Ministerio de Industria, Turismo y Comercio LogoMinisterior
 

Alerta

Resultados 541 resultados
LastUpdate Última actualización 19/04/2026 [06:53:00]
pdfxls
Solicitudes publicadas en los últimos 15 días / Applications published in the last 15 days
previousPage Resultados 225 a 250 de 541 nextPage  

一种智能柜商品及时配送方法、系统、程序产品及存储介质

NºPublicación:  CN121836527A 10/04/2026
Solicitante: 
上海数与实业集团有限公司上海卫与技术研究中心
CN_121836527_PA

Resumen de: CN121836527A

本申请提供了一种智能柜商品及时配送方法、系统、程序产品及存储介质,涉及电数字数据处理技术领域。通过智能柜操作中产生的原始用户数据构建用户画像,能够理解用户的个体偏好与行为模式,实现了从“千人一面”到“千人千面”的本质改变。在此基础上,预测用户潜在需求并利用加权因子匹配模型进行筛选,使得商品推荐不再依赖于滞后的统计数据,而是基于对用户未来意图的预判。从而提升了推荐内容的精准度与用户交互的转化率,改善了因信息错配导致的即时配送服务失效问题。

一种铁路运输计划动态管理方法及系统

NºPublicación:  CN121836532A 10/04/2026
Solicitante: 
陕西铁路工程职业技术学院
CN_121836532_PA

Resumen de: CN121836532A

本发明涉及铁路运输管理技术领域,旨在解决传统铁路运输计划管理数据碎片化、预判精准度低、协同失衡及反馈不精准的问题,提供一种铁路运输计划动态管理方法及系统。方法包括:多源异构数据经边缘预处理(滑动窗口滤波、LZ4压缩)、异构融合后上传联盟链存证(延迟≤3秒);构建BIM‑GIS数字孪生体仿真,改进型LSTM(准确率≥92%)预判异常;双矩阵(需求紧迫性‑资源约束)结合层次分析法评估优先级;博弈论定利益权重加分布式粒子群优化调度;分级闭环反馈迭代。系统含数据融合存证、孪生仿真预判等模块及混合存储。本发明实现运输计划主动预判与协同优化,提升数据可信度、预判精度及管理效率,平衡多方利益。

一种肥料仓储的智能盘点方法及系统

NºPublicación:  CN121836589A 10/04/2026
Solicitante: 
杨凌霖科生态科技有限公司
CN_121836589_PA

Resumen de: CN121836589A

本发明涉及仓储物流与智能盘点技术领域,尤其涉及一种肥料仓储的智能盘点方法及系统。方法包括步骤:首先利用三维扫描获取肥料堆体点云并进行离散化建模;其次基于土力学与粉体工程理论,根据堆体自重应力,利用压缩指数模型计算孔隙率与堆密度的非线性垂直梯度分布;接着结合环境湿度与堆存时长构建环境修正因子,对局部密度进行动态补偿;最后通过对修正后的密度场进行积分并汇总,实现全仓总库存的精准核算。本发明能够精准量化物理压实与环境因素对肥料密度的综合影响,显著提高散装肥料的盘点精度。

一种基于物联网的危化品运输风险预测方法及系统

NºPublicación:  CN121836540A 10/04/2026
Solicitante: 
江苏安派客物联科技有限公司
CN_121836540_PA

Resumen de: CN121836540A

本发明涉及数据分析技术领域,具体为一种基于物联网的危化品运输风险预测方法及系统,包括获取运输车辆货厢内各货物单元的危化品类别信息,识别耦合风险对,提取禁忌反应类型及耦合触发条件参数集;根据耦合风险对所涉及货物的分区位置信息,配置气体交叉检测模式,检测与相邻区危化品特征气体;结合阈值参数动态调整相关分区传感器的采样频率和报警阈值;判定耦合风险前兆触发,提取耦合风险前兆触发对应禁忌反应的动力学特性,根据温度与反应速率的关系估算禁忌反应从当前状态演化至危险程度所需的时间窗口,将时间窗口作为安全干预时限输出;当安全干预时限低于预设阈值时,根据耦合风险类型检索对应的阻断措施,下发控制指令执行阻断操作。

一种基于分散搜索算法的电子标签辅助拣选方法及系统

NºPublicación:  CN121835717A 10/04/2026
Solicitante: 
上海润濡物流科技有限公司
CN_121835717_PA

Resumen de: CN121835717A

本发明提供一种基于分散搜索算法的电子标签辅助拣选方法及系统,所述方法包括:构建双段两层编码表示调度方案,并基于预设约束条件随机生成初始种群;结合基于分拣系统硬件结构的仿真计算初始种群中每个个体的最大完工时间,并将其倒数作为适应度值;按适应度值排序,筛选出高质量和多样化的个体组成参考集;在参考集中组合高质量解与多样性解为父代进行交叉操作生成子代个体,据此更新种群并重新构建参考集;经多轮迭代后将适应度值最高的个体作为全局最优解,解码为控制指令执行分拣。本发明通过全局协同优化框架,解决周转箱排序与拣选单分配割裂问题,实现拣选单动态均衡分配,避免拣选台负载不均,显著提升系统动态适应性和整体效率。

数据筛选方法及装置

NºPublicación:  CN121836517A 10/04/2026
Solicitante: 
浙江天猫技术有限公司
CN_121836517_PA

Resumen de: CN121836517A

本说明书实施例提供数据筛选方法及装置。其中,所述数据筛选方法包括:获取目标打包集合,其中,目标打包集合中包括至少一个待打包对象和各待打包对象对应的对象属性信息;基于所述目标打包集合中各待打包对象对应的对象属性信息,确定所述目标打包集合对应的至少一个包材组合信息,并获取各包材组合信息对应的参考包材资源信息;基于各参考包材资源信息在至少一个包材组合信息中选取目标包材组合信息。通过本说明书提供的方法,节省包材资源。

一种设备属性统一管理系统

NºPublicación:  CN121836570A 10/04/2026
Solicitante: 
慧电科技(苏州)有限公司
CN_121836570_PA

Resumen de: CN121836570A

本发明涉及设备管理技术领域,公开了一种设备属性统一管理系统,该系统包括:设备信息存储模型、物模板体系与主数据管理体系、物料型号数据源以及测点管理体系,设备信息存储模型用于将设备作为物,建立物信息表,将设备的特有属性作为主数据,建立物主数据表;存储物料型号与主数据的关联关系表;构建物料型号库,进行结构化设计,得到物料型号数据源;测点管理体系管理测点,本发明通过建立设备信息存储模型统一存储设备信息,增强灵活性和可扩展性,建立统一的物模板体系和主数据管理体系,规范设备属性管理,将物料型号库构建为物料型号数据源,为设备属性的自动填充奠定数据基础,测点管理体系统一管理测点,保证测点管理的规范性和效率。

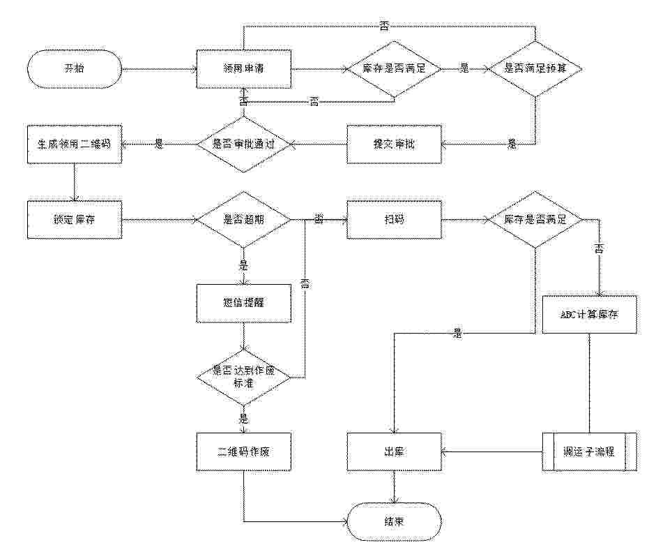
一种基于二维码技术的领用方法及系统

NºPublicación:  CN121836562A 10/04/2026
Solicitante: 
山东浪潮数字商业科技有限公司
CN_121836562_PA

Resumen de: EP1000000A1

The invention relates to an apparatus (1) for manufacturing green bricks from clay for the brick manufacturing industry, comprising a circulating conveyor (3) carrying mould containers combined to mould container parts (4), a reservoir (5) for clay arranged above the mould containers, means for carrying clay out of the reservoir (5) into the mould containers, means (9) for pressing and trimming clay in the mould containers, means (11) for supplying and placing take-off plates for the green bricks (13) and means for discharging green bricks released from the mould containers, characterized in that the apparatus further comprises means (22) for moving the mould container parts (4) filled with green bricks such that a protruding edge is formed on at least one side of the green bricks.

一种基于数字孪生的智慧港口全生命周期管理方法、系统、电子设备及存储介质

NºPublicación:  CN121836316A 10/04/2026
Solicitante: 
中交第一航务工程勘察设计院有限公司
CN_121836316_PA

Resumen de: CN121836316A

本发明公开了一种基于数字孪生的智慧港口全生命周期管理方法、系统、电子设备及存储介质,属于智慧港口数字化与智能化管理技术领域,包括:构建数字孪生模型,对数字孪生模型进行调整获得优化数字孪生模型;融合修正得到候选状态更新模型;进行准确性验证,验证误差满足预设收敛条件时,输出更新数字孪生模型;识别维护需求和/或运营优化点,通过决策规则引擎生成初步管理决策建议;将初步管理决策建议进行模拟验证,进行调整优化直至验证结果满足预设效果判定条件时,输出可执行管理决策参数。本发明面向港口规划、建设、运营与退役阶段建立全生命周期数字孪生模型,使港口跨阶段数据与评估链条保持连续,提升全生命周期管理的系统性与一致性。

一种基于云平台的乳品溯源管理系统

NºPublicación:  CN121836757A 10/04/2026
Solicitante: 
陕西尤爱倍特乳业有限公司
CN_121836757_PA

Resumen de: EP1000000A1

The invention relates to an apparatus (1) for manufacturing green bricks from clay for the brick manufacturing industry, comprising a circulating conveyor (3) carrying mould containers combined to mould container parts (4), a reservoir (5) for clay arranged above the mould containers, means for carrying clay out of the reservoir (5) into the mould containers, means (9) for pressing and trimming clay in the mould containers, means (11) for supplying and placing take-off plates for the green bricks (13) and means for discharging green bricks released from the mould containers, characterized in that the apparatus further comprises means (22) for moving the mould container parts (4) filled with green bricks such that a protruding edge is formed on at least one side of the green bricks.

订单配送难度标注方法、装置、电子设备及可读存储介质

NºPublicación:  CN121836524A 10/04/2026
Solicitante: 
拉扎斯网络科技(上海)有限公司
CN_121836524_PA

Resumen de: CN121836524A

本申请公开了一种订单配送难度标注方法、装置、电子设备及可读存储介质,涉及互联网技术领域,提升订单配送难度评估的准确性,使订单分配更加合理,在避免造成配送资源浪费、减轻骑手压力的同时,提升订单履约的效率与准确性。所述方法包括:获取多个样本订单,对每个样本订单的取货过程和送货过程进行地理难度分析,以确定地理难度稳定的目标样本商家;对多个样本订单配送时长进行时长分位数统计,得到商家相关分位数信息和区域相关分位数信息;基于商家相关分位数信息和区域相关分位数信息,对目标样本商家的多个历史订单进行分析,确定配送难度标签;在检测到产生与目标样本商家相关的待配送订单时,采用配送难度标签对待配送订单进行标注。

一种用于物流TMS系统的数据采集系统

NºPublicación:  CN121836531A 10/04/2026
Solicitante: 
中宝智运(吉林)科技有限公司
CN_121836531_PA

Resumen de: CN121836531A

本发明提供一种用于物流TMS系统的数据采集系统,涉及物流管理技术领域。该用于物流TMS系统的数据采集系统,包括:任务市场平台模块,用于接收来自TMS系统的数据需求,将其转化为可执行的数据采集任务并进行发布、匹配与结算,该模块内设动态匹配单元与信誉管理单元。本技术通过任务市场与众源协同机制,依托移动智能终端实现数据采集任务化与商品化,以智能算法动态匹配需求与执行者,结合协同验证与融合算法提升数据可靠性与置信度,同时信誉机制激励高质量数据贡献,具备低成本、高弹性、自适应和轻量化部署的优势,有效降低总体拥有成本,为中小型物流企业提供精细化数据管理方案。

5G边缘计算融合的物流实时轨迹追踪与异常检测系统

NºPublicación:  CN121842613A 10/04/2026
Solicitante: 
包头钢铁(集团)铁捷物流有限公司
CN_121842613_PA

Resumen de: CN121842613A

本发明涉及通信与数据处理技术领域,具体公开了5G边缘计算融合的物流实时轨迹追踪与异常检测系统。该系统构建了边缘感知层、5G边缘计算层与云端协同分析层的三级架构。5G边缘计算层部署轨迹流处理引擎、并行工作的个体异常检测单元与群体行为建模单元,对物流轨迹进行实时处理,从轨迹偏离、速度异常、驾驶行为多维度进行个体异常检测,并通过时空聚类与协同运动分析识别群体行为异常。云端协同分析层负责模型训练与策略下发。该系统实现了对物流运输从微观个体到宏观群体的全方位、低延迟异常感知与响应。

基于产品数据管理的角模块构型底盘的维护方法和系统

NºPublicación:  CN121836672A 10/04/2026
Solicitante: 
江苏大学国泰精密机件(无锡)有限公司
CN_121836672_PA

Resumen de: CN121836672A

本发明涉及产品数据管理的技术领域,公开了一种基于产品数据管理的角模块构型底盘的维护方法和系统。本发明引入了数字孪生体,能够管控多个实时工作数据,所述方法具体包括:基于该功能部件的工作状态和角模块构型底盘的使用场景确定该功能部件的产品数据组合;根据各个功能部件的产品数据组合和对应的功能种类构建角模块构型底盘的产品数据管理体系,提高了角模块构型底盘的产品数据管理体系的精准性;同时,基于各个异常部件的异常数据和对应的空间位置构建对应的异常区域,根据该异常区域的区域位置、对应的影响范围和角模块构型底盘的任务列表确定对应的动态维护事件,提高了动态维护事件的精准性。

一种智慧农业产融综合服务平台

NºPublicación:  CN121836422A 10/04/2026
Solicitante: 
李成
CN_121836422_PA

Resumen de: EP1000000A1

The invention relates to an apparatus (1) for manufacturing green bricks from clay for the brick manufacturing industry, comprising a circulating conveyor (3) carrying mould containers combined to mould container parts (4), a reservoir (5) for clay arranged above the mould containers, means for carrying clay out of the reservoir (5) into the mould containers, means (9) for pressing and trimming clay in the mould containers, means (11) for supplying and placing take-off plates for the green bricks (13) and means for discharging green bricks released from the mould containers, characterized in that the apparatus further comprises means (22) for moving the mould container parts (4) filled with green bricks such that a protruding edge is formed on at least one side of the green bricks.

Gestion intégrée et automatisée d’un bâtiment industriel comportant un entrepôt automatisé

NºPublicación:  FR3167229A1 10/04/2026
Solicitante: 
CONCERTO DEV [FR]
FR_3167229_A1

Resumen de: FR3167229A1

Système intégré pour la gestion d’un bâtiment (1) comportant au moins un entrepôt automatisé (2), comportant : un dispositif de GTB (10) pour recueillir des premières données primaires (15) provenant de capteurs (12), relatives audit bâtiment ;un dispositif de contrôle d’entrepôt (20) pour recueillir des secondes données primaires (25) provenant d’équipements logistiques et,une interface de communication (30) entre le dispositif de GTB et le dispositif de contrôle d’entrepôt (20), permettant au dispositif de GTB d’actionne des éléments en fonction de données (31) fournies par le dispositif de contrôle d’entrepôt (20), et à celui-ci de piloter (26) au moins un équipement logistique de l’entrepôt (2) en fonction de données (32) fournies par ledit dispositif de GTB (10). Figure pour l’abrégé : Fig. 1

基于物联网的智慧物流监控系统及方法

NºPublicación:  CN121836546A 10/04/2026
Solicitante: 
西藏谷德信息技术有限公司
CN_121836546_PA

Resumen de: EP1000000A1

The invention relates to an apparatus (1) for manufacturing green bricks from clay for the brick manufacturing industry, comprising a circulating conveyor (3) carrying mould containers combined to mould container parts (4), a reservoir (5) for clay arranged above the mould containers, means for carrying clay out of the reservoir (5) into the mould containers, means (9) for pressing and trimming clay in the mould containers, means (11) for supplying and placing take-off plates for the green bricks (13) and means for discharging green bricks released from the mould containers, characterized in that the apparatus further comprises means (22) for moving the mould container parts (4) filled with green bricks such that a protruding edge is formed on at least one side of the green bricks.

一种基于设备管理平台的堆场巡检路径动态优化方法

NºPublicación:  CN121836061A 10/04/2026
Solicitante: 
宁波港信息通信有限公司
CN_121836061_PA

Resumen de: EP1000000A1

The invention relates to an apparatus (1) for manufacturing green bricks from clay for the brick manufacturing industry, comprising a circulating conveyor (3) carrying mould containers combined to mould container parts (4), a reservoir (5) for clay arranged above the mould containers, means for carrying clay out of the reservoir (5) into the mould containers, means (9) for pressing and trimming clay in the mould containers, means (11) for supplying and placing take-off plates for the green bricks (13) and means for discharging green bricks released from the mould containers, characterized in that the apparatus further comprises means (22) for moving the mould container parts (4) filled with green bricks such that a protruding edge is formed on at least one side of the green bricks.

一种烤箱生产过程中的智能联网在线管理系统

NºPublicación:  CN121836618A 10/04/2026
Solicitante: 
广东沃尔姆斯电器有限公司
CN_121836618_PA

Resumen de: EP1000000A1

The invention relates to an apparatus (1) for manufacturing green bricks from clay for the brick manufacturing industry, comprising a circulating conveyor (3) carrying mould containers combined to mould container parts (4), a reservoir (5) for clay arranged above the mould containers, means for carrying clay out of the reservoir (5) into the mould containers, means (9) for pressing and trimming clay in the mould containers, means (11) for supplying and placing take-off plates for the green bricks (13) and means for discharging green bricks released from the mould containers, characterized in that the apparatus further comprises means (22) for moving the mould container parts (4) filled with green bricks such that a protruding edge is formed on at least one side of the green bricks.

一种海事执法危险货物检查管理方法及系统

NºPublicación:  CN121836545A 10/04/2026
Solicitante: 
交通运输部天津水运工程科学研究所中华人民共和国北疆海事局
CN_121836545_PA

Resumen de: EP1000000A1

The invention relates to an apparatus (1) for manufacturing green bricks from clay for the brick manufacturing industry, comprising a circulating conveyor (3) carrying mould containers combined to mould container parts (4), a reservoir (5) for clay arranged above the mould containers, means for carrying clay out of the reservoir (5) into the mould containers, means (9) for pressing and trimming clay in the mould containers, means (11) for supplying and placing take-off plates for the green bricks (13) and means for discharging green bricks released from the mould containers, characterized in that the apparatus further comprises means (22) for moving the mould container parts (4) filled with green bricks such that a protruding edge is formed on at least one side of the green bricks.

基于深度强化学习的露天矿卡车动态路径调度优化方法

NºPublicación:  CN121836058A 10/04/2026
Solicitante: 
西藏翔龙矿业有限公司
CN_121836058_PA

Resumen de: EP1000000A1

The invention relates to an apparatus (1) for manufacturing green bricks from clay for the brick manufacturing industry, comprising a circulating conveyor (3) carrying mould containers combined to mould container parts (4), a reservoir (5) for clay arranged above the mould containers, means for carrying clay out of the reservoir (5) into the mould containers, means (9) for pressing and trimming clay in the mould containers, means (11) for supplying and placing take-off plates for the green bricks (13) and means for discharging green bricks released from the mould containers, characterized in that the apparatus further comprises means (22) for moving the mould container parts (4) filled with green bricks such that a protruding edge is formed on at least one side of the green bricks.

铁路货运的卸车时间预测方法、装置、设备及介质

NºPublicación:  CN121836519A 10/04/2026
Solicitante: 
中国铁道科学研究院集团有限公司中国铁道科学研究院集团有限公司电子计算技术研究所北京经纬信息技术有限公司
CN_121836519_PA

Resumen de: CN121836519A

本发明提供一种铁路货运的卸车时间预测方法、装置、设备及介质,涉及铁路货运技术领域,包括:基于初始铁路货运数据中的到达时间和收货人信息将初始铁路货运数据划分为各车组分别对应的车组货运数据;针对各车组,基于车组对应的车组货运数据确定车组对应的目标特征;针对各车组,将车组对应的目标特征输入卸车时间预测模型,得到卸车时间预测模型输出的车组对应的卸车时间预测结果;卸车时间预测结果包括到达至出线时间和入线至出线时间。本发明技术方案以车组为预测单位,减少了数据冗余,提升了预测精度,为编制合理的配空计划、排空计划以及优化运力资源配置提供了可靠的数据支撑,可以有效提升铁路货运的整体运输效率。

一种农产品仓储管理系统

NºPublicación:  CN121836580A 10/04/2026
Solicitante: 
长春职业技术大学
CN_121836580_PA

Resumen de: CN121836580A

本发明公开了一种农产品仓储管理系统,涉及工业数据管理技术领域,包括数据接入模块,接入作业数据和环境数据,执行统一标识转换,组装作业事件,生成带有可信标记的血缘边;预算计算模块,提取环境状态片段,对照允许偏差带和环境设定轨迹基线,生成预算额度,获取扰动预算台账;任务规划模块,生成作业任务集合,构造作业任务时序变量、资源分派变量以及环境设定轨迹变量,生成计划内扰动消耗,生成可执行计划;计划执行模块,下发可执行计划,获取回传数据,核算计划外事件的扰动消耗,更新扰动预算台账,启动滚动重算。实现了环境扰动的预算化管理且口径可追溯,支撑作业调度和环境策略协同优化,且全过程可追溯。

一种堆垛机取货序列的遗传算法优化方法

NºPublicación:  CN121836582A 10/04/2026
Solicitante: 
太仓同晟工业自动化有限公司
CN_121836582_PA

Resumen de: CN121836582A

本申请公开了一种堆垛机取货序列的遗传算法优化方法,包括:获取待出库货物集合,货物具有货物标识、货位坐标、占段数与优先级;基于占段数与载货台装载段数确定单次载货约束,以限定单次装载的货物总占段数不超过装载段数;将货物标识作为基因,初始化种群并在初始染色体前端设置优先段以优先排列第一优先级基因;在迭代过程中,基于路径长度与装载段利用率构造适应度函数,执行选择并进行交叉和/或变异以更新种群,同时保持第一优先级基因不参与交叉和/或变异;当迭代终止时输出最优解,并依据单次载货约束对最优解进行趟次拆分,逐趟次进行优先级校验与调整,确保第一优先级基因被划分至前序趟次,从而提升出库作业的可执行性与综合效率。

一种基于帕累托前沿分析的托盘码垛与集装箱装载联合优化方法及系统

Nº publicación: CN121836528A 10/04/2026

Solicitante:

北京神州光大科技有限公司

CN_121836528_PA

Resumen de: EP1000000A1

The invention relates to an apparatus (1) for manufacturing green bricks from clay for the brick manufacturing industry, comprising a circulating conveyor (3) carrying mould containers combined to mould container parts (4), a reservoir (5) for clay arranged above the mould containers, means for carrying clay out of the reservoir (5) into the mould containers, means (9) for pressing and trimming clay in the mould containers, means (11) for supplying and placing take-off plates for the green bricks (13) and means for discharging green bricks released from the mould containers, characterized in that the apparatus further comprises means (22) for moving the mould container parts (4) filled with green bricks such that a protruding edge is formed on at least one side of the green bricks.

traducir