Ministerio de Industria, Turismo y Comercio LogoMinisterior
 

Alerta

Resultados 144 resultados
LastUpdate Última actualización 16/04/2026 [07:37:00]
pdfxls
Solicitudes publicadas en los últimos 150 días / Applications published in the last 150 days
previousPage Resultados 50 a 75 de 144 nextPage  

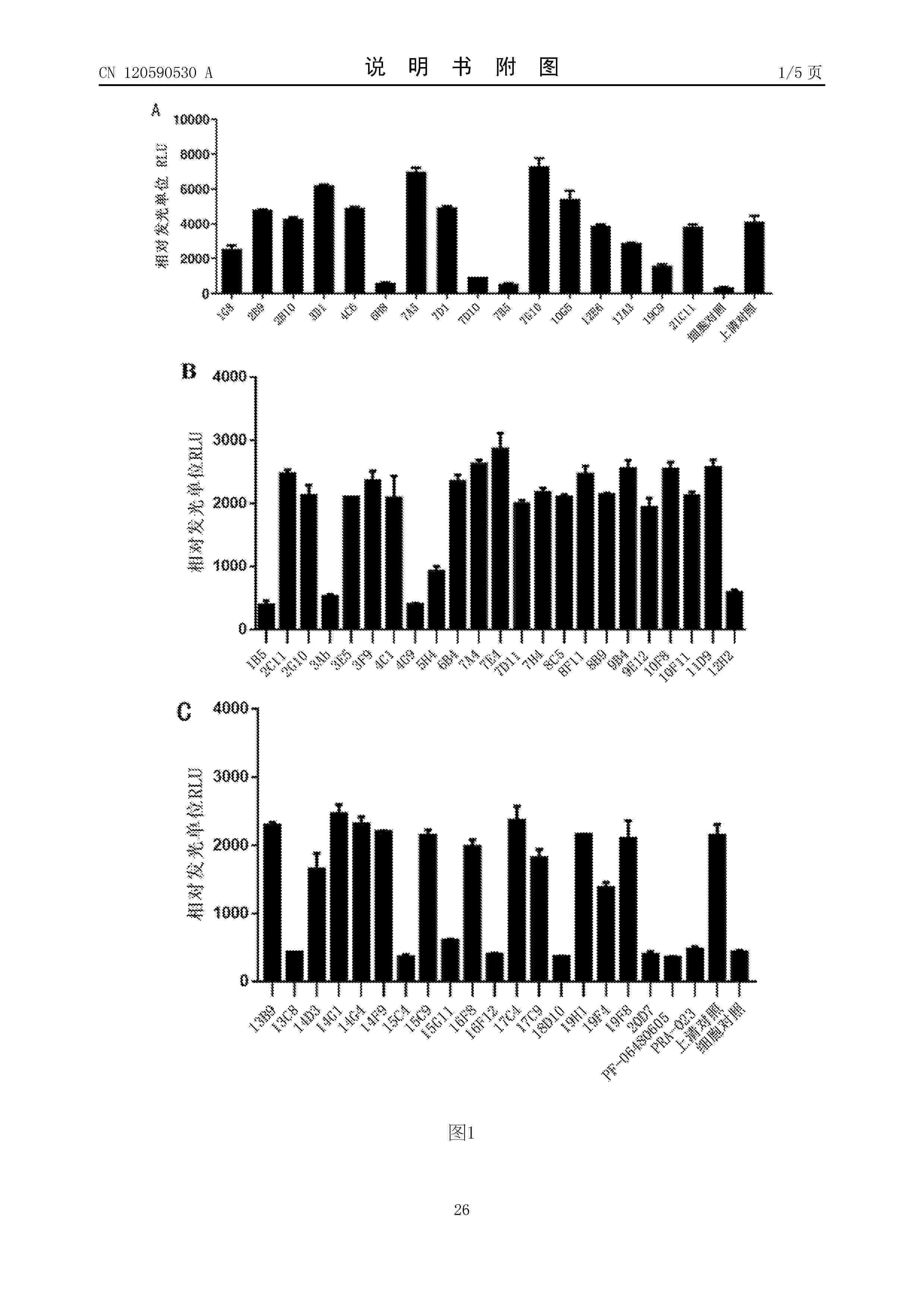
Microbial composition for screening intestinal bacteria transplantation material for treating ulcerative colitis as well as screening method and application of microbial composition

NºPublicación:  CN121294684A 09/01/2026
Solicitante: 
SHENZHEN HOSPITAL OF SOUTHERN MEDICAL UNIV
\u5357\u65B9\u533B\u79D1\u5927\u5B66\u6DF1\u5733\u533B\u9662
CN_121294684_PA

Resumen de: CN121294684A

The invention relates to a microbial composition for screening an intestinal bacteria transplantation material for treating ulcerative colitis (UC) as well as a screening method and application of the microbial composition, and belongs to the technical field of screening of intestinal bacteria transplantation materials. The invention provides a microbial composition for screening an intestinal bacteria transplantation material for treating UC. The microbial composition is prepared from the following microorganisms: Escherichia coli, anaerobe przewalskii, bacteroides shavieri, ruminococcus bromide, parabacteroides faecalis and visceral odorobacter. According to the six characteristic bacteria and the relative abundance of the six characteristic bacteria constructed by the invention, an intestinal bacteria transplantation material with relatively high content of the six bacteria can be screened out, the remission rate of UC treatment can be improved to 89.5%, and intestinal barrier healing of a patient is enhanced. When the kit is used for detecting six characteristic bacteria in the intestinal bacteria transplantation material, the specificity is high, and the sensitivity is strong; and the detection process is simple, non-invasive and low in cost.

METHODS FOR REDUCING DRUG-INDUCED LIVER INJURY

NºPublicación:  US20260008842A1 08/01/2026
Solicitante: 
TEN PEAKS LLC [US]
TEN PEAKS LLC
US_20260008842_A1

Resumen de: US20260008842A1

The present disclosure provides methods of treating a patient with infliximab or alternative therapies to reduce the risk of developing, and/or severity of, an adverse drug reaction such as drug-induced liver injury. The methods include identifying patients at risk for developing DILI by determining the presence or absence of one or more HLA alleles in the patients.

Application of SETD2 and NSD2 in diagnosis and treatment of aging of intestinal stem cells

NºPublicación:  CN121272040A 06/01/2026
Solicitante: 
UNIV SHANGHAI JIAOTONG
\u4E0A\u6D77\u4EA4\u901A\u5927\u5B66
CN_121272040_A

Resumen de: CN121272040A

The invention discloses an application of SETD2 and NSD2 in diagnosis and treatment of aging of intestinal stem cells. Specifically, the invention relates to application of the intestinal stem cell aging marker or the detection reagent thereof, the intestinal stem cell aging marker or the detection reagent thereof is used for preparing a diagnostic reagent or a diagnostic kit, and the diagnostic reagent or the diagnostic kit is used for judging whether intestinal stem cells are aged or not. Wherein the senescence marker combination is prepared from SETD2 and NSD2 (National Solution Development 2). Meanwhile, the invention provides a detection reagent and a kit for the intestinal stem cell marker. The detection reagent or the kit can effectively judge the aging type of the intestinal stem cells, and different effective drugs are effectively used according to different types.

CD early screening marker based on plasma proteomics, application and early screening kit

NºPublicación:  CN121276058A 06/01/2026
Solicitante: 
GUANGDONG PROVINCIAL PEOPLES HOSPITAL
\u5E7F\u4E1C\u7701\u4EBA\u6C11\u533B\u9662
CN_121276058_PA

Resumen de: CN121276058A

The invention provides a Crohn disease early screening marker based on plasma proteomics. The early screening marker comprises the following nine proteins: CD274, CHI 3L1, REG1B, ITGAV, PRSS8, ITGA11, GDF15, DEFA1DEFA1B and IL6. The early screening marker provided by the invention can accurately and non-invasively predict CD as long as 16 years before diagnosis, which provides an important value for early screening of CD high risk groups and formulation of intervention measures. The invention also provides application of the Crohn disease early screening marker and an early screening kit for Crohn disease prediction.

Crohn disease focus automatic segmentation and activity evaluation system based on deep learning

NºPublicación:  CN121280339A 06/01/2026
Solicitante: 
THE FIRST AFFILIATED HOSPITAL OF ANHUI MEDICAL UNIV
\u5B89\u5FBD\u533B\u79D1\u5927\u5B66\u7B2C\u4E00\u9644\u5C5E\u533B\u9662
CN_121280339_PA

Resumen de: CN121280339A

The invention discloses a Crohn disease focus automatic segmentation and activity evaluation system based on deep learning, which belongs to the field of medical artificial intelligence and comprises a data preprocessing unit, a focus automatic segmentation unit, a radiomics feature extraction unit, a feature screening and dimension reduction unit and an activity classification unit. According to the method, an nnU-Net deep learning segmentation model is combined with image omics feature extraction, multi-stage feature screening and machine learning classification technologies, so that full-process automation from CTE image preprocessing, focus automatic segmentation, feature extraction and screening to activity classification is realized. The system can efficiently and accurately segment the focus of Crohn's disease, automatically assesses the disease activity based on the screened key radiomics characteristics, significantly improves the consistency, objectivity and efficiency of diagnosis, and is suitable for clinical auxiliary diagnosis and scientific research analysis.

Application of DDX24 in maintaining homeostasis of intestinal vascular barrier

NºPublicación:  CN121249871A 02/01/2026
Solicitante: 
THE FIFTH AFFILIATED HOSPITAL SUN YAT SEN UNIV
\u4E2D\u5C71\u5927\u5B66\u9644\u5C5E\u7B2C\u4E94\u533B\u9662
CN_121249871_PA

Resumen de: CN121249871A

The invention belongs to the technical field of molecular biology, and discloses application of DDX24 in maintaining the homeostasis of an intestinal vascular barrier. According to the present invention, the low expression of the intestinal microvascular endothelial DDX24 in the inflammatory bowel disease (IBD) is firstly found so as to construct the adult endothelial cell specific DDX24 induced knockout mouse model, the homeostasis of the intestinal vascular barrier (GVB) of the mouse is imbalanced, and the mouse suffers from spontaneous enteritis, such that the intestinal microvascular endothelial cell DDX24 is the important molecule for maintaining the intestinal homeostasis; and mechanism research finds that the intestinal microvascular endothelial cell DDX24 inhibits cell senescence to protect the GVB steady state. The research discloses an important mechanism of DDX24 for protecting GVB homeostasis by inhibiting intestinal microvascular endothelial cell senescence for the first time, and provides a strategy and basis for clinical diagnosis and treatment of IBD vascular barrier.

Mucous membrane healing evaluation method based on energy spectrum CT iodine quantification

NºPublicación:  CN121242609A 02/01/2026
Solicitante: 
THE FIRST AFFILIATED HOSPITAL OF ANHUI MEDICAL UNIV
\u5B89\u5FBD\u533B\u79D1\u5927\u5B66\u7B2C\u4E00\u9644\u5C5E\u533B\u9662
CN_121242609_PA

Resumen de: CN121242609A

The invention discloses a mucous membrane healing evaluation method based on energy spectrum CT iodine quantification, and belongs to the field of medical image processing and clinical diagnose.The mucous membrane healing evaluation method comprises the following steps that an energy spectrum CT intestinal stage scanning image of a patient suffering from Crohn's disease is obtained, and a three-dimensional volume area of a diseased intestinal segment is delineated on an energy spectrum CT iodine substance decomposition graph; selecting a reference blood vessel area, and measuring an iodine concentration value; calculating a normalized iodine concentration value, wherein the normalized iodine concentration value is equal to a result obtained by dividing the iodine concentration value of the lesion intestinal segment by the iodine concentration value of the reference blood vessel region; and comparing the normalized iodine concentration value with a preset threshold value 0.44, if the normalized iodine concentration value is less than 0.44, determining that the mucous membrane is healed, otherwise, determining that the active inflammation is caused. According to the scheme, traditional invasive enteroscopy is replaced with energy spectrum CT image analysis, contraindications of endoscope operation, patient pain and examination blind areas are avoided, the acceptability and examination feasibility of patients are remarkably improved, and the method is particularly suitable for p

ORAL-GUT-BRAIN AXIS VIROME/MICROBIOME FOR PERIODONTITIS, IRRITABLE BOWEL DISEASE AND ALZHEIMER'S DISEASE DIAGNOSTICS

NºPublicación:  WO2026006246A1 02/01/2026
Solicitante: 
THE REGENTS OF THE UNIV OF CALIFORNIA [US]
THE REGENTS OF THE UNIVERSITY OF CALIFORNIA

Resumen de: WO2026006246A1

The disclosure provides an evaluation of the virome in health and disease of the oral-gut-brain axis, in particular, periodontitis, irritable bowel disease (IBD) and Alzheimer's Disease (AD). For Alzheimer's disease, a striking feature was found via metagenomics of brain autopsy specimens - the presence of parvoviridae (comprised of erythoviruses and erythroparvoviruses) in the brains of individuals diagnosed with Alzheimer's Disease (AD) but not in brains from age-matched healthy individuals without a medical diagnosis of AD. For IBD, For Periodontitis and IBD, an analysis revealed the top 20 most abundant viral and bacterial species in saliva samples from individuals with periodontal disease or with a healthy periodontium and the top viral and bacterial species in stool samples from individuals with irritable bowel syndrome or with gastrointestinal health. Building upon these discoveries, a number of diagnostic methods and materials for AD and IBD are described herein.

MICROBIAL METABOLITES ON INTESTINAL INFLAMMATION

NºPublicación:  US20260000713A1 01/01/2026
Solicitante: 
CEDARS SINAI MEDICAL CENTER [US]
THE REGENTS OF THE UNIV OF CALIFORNIA [US]
US DEPARTMENT OF VETERANS AFFAIRS
CEDARS-SINAI MEDICAL CENTER,
THE REGENTS OF THE UNIVERSITY OF CALIFORNIA,
UNITED STATES OF AMERICA AS REPRESENTED BY THE DEPARTMENT OF VETERANS AFFAIRS
US_20260000713_PA

Resumen de: US20260000713A1

Provided herein are methods of predicting a likelihood that a subject will develop ileitis, intestinal fibrosis or colitis based on an amount of acetate or acetate-producing bacteria detected in a sample obtained from a subject. Certain genetic risk variants at TNF super-family member 15 (TNFSF15) may also be detected. Methods, systems and kits for treatment of develop ileitis, intestinal fibrosis or colitis are also provided, which include inhibitors of acetate or acetate-producing bacteria, or targeting biologic therapeutics, such as inhibitors of Tumor necrosis factor (TNF)-like cytokine 1A (TL1A).

REVERSIBLE BACTERIAL PHSE-VARIATIONS AND USES THEREOF IN DIAGNOSTIC AND THERAPEUTIC APPLICATIONS

NºPublicación:  EP4669767A1 31/12/2025
Solicitante: 
TECHNION RES & DEV FOUNDATION [IL]
MIGAL GALILEE RES INSTITUTE LTD [IL]
Technion Research & Development Foundation Limited,
Migal Galilee Research Institute Ltd
WO_2024176230_A1

Resumen de: WO2024176230A1

The present disclosure relates to reversible phase variations in bacteria e.g., residing in a microbiome or any environment, and uses thereof in determining a physiological and/or environmental condition or state of a subject or a media and/or or habitat. The present disclosure thus provides methods and personalized therapeutic methods and kits.

Noninvasive intestinal flora fixed-point sampling and drug release device

NºPublicación:  CN121196614A 26/12/2025
Solicitante: 
GENERAL HOSPITAL OF WESTERN THEATER COMMAND OF PLA
\u4E2D\u56FD\u4EBA\u6C11\u89E3\u653E\u519B\u897F\u90E8\u6218\u533A\u603B\u533B\u9662
CN_121196614_PA

Resumen de: CN121196614A

The invention discloses a non-invasive intestinal flora fixed-point sampling and drug release device, and belongs to the technical field of micro-ecological diagnosis and treatment. The device comprises a shell, an internal storage bin, a medicine loading cavity and a channel switching mechanism. The shell adopts a capsule-shaped design, and an enteric coating is arranged on the surface of the shell, so that the function is started after the shell reaches a specified position of an intestinal tract. Through the internal ingenious mechanism linkage design, the device can firstly complete non-invasive fixed-point sampling of intestinal contents, and after the sampling action is completed, a drug release mechanism is automatically triggered, so that accurate drug delivery of the same part is realized. Cooperative operation of sampling and drug release in time sequence and space is achieved, and the problems of pain, disjunction of the diagnosis and treatment process, poor drug targeting and the like caused by traditional invasive operation are effectively solved. The device is flexible in structural design, has the advantages of being noninvasive, efficient, accurate in time sequence control and the like, and is suitable for integrated application of diagnosis and treatment of various digestive tract diseases such as inflammatory bowel disease management, micro-ecological regulation and the like.

METHODS FOR ASSESSING MUCOSAL HEALING IN INFLAMMATORY BOWEL DISEASE PATIENTS

NºPublicación:  US2025389717A1 25/12/2025
Solicitante: 
PROMETHEUS LABORATORIES INC [US]
Prometheus Laboratories Inc
US_2024230640_A1

Resumen de: US2025389717A1

The present disclosure provides methods for assessing mucosal healing in a patient with Crohn's Disease. The methods include detecting expression levels of analytes in a serum sample from a patient, and applying a mathematical algorithm to the expression levels, thereby producing a Mucosal Healing Index score for the patient. The present disclosure also provides kits that include two or more binding partners, each or which is capable of binding a different analyte measured in the disclosed mucosal healing assessment methods.

NOVEL MITOCHONDRIA-TARGETING COMPOUNDS

NºPublicación:  EP4667476A1 24/12/2025
Solicitante: 
CATHOLIC UNIV KOREA IND ACADEMIC COOPERATION FOUNDATION [KR]
EP_4667476_PA

Resumen de: EP4667476A1

0001 The present disclosure relates to a technique for synthesizing with high yield a novel compound targeting mitochondria through a simple process, and the novel compound synthesized thereby. The novel compound targeting mitochondria of the present disclosure can be synthesized with high yield through a simple process and the compound thus prepared and nanoparticles containing same exhibit the therapeutic effects of targeting mitochondria, inhibiting gastric cancer, and treating inflammatory bowel disease, and systemic sclerosis and thus can be utilized for mitochondrial targeting applications, as anticancer compositions, or as therapeutic compositions for immune diseases.

C3-HNE测定

NºPublicación:  CN121175574A 19/12/2025
Solicitante: 
北欧生物科技公司
CN_121175574_A

Resumen de: WO2024240709A1

The present invention relates to methods of immunoassay for detecting HNE-generated fragments of the α1 chain of type III collagen in a patient sample, and the use thereof for detecting and/or monitoring inflammatory bowel disease (IBD) or a particular level of severity thereof in a patient. The present invention also relates to monoclonal antibodies and assay kits for use in said methods of immunoassay.

METHODS FOR THE DETECTION OF CIRCULATING MICROCLOTS AND NEUTROPHIL EXTRACELLULAR TRAPS IN INFLAMMATORY CONDITIONS

NºPublicación:  WO2025257752A1 18/12/2025
Solicitante: 
UNIV DE MONTPELLIER [FR]
INSTITUT NATIONAL DE LA SANTE ET DE LA RECH MEDICALE [FR]
INST REGIONAL DU CANCER DE MONTPELLIER [FR]
STELLENBOSCH UNIV [ZA]
UNIVERSITE DE MONTPELLIER,
INSTITUT NATIONAL DE LA SANTE ET DE LA RECHERCHE MEDICALE,
INSTITUT REGIONAL DU CANCER DE MONTPELLIER,
STELLENBOSCH UNIVERSITY
WO_2025257752_A1

Resumen de: WO2025257752A1

This invention relates to methods of detecting inflammatory disease in a subject by detecting circulating microclots, based on combined detection or co-detection of fibrin amyloid microclots and components from Neutrophil Extracellular Traps in a sample from the subject, wherein an increased presence of fibrin amyloid microclots and NETs in the sample compared to a control or reference value is indicative of inflammatory disease in the subject. The invention also relates to kits for detecting circulating microclots to be used in the methods of detecting inflammatory disease.

SIGNATURES OF RESPONSE TO LOW-DOSE INTERLEUKIN-2 (IL2) TREATMENT IN INFLAMMATORY BOWEL DISEASE

NºPublicación:  WO2025259880A1 18/12/2025
Solicitante: 
THE CHILDRENS MEDICAL CENTER CORP [US]
THE BRIGHAM AND WOMENS HOSPITAL INC [US]
THE CHILDREN'S MEDICAL CENTER CORPORATION,
THE BRIGHAM AND WOMEN'S HOSPITAL, INC
WO_2025259880_A1

Resumen de: WO2025259880A1

Provided herein are materials and methods for determining responsiveness of any therapy that enhances regulatory T cell (Treg) function in the treatment of inflammatory bowel disease (IBD). The materials and methods provided herein may be used to determine low dose IL- 2 responsiveness in a subject having an inflammatory bowel disease. The materials and methods can be used to determine low dose IL- 2 responsiveness in a blood sample prior to administering a low dose IL-2 therapy.

BACTERIOTHERAPY FOR CLOSTRIDIUM DIFFICILE COLITIS

NºPublicación:  EP4663746A2 17/12/2025
Solicitante: 
FERRING MICROBIOME INC [US]
Ferring Microbiome Inc
EP_4663746_PA

Resumen de: EP4663746A2

This document discusses, among other things, receiving a plurality of donor fecal samples from a plurality of donors and storing and indexing each respective donor fecal samples using at least one characteristic of the respective donor fecal sample. In an example, the donor fecal sample can be screened and processed for subsequent use in fecal bacteriotherapy to displace pathogenic or undesired organisms in the digestive track of a patient with healthy or desirable gut micriobiota.

Differential diagnosis model (BC-ACTUAL) for Crohn disease and gastrointestinal behcet disease and application thereof

NºPublicación:  CN121148713A 16/12/2025
Solicitante: 
PEKING UNIV PEOPLES HOSPITAL
\u5317\u4EAC\u5927\u5B66\u4EBA\u6C11\u533B\u9662
CN_121148713_A

Resumen de: CN121148713A

The invention discloses a differential diagnosis model (BC-ACTUAL) for Crohn's disease and gastrointestinal behcet disease and application of the differential diagnosis model. Specifically, the invention discloses application of an index combination (Age, C4, TP, UA, ALP and LDH) or a reagent for detecting the index combination in preparation of a product for differential diagnosis of Crohn's disease and gastrointestinal behcet disease. The invention also discloses a logistic regression model established by using the index combination and a scoring system. The model has the characteristics of high sensitivity, good specificity, economy, high efficiency and convenience, can accurately identify and diagnose the Crohn's disease and the gastrointestinal Behcet's disease, is suitable for clinically identifying the Crohn's disease and the gastrointestinal Behcet's disease, helps a clinician to preliminarily distinguish the Crohn's disease and the gastrointestinal Behcet's disease under the condition that only common laboratory indexes are used, and improves the detection accuracy of the Crohn's disease and the gastrointestinal Behcet's disease. The situation that the optimal treatment opportunity of a patient is delayed due to misdiagnosis can be avoided, optimal disease management is achieved, and the good clinical application value is achieved.

Application of histidine as biomarker in predicting treatment effect of patients with inflammatory bowel disease

NºPublicación:  CN121142055A 16/12/2025
Solicitante: 
SUN YAT SEN UNIV
THE SIXTH AFFILIATED HOSPITAL SUN YAT SEN UNIV
\u4E2D\u5C71\u5927\u5B66,
\u4E2D\u5C71\u5927\u5B66\u9644\u5C5E\u7B2C\u516D\u533B\u9662
CN_121142055_PA

Resumen de: CN121142055A

The invention discloses application of protecting histidine as a biomarker in predicting the treatment effect of patients with inflammatory bowel diseases. By detecting the histidine level in the plasma of the patient with the inflammatory bowel disease, the responsiveness of the patient with the inflammatory bowel disease to the thiopurine medicine can be effectively predicted in the initial treatment stage, then the treatment effect of the patient is predicted, formulation of an individualized treatment scheme is achieved, and the treatment accuracy and effectiveness are remarkably improved; the invention further provides application of histidine in preparation of a product for reducing the inflammation level, the TNF-alpha level can be effectively reduced by additionally adding histidine in the treatment process, and then the anti-inflammation effect is achieved.

Fluorescent probe for detecting cadaverine as well as preparation method and application of fluorescent probe

NºPublicación:  CN121108103A 12/12/2025
Solicitante: 
CHONGQING MEDICAL UNIV
\u91CD\u5E86\u533B\u79D1\u5927\u5B66
CN_121108103_A

Resumen de: CN121108103A

In meat freshness evaluation, biogenic amines, especially cadaverine, are key indexes. The novel fluorescent probe ZY1 provided by the invention reacts with cadaverine to realize efficient and rapid detection of meat freshness. The probe has excellent selectivity and ultralow detection limit (LDD = 13.8 nM), and is accompanied by remarkable fluorescence color conversion (light red to bright green). Based on the characteristic, the ZY1 is innovatively integrated with RGB analysis software of a smart phone, and a reliable linear relation between a G/B value and food preservation time is established by shooting a meat extracting solution loaded with the ZY1, so that real-time and portable detection of the food freshness is realized. In view of specific up-regulation of cadaverine biosynthesis in ulcerative colitis (UC), the research further proves the application potential of ZY1 in UC noninvasive auxiliary diagnosis. In addition, ZY1 also shows expanded application in the technical fields of preparation of novel fluorescent materials and information transmission.

ANGIOTENSIN-CONVERTING ENZYME AND/OR ANGIOTENSIN-CONVERTING ENZYME 2 AS FECAL BIOMARKERS, METHODS AND USES THEREOF

NºPublicación:  WO2025253316A1 11/12/2025
Solicitante: 
UNIV DO PORTO [PT]
REQUIMTE REDE DE QUIM E DE TECNOLOGIA ASSOCIACAO [PT]
UNIVERSIDADE DO PORTO,
REQUIMTE - REDE DE QUIMICA E DE TECNOLOGIA - ASSOCIA\u00C7\u00C3O
WO_2025253316_A1

Resumen de: WO2025253316A1

The present disclosure relates to the use of angiotensin-converting enzyme and/or angiotensin-converting enzyme 2 as a fecal biomarker for the diagnosis of a disease or disorder related to the renin-angiotensin-aldosterone system, and also to the use of angiotensin-converting enzyme and angiotensin-converting enzyme 2 isoforms as fecal biomarkers for the detection of dysbiosis.

MICROBIAL CONSORTIUM FOR USE IN A RAPID SCREENING METHOD FOR IRRITABLE BOWEL SYNDROME

NºPublicación:  WO2025253423A1 11/12/2025
Solicitante: 
WELLMICRO S R L [IT]
WELLMICRO S.R.L
WO_2025253423_PA

Resumen de: WO2025253423A1

A new microbial consortium for use in a rapid screening method for irritable bowel syndrome (IBS) and possibly as a target for the therapeutic treatment of an IBS condition in a subject.

PREDICTING NON-RESPONSIVENESS OF IBD PATIENTS

NºPublicación:  AU2024260758A1 11/12/2025
Solicitante: 
NAVOLAB DIAGNOSZTIKA KFT
NAVOLAB DIAGNOSZTIKA KFT
AU_2024260758_A1

Resumen de: AU2024260758A1

Predicting non-responsiveness of IBD patients The present invention relates to an in vitro method for predicting the responsiveness of an IBD patient to a therapy with an intracellularly acting immunosuppressive agent of interest, wherein a sample is provided from the IBD patient at an initial period of a treatment with the immunosuppressive agent of interest, said sample comprising effector mononuclear cells, and responsiveness is predicted from the difference between a multidrug ABC transporter activity level in the effector mononuclear cells in said sample and a reference transporter activity level. The method is useful in a treatment of IBD, e.g. in monitoring the progress of the disease or in a decision on a shift from an initial treatment with an agent to another agent like csDMARD or tsDMARD.

SIGNATURE OF TL1A (TNFSF15) SIGNALING PATHWAY

NºPublicación:  US2025376514A1 11/12/2025
Solicitante: 
CEDARS SINAI MEDICAL CENTER [US]
Cedars-Sinai Medical Center
US_2025376514_A1

Resumen de: US2025376514A1

The present invention relates to the finding that TL1A enhances differentiation of TH17 cells, and enhance IL-17 secretion from TH17 cells. In one embodiment, the present invention provides a method of treating an inflammatory disease comprising determining the presence of a TL1A signaling profile, and treating the disease by administering a composition comprising a therapeutically effective dosage of one or more inhibitors of TL1A or TH17 cell differentiation. In another embodiment, the disease is characterized by TH17 differentiation.

C4A3-HNE AND C4A4-HNE ASSAY

Nº publicación: EP4659026A1 10/12/2025

Solicitante:

NORDIC BIOSCIENCE AS [DK]
Nordic Bioscience A/S

KR_20250137696_PA

Resumen de: AU2024213780A1

Disclosed herein are methods of immunoassay for detecting HNE-generated fragments of the α3 chain or α4 chain of type IV collagen in a patient sample, and the use thereof for detecting and/or monitoring inflammatory bowel disease (IBD) or a particular level of severity thereof in a patient. Also disclosed are monoclonal antibodies and assay kits for use in said methods of immunoassay.

traducir