided by the invention can be compatible with CD47 and M2 type macrophage affinity peptide, and after a nano-carrier is designed to be combined with an STING agonist, M2 type macrophages are reprogrammed, so that the anti-tumor immune response is further enhanced.

一种基于阳离子脂肽的肺靶向LNP的制备与应用

Nº publicación: CN121796347A 07/04/2026

Solicitante:

中国药科大学

CN_121796347_PA

Resumen de: CN121796347A

本发明提供了一种基于阳离子脂肽的肺靶向脂质纳米颗粒(LNP)及其制备方法与应用。所述肺靶向LNP由阳离子脂肽、DLin MC3‑DMA、胆固醇和DMG‑PEG 2000组成,能够通过静电相互作用高效包封并压缩核酸,从而获得较高的核酸包封率。基于阳离子脂肽所携带的正电荷,所述LNP能够在血浆中吸附特定生物分子,形成蛋白冠结构,利用该电晕效应促进LNP的肺细胞内吞作用,实现对肺部的高效主动靶向。本发明的LNP能够特异性递送核酸至肺部,并支持稳定的基因表达,适用于肺部相关疾病的治疗。与现有的SORT LNP技术相比,本发明无需额外添加大量阳离子脂肽,总脂质用量较低,展现出更好的生物相容性和安全性。

traducir