Ministerio de Industria, Turismo y Comercio LogoMinisterior
 

Logística: sistemas de gestión

Resultados 629 resultados
LastUpdate Última actualización 01/04/2026 [07:36:00]
pdfxls
Solicitudes publicadas en los últimos 15 días / Applications published in the last 15 days
previousPage Resultados 575 a 600 de 629 nextPage  

一种智慧环卫全场景垃圾收运运输协同系统

NºPublicación:  CN121684765A 17/03/2026
Solicitante: 
湖南中境环保科技有限公司
CN_121684765_PA

Resumen de: CN121684765A

本发明提供了一种智慧环卫全场景垃圾收运运输协同系统,属于信息技术领域。所述系统包括服务器、多个转运站点以及多辆转运车辆,转运站点用于垃圾的接收、压缩和暂存,转运车辆用于在转运站点与终端处理设施之间执行转运任务。服务器与转运站点及转运车辆通信连接,用于采集站点垃圾状态、环境参数及车辆运行数据,并对垃圾收运任务进行统一调度。系统在垃圾倾倒过程中基于人工智能识别算法对垃圾类型进行识别,建立垃圾类型向量,并据此更新不同类型垃圾的等效库存量,并动态协调转运车辆的调配次序和工作时间安排,从而实现垃圾收集、压缩与转运过程的协同控制。

基于物联网的药品存储环境智能监控系统

NºPublicación:  CN121684786A 17/03/2026
Solicitante: 
江苏辰星药业股份有限公司
CN_121684786_PA

Resumen de: CN121684786A

本发明公开了一种基于物联网的药品存储环境智能监控系统,涉及智能监控相关技术领域,该系统包括:采集药品存储环境内的湿度信息、温度信息和光照信息,构建温度分布、湿度分布和光照分布;获得变化光照分布序列、变化湿度分布序列和变化温度分布序列;构建多个时刻存储参数矩阵,获得存储质量分布;获得多个药品部位分布;分析获得综合存储质量信息。解决了现有药品存储环境监控存在的难以实现对存储环境细微变化的实时监测与精准调控,进而导致药品存储监控存在滞后性、无法预测环境变化趋势且药品存储质量评估不准确的技术问题,实现药品存储环境监控的智能化和高效化,达到了提高药品存储管理效率和药品存储质量的技术效果。

一种基于超高频射频感应的仓库管理系统

NºPublicación:  CN121681880A 17/03/2026
Solicitante: 
国网上海市电力公司
CN_121681880_PA

Resumen de: CN121681880A

一种基于超高频射频感应的仓库管理系统,属物资管理领域。包括:货位电子标签系统,托盘电子标签系统,单品货物电子标签,仓库门口/通道射频感应系统和射频感应手持终端盘点系统。在每个货位安装电子标签,为每个托盘安装托盘电子标签,为每个单品货物安装电子标签,通过设置的仓库门口/通道射频感应系统,进而在盘点的过程中,使用射频感应手持终端进行盘点作业,并将读取的数据发送至后台服务器进行处理,通过自动化和智能化管理,减少人为错误和丢失损耗,提高仓库作业效率,降低运营成本,实时准确的库存数据支持,为企业决策提供有力依据;实现了物件从入库到出库的全链条追踪和可视化管理。

一种基于智能航迹与动态调度的无人机精准配送方法

NºPublicación:  CN121684746A 17/03/2026
Solicitante: 
杭州洪奇信息科技有限公司
CN_121684746_PA

Resumen de: CN121684746A

本发明提供了一种基于智能航迹与动态调度的无人机精准配送方法,涉及无人机调度技术领域。包括:在滚动时间窗口内对未承诺航段及新增任务进行筛选,构建优化数据集;利用联合代价函数计算任务收益与代价变化,生成估值数据;通过多智能体强化学习实现任务与航迹分配;并结合协调航迹方案与安全性评估模型进行航迹调整与验证,确保无人机群运行的全局最优与飞行安全。本发明解决了现有无人机配送在动态任务分配与航迹规划之间缺乏紧耦合机制,导致实时响应性差、协同效率低及安全约束难以保障等问题。

退货配置信息推荐、退货协商辅助方法及电子设备

NºPublicación:  CN121684781A 17/03/2026
Solicitante: 
杭州阿里巴巴海外互联网产业有限公司
CN_121684781_PA

Resumen de: CN121684781A

本申请实施例公开了退货配置信息推荐、退货协商辅助方法及电子设备,包括:接收第一用户提交的跨境退货方式信息配置需求信息,所述配置需求信息是通过输入文本的形式进行表达的;以所述配置需求信息作为输入数据调用AI模型,以使得所述AI模型推理出退货信息配置过程中需关注的多个条件元,以便将所述多个条件元进行组合生成至少一个条件文本,并针对所述条件文本进行多种退货方案对应的退货成本预测后,确定所述条件文本对应的至少一种推荐退货方案信息,以及生成推荐理由文本;将所述条件文本对应的推荐退货方案信息以及推荐理由文本返回给客户端。通过本申请实施例,能够提升效率,从降低买卖双方损失的角度,提供更合理的退货方案建议。

西藏区域大气水物质输送量及其变化精细化评估方法

NºPublicación:  CN121684757A 17/03/2026
Solicitante: 
西藏高原大气环境科学研究所
CN_121684757_PA

Resumen de: CN121684757A

本发明公开了西藏区域大气水物质输送量及其变化精细化评估方法,涉及大气诊断技术领域。西藏区域大气水物质输送量及其变化精细化评估方法,包括如下步骤:边界格点筛选、边界格点输送法、区域大气水物质输送量、区域输送变化趋势、结果验证。本发明旨在提升区域大气水物质输送量估算的精度与适用性,尤其针对复杂地形区域如西藏具有显著优势;结合高分辨率再分析资料与降水格点数据进行交叉验证,证明该方法在时间序列变化趋势和空间分布特征上的可靠性;所采用的标准化处理与线性倾向率分析可清晰揭示水汽、云液水及云冰水等分量的长期变化规律,为区域空中水资源管理与气候演变研究提供科学依据。

智能柜的用户行为分析方法及系统

NºPublicación:  CN121684753A 17/03/2026
Solicitante: 
深圳市沐腾科技有限公司
CN_121684753_PA

Resumen de: CN121684753A

本申请提供了一种智能柜的用户行为分析方法及系统,适用于物联网技术领域,该方法包括:对物流关联数据集进行预处理生成各用户对应的交互事件集,对交互事件集进行用户行为特征提取处理获得用户取件行为特征集,并对用户取件行为特征集进行取件偏好分析获得取件偏好元数据集,根据取件偏好元数据集与用户取件行为特征集生成各用户的画像数据,根据画像数据对实时投递任务数据进行各投递任务的派送时间窗推理生成各投递任务对应的派送时间段。本申请通过时空与行为数据融合构建用户画像,进而推理最优派送时间窗,从而提高投递效率并降低柜内拥堵与丢件率。

订单动态跟踪方法、装置、设备及存储介质

NºPublicación:  CN121684773A 17/03/2026
Solicitante: 
上海乾臻信息科技有限公司
CN_121684773_PA

Resumen de: CN121684773A

本发明涉及物流技术领域,公开了一种订单动态跟踪方法,包括:数据集成与处理,构建数据转换矩阵,对多源异构物流数据进行整合并进行特征提取;用户界面优化,获取用户的历史操作数据,预测用户对界面元素的触发概率;地理信息可视化,构建多尺度空间数据展示框架,确定业务实体的移动路线;运输时效预测,获取货物的运输数据,预测货物的预计到达时间;异常处理与响应,若检测到异常时,生成处理建议,并跟踪任务处理状态。本发明实现了多源异构物流数据的标准化整合与特征提取,提升了人机交互的效率和个性化体验,当异常时,系统能基于历史数据智能生成处理建议并跟踪执行状态,全面提升订单跟踪的自动化、智能化水平及整体运营可靠性。

番茄冷藏品质与制冷排放协同优化方法、装置及电子设备

NºPublicación:  CN121684249A 17/03/2026
Solicitante: 
北京市农林科学院信息技术研究中心
CN_121684249_PA

Resumen de: CN121684249A

本申请提供一种番茄冷藏品质与制冷排放协同优化方法、装置及电子设备,包括:采集表征冷藏环境、番茄品质及制冷设备运行状态的多源数据并进行预处理;对预处理后的多源数据进行相关性分析,提取与番茄品质和制冷过程相关的关键特征参数;基于提取的关键特征参数和基于改进xPatch的时序预测模型,预测番茄品质相关指标和制冷排放相关指标;构建与所述番茄品质相关指标和所述制冷排放相关指标相关的目标函数,采用差分进化算法对所述目标函数进行滚动求解,获得冷藏环境参数的最优控制策略;将所述最优控制策略调节下发至冷库控制系统执行。本申请整体上实现了复杂冷库工况下番茄保鲜期的延长、制冷能耗降低和排放减少,提高了冷库运行的智能化水平。

基于物联网的危化品泄漏风险预警方法及系统

NºPublicación:  CN121686724A 17/03/2026
Solicitante: 
中国安全生产科学研究院
CN_121686724_PA

Resumen de: CN121686724A

本发明涉及危化品泄漏预警技术领域,具体公开了基于物联网的危化品泄漏风险预警方法及系统,所述方法包括:S1、通过部署于危化品运输车辆及装卸作业区的物联网传感模块,实时采集多维安全状态数据,所述多维安全状态数据包括用于身份与合规性判定的刚性规则数据和用于安全状态评估的弹性波动数据;本发明通过构建三级判定架构,结合刚性合规检查与弹性波动分析,实现了从静态资质审核到动态风险感知的全流程覆盖,有效克服传统方式中人工巡检滞后、单参数报警误报率高、云端依赖强导致响应延迟等问题,显著提升危化品运输与装卸过程的实时监测精度与风险预警能力。

物流车线装载率与时效监测方法、装置、设备及存储介质

NºPublicación:  CN121684756A 17/03/2026
Solicitante: 
上海乾臻信息科技有限公司
CN_121684756_PA

Resumen de: CN121684756A

本发明涉及信息处理技术领域,尤其涉及一种物流车线装载率与时效监测方法、装置、设备及存储介质,通过从多个异构数据源实时采集运输相关的动态数据,基于预设的统一数据模型和时空关联算法对动态数据进行融合处理,构建车辆、货物、运输事件之间关联的三元组关系链,得到结构化的运输过程信息,基于流处理框架对运输过程信息进行实时计算,并对货物的运输时效达成情况进行预判,基于预设的决策规则,结合装载率状态和运输时效达成预判结果进行装载与时效的动态平衡优化,根据优化信息生成调度决策建议,能同时提高车线装载率和装载货物时效达成率。

一种基于农产品价格分析模型的分析预警方法

NºPublicación:  CN121684627A 17/03/2026
Solicitante: 
湖北航天信息技术有限公司
CN_121684627_PA

Resumen de: CN121684627A

本发明公开了一种基于农产品价格分析模型的分析预警方法,涉及智慧农业与智能供应链管理技术领域,包括以下步骤:整合各主产区的气候数据、历史产量、物流成本及市场交易信息,构建覆盖生产至流通的全链条数据集;基于全链条数据集,采用图卷积网络捕捉主产区间气候影响的时空关联,结合长短期记忆网络提取产量序列的滞后特征。本发明通过构建时空图卷积网络与长短期记忆网络的混合模型,深度挖掘气候数据与产量序列间的时空关联与滞后效应,捕捉如持续干旱等气候胁迫因子在主产区之间的传播规律,使得模型能够突破传统方法的局限,将气候异常的隐性影响显性化,从而对未来的潜在减产风险进行概率化、可视化的精准预测。

一种基于智能感知与边缘计算的仓储物资调度方法及系统

NºPublicación:  CN121684791A 17/03/2026
Solicitante: 
福建网能科技开发有限责任公司
CN_121684791_PA

Resumen de: CN121684791A

本发明涉及一种基于智能感知与边缘计算的仓储物资调度方法及系统,属于仓储调度技术领域。包括以下步骤:通过为仓储设备和物资配置智能感知装置,实时采集多源感知数据;经分级通信策略传输至边缘计算节点,通过数据清洗工具预处理后,输入至改进的路径规划算法输出优化路径;结合调度任务紧急等级,匹配仓储设备资源并确定优先执行任务,由仓储设备控制系统下发控制指令,驱动设备执行调度操作;智能感知装置实时采集设备运行数据,回传至仓储任务管理调度平台进行可视化显示。本发明通过多源数据感知、边缘计算预处理及智能路径规划,实现仓储任务的精准调度与设备高效协同,提升仓储调度的智能化与可靠性。

一种基于零部件重量平衡约束的出库方法

NºPublicación:  CN121684787A 17/03/2026
Solicitante: 
西安航天自动化股份有限公司
CN_121684787_PA

Resumen de: CN121684787A

本申请提供一种基于零部件重量平衡约束的出库方法,包括:基于生产计划信息,确定零部件的总需求量;基于总需求量,确定第一目标所需物料箱集合以及第一出库物料箱数;基于零部件重量,计算每套初始零部件齐套组合的总重量以及初始零部件齐套组合的极差并判断极差是否小于或等于零部件最大设定重量差;若否,则交换初始零部件齐套组合中的同类型零部件,得到第一零部件齐套组合集并计算极差并判断极差是否小于或等于零部件最大设定重量差,若否,则替换第一零部件齐套组合集中的同类型物料箱,得到目标所需物料箱集合以及目标出库物料箱数,以解决目前的立体仓库向装配线配送零部件时,缺乏在齐套过程中对零部件重量属性进行协同优化过程的问题。

一种钢铁行业标签识别方法、系统、存储介质及设备

NºPublicación:  CN121683838A 17/03/2026
Solicitante: 
成都天衡智造科技有限公司
CN_121683838_PA

Resumen de: CN121683838A

本发明公开了一种钢铁行业标签识别方法、系统、存储介质及设备,属于图像识别技术领域,系统包括边缘计算终端、搭载定位相机和多个不同焦距扫码相机的云台。方法包括:通过定位相机持续拍摄获取场景图像;利用训练好的目标识别模型识别图像中的标签目标并计算其与图像中心的位置偏差;根据位置偏差控制云台运动以追踪目标;在追踪稳定后,切换使用不同焦距的扫码相机尝试识别标签上的条码/二维码;通过比对识别出的目标数量与条码/二维码数量,进行云台微调直至完成所有标签目标的识别。本发明实现了对运动钢铁成品标签的自动、实时、精准识别,显著提升了仓库管理效率与作业安全性。

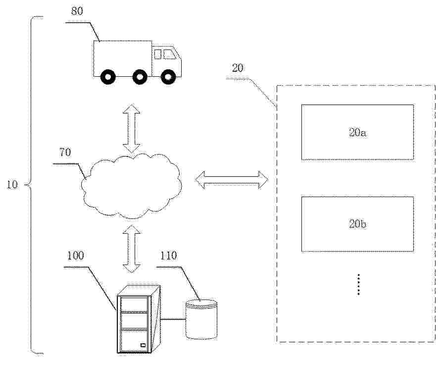
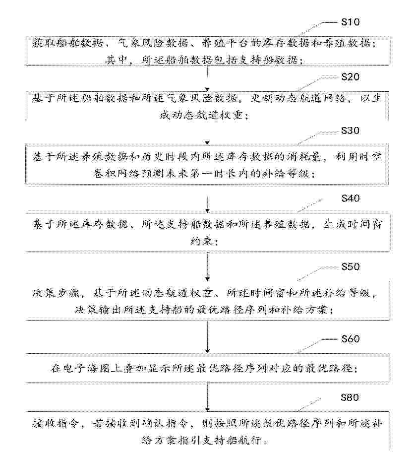
养殖平台物资补给调度方法、设备、介质及程序产品

NºPublicación:  CN121684226A 17/03/2026
Solicitante: 
南方海洋科学与工程广东省实验室(湛江)
CN_121684226_PA

Resumen de: CN121684226A

本申请公开了一种养殖平台物资补给调度方法、设备、介质及程序产品,涉及海洋养殖物资补给技术领域,方法包括:获取船舶数据、气象风险数据、养殖平台的库存数据和养殖数据;基于船舶数据和气象风险数据,更新动态航道网络,生成动态航道权重;基于养殖数据和历史时段内库存数据消耗量,利用时空卷积网络预测补给等级;基于库存数据、支持船数据和养殖数据,生成时间窗约束;基于动态航道权重、时间窗和补给等级,决策支持船的最优路径序列和补给方案;在电子海图上叠加显示最优路径;若接收到确认指令,则按照最优路径序列和补给方案指引支持船航行。本申请在物资补给策略制定时将船舶动态位置与平台库存结合,避免船舶空载率高或物资配送延误。

工程图纸的数据处理方法、装置、电子设备及存储介质

NºPublicación:  CN121681640A 17/03/2026
Solicitante: 
广东亿迅科技有限公司
CN_121681640_PA

Resumen de: CN121681640A

本申请涉及一种工程图纸的数据处理方法、装置、电子设备及存储介质。该方法包括:先接收至少一张工程图纸,对工程图纸进行第一内容校验,获得第一图纸校验结果,针对第一图纸校验结果为校验通过的工程图纸,提取工程图纸的图纸关键属性,再对图纸关键属性进行第二内容校验,将第二内容校验的第二图纸校验结果为校验通过的图纸关键属性封装为图纸数据对象,最后根据用户选择的图纸上传模式,将图纸数据对象上传至产品数据管理系统。本申请提供的方案,能够显著提高工程图纸数据的处理效率和处理精度。

库存机器人及使用库存机器人识别仓库库存中的差异的方法

NºPublicación:  CN121684810A 17/03/2026
Solicitante: 
Y.E.\u4E2D\u5FC3\u4E9A\u7F8E\u5C3C\u4E9A\u6709\u9650\u8D23\u4EFB\u516C\u53F8
CN_121684810_PA

Resumen de: CN121684810A

本申请涉及一种库存机器人及一种使用库存机器人识别仓库库存中的差异的方法。所述方法包含:由所述库存机器人的扫描传感器捕获库存位置处的所述库存的库存数据;及由所述库存机器人的处理器将所述库存数据分类成第一数据集及第二数据集,所述第一数据集在大小上小于所述第二数据集。所述方法进一步包含:由所述库存机器人的所述处理器将所述第一数据集传输到WMS,所述传输用于使所述WMS识别潜在差异。响应于接收到来自所述WMS的请求,由所述库存机器人的所述处理器将所述第二数据集的一部分传输到所述WMS以用于验证所述潜在差异,所述第二数据集的所述部分与所述潜在差异相关联。

一种应用于烟花爆竹仓库的药量自适应识别系统及方法

NºPublicación:  CN121686117A 17/03/2026
Solicitante: 
江苏誉德行言智能科技有限公司
CN_121686117_PA

Resumen de: CN121686117A

本发明公开了一种应用于烟花爆竹仓库的药量自适应识别系统及方法,涉及药量识别技术领域,包括对烟花爆竹仓库进行区域划分;通过仓库数字图对目标区域中堆垛内烟花爆竹堆叠状况进行初步判定,并定义堆叠的随机变量和似然函数,建立堆垛的先验分布,对堆垛存在不同品类烟花爆竹堆叠状况进行分析,确定目标区域中的目标堆垛;分析目标堆垛对不同品类的烟花爆竹的包含状况,得到目标烟花数据;对烟花爆竹仓库中不同目标区域内烟花爆竹的药量进行确定,得到烟花爆竹仓库的药量数据,真正意义上实现了对于烟花爆竹仓库中烟花爆竹药量的准确识别,不仅仅保证了烟花爆竹仓库中烟花爆竹储存效率,还提高了烟花爆竹仓库的安全性。

国际物流路径的优化方法和装置

NºPublicación:  CN121684760A 17/03/2026
Solicitante: 
北京京东远升科技有限公司
CN_121684760_PA

Resumen de: CN121684760A

本发明公开了一种国际物流路径的优化方法和装置,涉及物流运输技术领域。该方法的一具体实施方式包括:对获取的政策文本数据进行实体识别得到政策参数,并基于政策参数确定政策文本数据的影响因子;基于政策参数更新路径计算模型,路径计算模型记录了运输节点之间的成本权重值;获取目标订单的订单信息,并基于订单信息、政策参数和影响因子对目标订单进行路径优化验证;在验证目标订单满足路径优化条件的情况下,基于路径计算模型确定目标订单对应的目标物流路径。该实施方式可以尽量减少对物流成本的增加,以及避免影响物流效率和用户满意度。

一种基于MR眼镜的电力工器具库房管理系统及方法

NºPublicación:  CN121684800A 17/03/2026
Solicitante: 
云南电网有限责任公司曲靖供电局
CN_121684800_PA

Resumen de: CN121684800A

本发明公开一种基于MR眼镜的电力工器具库房管理系统及方法,属于工业物联网与增强现实交叉技术领域。系统采用云‑边‑端协同架构,包括MR眼镜、边缘服务器和后台管理云平台。方法核心在于:构建包含工器具三维模型、标准位姿的数字孪生库房;管理员佩戴MR眼镜进入库房后,通过SLAM技术实时构建空间网格,并与数字孪生基准网格比对,自动高亮异常区域;进而对异常或指定工器具进行识别与位姿解算,并与标准位姿比对,若超差则在MR视野中叠加警示框与归位指引;同时支持凝视、手势交互,实时叠加显示工器具全生命周期信息及任务适用性。实现了从货架级到厘米级姿态的精细化管理,解决了信息孤岛问题,提升了巡检效率与作业安全。

一种基于大模型与规则引擎的电网技术规范书智能审查方法及系统

NºPublicación:  CN121683737A 17/03/2026
Solicitante: 
中国电力科学研究院有限公司国网山东省电力公司菏泽供电公司国网信息通信产业集团有限公司
CN_121683737_PA

Resumen de: CN121683737A

本发明公开了一种基于大模型与规则引擎的电网技术规范书智能审查方法及系统,属于电力信息技术领域。本发明方法,包括:获取与目标电网技术规范书相关的审查材料,并基于预先训练的大语言模型在国家集中采购目录和采购标准模板中抽取出审查要点,根据所述审查要点生成可执行的审查规则代码;对所述审查规则代码进行分级确认,将分级确认后的审查规则代码进行标记后存入规则引擎;将所述审查材料导入所述规则引擎,通过所述规则引擎调用存入的审查规则代码,对所述审查材料进行审查。本发明利用大语言模型自动生成审查规则代码,摆脱了对人工编码的依赖,大幅缩短了规则更新周期。

数字指纹识别

NºPublicación:  CN121686460A 17/03/2026
Solicitante: 
耐克创新有限合伙公司
CN_121686460_PA

Resumen de: JP2024138246A

To provide a method of authenticating an article of clothing.SOLUTION: A method includes providing a machine-readable identifier attached to an article of clothing, each of the plurality of identifying ciphers is disposed in a predetermined discrete area; receiving a scanned image of the machine-readable identifier to detect the identifying ciphers of each of the predetermined discrete areas; retrieving a predetermined stored cipher for each of the predetermined discrete areas; comparing the identifying ciphers of each of the predetermined discrete areas with the predetermined stored ciphers for each of the predetermined discrete areas to determine if each identifying cipher in each predetermined discrete area matches a corresponding stored cipher for each of the respective predetermined discrete areas; and determining that the article of clothing is authentic in response to determining that each identifying cipher in each of the predetermined discrete areas matches the corresponding stored cipher for each of the respective predetermined discrete areas.SELECTED DRAWING: Figure 8

能量网络编织方法、装置、设备、存储介质及程序产品

NºPublicación:  CN121692189A 17/03/2026
Solicitante: 
中国移动通信集团内蒙古有限公司中国移动通信集团有限公司
CN_121692189_PA

Resumen de: CN121692189A

本发明提供一种能量网络编织方法、装置、设备、存储介质及程序产品,涉及物联网技术领域,所述方法包括:根据仓库的数字孪生模型,生成RIS基站发射的射线在所述仓库中的多条传播路径;根据所述传播路径的路径损耗,获得所述仓库的货架间隙中的能量聚焦区域的位置信息;根据所述能量聚焦区域的位置信息、所述仓库的货架间距和无源物联网设备的能量覆盖需求,获得第一能量热点走廊的第一规划区域数据,所述第一能量热点走廊用于为所述无源物联网设备供能;向RIS基站发送所述第一规划区域数据,通过所述RIS基站将射频能量聚焦在所述第一规划区域数据指示的第一能量热点走廊,本发明的方案,解决智能仓储环境存在信号传输稳定性不足的问题。

基于多元均衡的电网应急物资储备优化方法、装置、设备、介质及产品

Nº publicación: CN121684470A 17/03/2026

Solicitante:

国网冀北电力有限公司物资分公司华北电力大学

CN_121684470_PA

Resumen de: CN121684470A

本申请公开了一种基于多元均衡的电网应急物资储备优化方法、装置、设备、介质及产品,涉及电网应急物资储备优化领域。所述方法包括:获取信息数据;构建物资储备需求基础数据库;确定电网应急物资储备动态优化模型;电网应急物资储备动态优化模型包括目标函数和约束条件;采用NSGA‑Ⅱ多目标优化算法基于电网应急物资储备动态优化模型进行求解,确定帕累托最优解集;基于帕累托最优解集进行决策筛选,得到电网应急物资储备优化方案。本申请可实现电网应急物资储备的协调统一,提升应急保障质效,以保障电网安全稳定运行。

traducir