Ministerio de Industria, Turismo y Comercio LogoMinisterior
 

Biomarcadores para diagnóstico de enfermedad inflamatoria

Resultados 185 resultados
LastUpdate Última actualización 10/03/2026 [07:26:00]
pdfxls
Solicitudes publicadas en los últimos 150 días / Applications published in the last 150 days
Resultados 1 a 25 de 185 nextPage  

用于诊断炎症性肠病(IBD)的方法和系统

NºPublicación:  CN121620703A 06/03/2026
Solicitante: 
索灵意大利股份有限公司
CN_121620703_PA

Resumen de: MX2025014639A

The invention relates to a method and kit for the diagnosis of Inflammatory Bowel Disease (IBD) in a subject. The diagnostic method is based on the detection of fecal Calprotectin and at least one further fecal biomarker selected from PGRP-S and MMP-8 in a stool sample from the subject. In a preferred embodiment, the fecal biomarkers concentration data obtained are analyzed and classified as affected by IBD or not affected by IBD by a supervised machine learning diagnosis model.

COMPOSITIONS AND METHODS FOR IMMUNOLOGICAL TESTING OF STOOL

NºPublicación:  WO2026050626A1 05/03/2026
Solicitante: 
GENEOSCOPY INC [US]
GENEOSCOPY, INC
WO_2026050626_A1

Resumen de: WO2026050626A1

The present disclosure provides improved methods of processing a fecal sample by a human subject in which the fecal sample is collected at home and subsequently delivered to a medical diagnostics laboratory. As described herein, the means of collecting and processing the fecal sample can desirably reduce the number of steps undertaken by the human subject, including avoiding steps of removing or separating the fecal sample into multiple portions. Furthermore, the human subject does not have to perform an immunological test (e.g., a fecal immunochemical test (FIT) or an immunochemical fecal occult blood test (iFOBT)) at home.

METHODS FOR IDENTIFYING AND TREATING INFLAMMATORY BOWEL DISEASE

NºPublicación:  WO2026050646A1 05/03/2026
Solicitante: 
METABOLON INC [US]
METABOLON INC
WO_2026050646_PA

Resumen de: WO2026050646A1

This disclosure concerns metabolites that can be used to identify and characterize inflammatory bowel disease (IBD) as well as assess treatment for IBD.

COMPOSITIONS AND METHODS FOR IMMUNOLOGICAL TESTING OF STOOL

NºPublicación:  US20260060660A1 05/03/2026
Solicitante: 
GENEOSCOPY INC [US]
GENEOSCOPY, INC
US_20260060660_PA

Resumen de: US20260060660A1

The present disclosure provides improved methods of processing a fecal sample by a human subject in which the fecal sample is collected at home and subsequently delivered to a medical diagnostics laboratory. As described herein, the means of collecting and processing the fecal sample can desirably reduce the number of steps undertaken by the human subject, including avoiding steps of removing or separating the fecal sample into multiple portions. Furthermore, the human subject does not have to perform an immunological test (e.g., a fecal immunochemical test (FIT) or an immunochemical fecal occult blood test (iFOBT)) at home.

AGENTS AND METHODS DIRECTED TO DISEASE-ASSOCIATED CELLS

NºPublicación:  WO2026047225A1 05/03/2026
Solicitante: 
ENSOCELL LTD [GB]
ENSOCELL LTD
WO_2026047225_A1

Resumen de: WO2026047225A1

Provided herein are agents and methods suitable for the treatment of inflammatory diseases of the intestine. For instance, agents and methods are provided for the treatment of inflammatory bowel disease, Crohn's disease, ulcerative colitis, Celiac disease, and colitis-associated colorectal cancer.

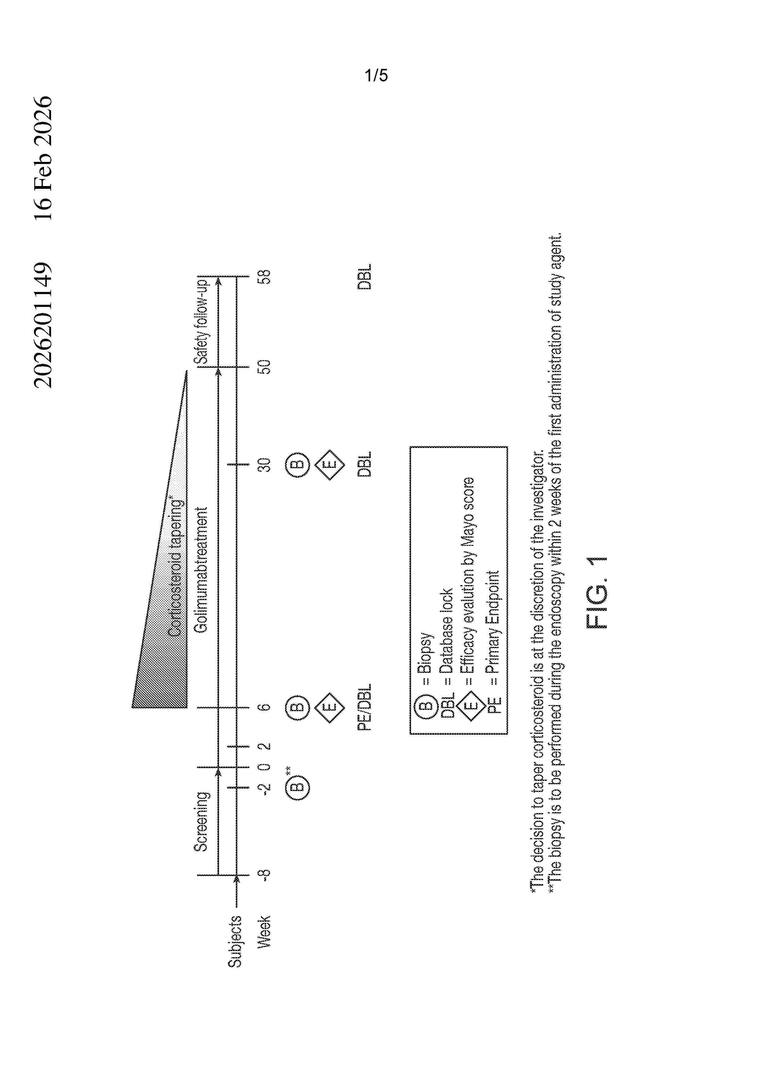
Methods and compositions for prediction of response to a therapy of an inflammatory bowel disease

NºPublicación:  AU2026201149A1 05/03/2026
Solicitante: 
JANSSEN BIOTECH INC
Janssen Biotech, Inc
AU_2026201149_A1

Resumen de: AU2026201149A1

Biomarkers that are indicative of the response to the therapy of the inflammatory bowel disease, including ulcerative colitis (UC) and Crohn’s disease (CD), are described. Also described are probes capable of detecting the biomarkers and related methods and 5 kits for predicting the response to the therapy of the inflammatory bowel disease. eb e b

ANTI-TREM-1 ANTIBODIES AND USES THEREOF

NºPublicación:  US20260055183A1 26/02/2026
Solicitante: 
BRISTOL MYERS SQUIBB COMPANY [US]
BRISTOL-MYERS SQUIBB COMPANY
US_20260055183_PA

Resumen de: US20260055183A1

Provided herein are methods of identifying subjects suitable for an anti-TREM-1 antibody (i.e., antagonistic anti-TREM-1 antibody) treatment comprising measuring an expression level of a TREM-1 associated gene. Also disclosed herein are methods of determining efficacy of an anti-TREM-1 antibody comprising measuring an expression level of a TREM-1 associated gene. Methods of identifying non-responder to a standard of care treatment and methods of treating a disease or disorder (e.g., inflammatory bowel disease) with an anti-TREM-1 antibody are also disclosed.

METHOD, PROGRAM, AND APPARATUS FOR DETECTING SMALL INTESTINAL BACTERIAL OVERGROWTH

NºPublicación:  US20260053426A1 26/02/2026
Solicitante: 
ATMO BIOSCIENCES LTD [AU]
Atmo Biosciences Limited
US_20260053426_PA

Resumen de: US20260053426A1

Embodiments include a method for detecting small intestinal bacterial overgrowth, SIBO, the method comprising: obtaining data representing a time series of readings from gas sensor hardware housed within an ingestible capsule device orally ingested by a subject, identifying the data corresponding to timing of passage through the small intestine, and determining whether or not the data indicates presence of SIBO.

SYSTEMS AND METHODS FOR PREDICTING RESPONSE TO ANTI-TNF THERAPIES

NºPublicación:  US20260057960A1 26/02/2026
Solicitante: 
SCIPHER MEDICINE CORP [US]
Scipher Medicine Corporation
US_20260057960_PA

Resumen de: US20260057960A1

Disclosed herein are methods and systems for administering therapy to subjects who have been determined to display or not display a gene expression response signature established to distinguish between responsive and non-responsive prior subjects who have received the therapy. The subject and prior subjects may suffer from a disease, disorder, or condition for which it is desired to predict whether the subject will respond to the therapy. In an aspect, the disease, disorder, or condition may be an autoimmune disorder such as ulcerative colitis. The subject may be administered an anti-TNF therapy or an alternative to anti-TNF therapy based upon predictions provided by methods and systems described herein.

PREDICTING NON-RESPONSIVENESS OF IBD PATIENTS

NºPublicación:  EP4698905A1 25/02/2026
Solicitante: 
NAVOLAB DIAGNOSZTIKA KFT [HU]
Navolab Diagnosztika Kft
AU_2024260758_A1

Resumen de: AU2024260758A1

Predicting non-responsiveness of IBD patients The present invention relates to an in vitro method for predicting the responsiveness of an IBD patient to a therapy with an intracellularly acting immunosuppressive agent of interest, wherein a sample is provided from the IBD patient at an initial period of a treatment with the immunosuppressive agent of interest, said sample comprising effector mononuclear cells, and responsiveness is predicted from the difference between a multidrug ABC transporter activity level in the effector mononuclear cells in said sample and a reference transporter activity level. The method is useful in a treatment of IBD, e.g. in monitoring the progress of the disease or in a decision on a shift from an initial treatment with an agent to another agent like csDMARD or tsDMARD.

潰瘍性大腸炎に関与する遺伝子の抗IL-23P19抗体調節

NºPublicación:  JP2026027222A 18/02/2026
Solicitante: 
イーライリリーアンドカンパニー
JP_2026027222_A

Resumen de: US2024254217A1

The present disclosure generally relates to methods of treating and diagnosing ulcerative colitis. The methods are particularly suitable for treating and diagnosing a specific sub-group of patients with ulcerative colitis. The methods are also particularly suitable for treating and diagnosing urgency in a patient having or suspected of having ulcerative colitis. The methods are also particularly suitable for treating and diagnosing stool frequency and bowel urgency in a patient having or suspected of having ulcerative colitis.

C4A3-HNE及びC4A4-HNEアッセイ

NºPublicación:  JP2026505763A 18/02/2026
Solicitante: 
ノルディック・ビオサイエンス・エー/エス
JP_2026505763_PA

Resumen de: AU2024213780A1

Disclosed herein are methods of immunoassay for detecting HNE-generated fragments of the α3 chain or α4 chain of type IV collagen in a patient sample, and the use thereof for detecting and/or monitoring inflammatory bowel disease (IBD) or a particular level of severity thereof in a patient. Also disclosed are monoclonal antibodies and assay kits for use in said methods of immunoassay.

PROPHYLACTIC OR THERAPEUTIC AGENT FOR CROHN'S DISEASE AND METHOD FOR EXAMINING CROHN'S DISEASE

NºPublicación:  WO2026034527A1 12/02/2026
Solicitante: 
THE UNIV OF OSAKA [JP]
\u56FD\u7ACB\u5927\u5B66\u6CD5\u4EBA\u5927\u962A\u5927\u5B66
WO_2026034527_A1

Resumen de: WO2026034527A1

Provided are a prophylactic or therapeutic agent for Crohn's disease, and a method for examining Crohn's disease. The prophylactic or therapeutic agent for Crohn's disease contains at least one selected from the group consisting of a RUNX2 inhibitor and a BHLHE40 inhibitor. The method for examining Crohn's disease includes (1) a step for detecting a protein and/or mRNA of at least one gene selected from the group consisting of RUNX2 and BHLHE40 in digestive tract-derived immune cells collected from a subject.

METHODS OF CLASSIFYING AND TREATING INFLAMMATORY BOWEL DISEASE

NºPublicación:  EP4689191A2 11/02/2026
Solicitante: 
BAYLOR COLLEGE MEDICINE [US]
Baylor College of Medicine
WO_2024206308_PA

Resumen de: WO2024206308A2

Embodiments of the disclosure encompass methods and compositions for treating and/or identifying subjects having Inflammatory Bowel Disease (IBD). In certain embodiments, methods include measuring taxa occurrence frequencies in at least one microbiome sample from a subject suspected or having or being at risk for having IBD when certain taxa are enriched in the microbiome and/or when certain taxa are deficient in the microbiome, and particularly upon classification of their microbiome based on a taxa enrichment profile. In certain embodiments, an individual is determined to be a suitable donor for fecal microbiota transplant or is determined not to be a suitable donor for FMT based on classification of the taxa profile of their microbiome.

SMAD7 INHIBITORY ANTISENSE OLIGONUCLEOTIDES (ASO) FOR TREATING POUCHITIS AND METHODS OF USING THE SAME

NºPublicación:  EP4689108A1 11/02/2026
Solicitante: 
NOGRA PHARMA LTD [IE]
Nogra Pharma Limited
KR_20250164821_A

Resumen de: CN120958131A

Provided herein are methods for treating or preventing pouch inflammation comprising administering a SMAD7 antisense oligonucleotide or a pharmaceutical formulation comprising the SMAD7 antisense oligonucleotide.

METHODS FOR ASSESSING RISK OF DEVELOPING A VIRAL DISEASE USING A GENETIC TEST

NºPublicación:  ES3054955T3 09/02/2026
Solicitante: 
PML SCREENING LLC
UNIV PARIS SACLAY
THE ASSIST PUBLIQUE HOPITAUX DE PARIS APHP
THE INSTITUT NATIONAL DE LA SANTE ET DE LA RECH MEDICALE INSERM
PML Screening, LLC,
Universit\u00E9 Paris-Saclay,
The Assistance Publique-H\u00F4pitaux de Paris (APHP),
The Institut National de la Sant\u00E9 et de la Recherche M\u00E9dicale (INSERM)
US_2025277269_A1

Resumen de: US2025277269A1

This document provides methods and materials related to treating a disease. For example, this document provides methods for treating a subject's disease based on identifying the risk of progressive multifocal leukoencephalopathy PML using a genetic test.

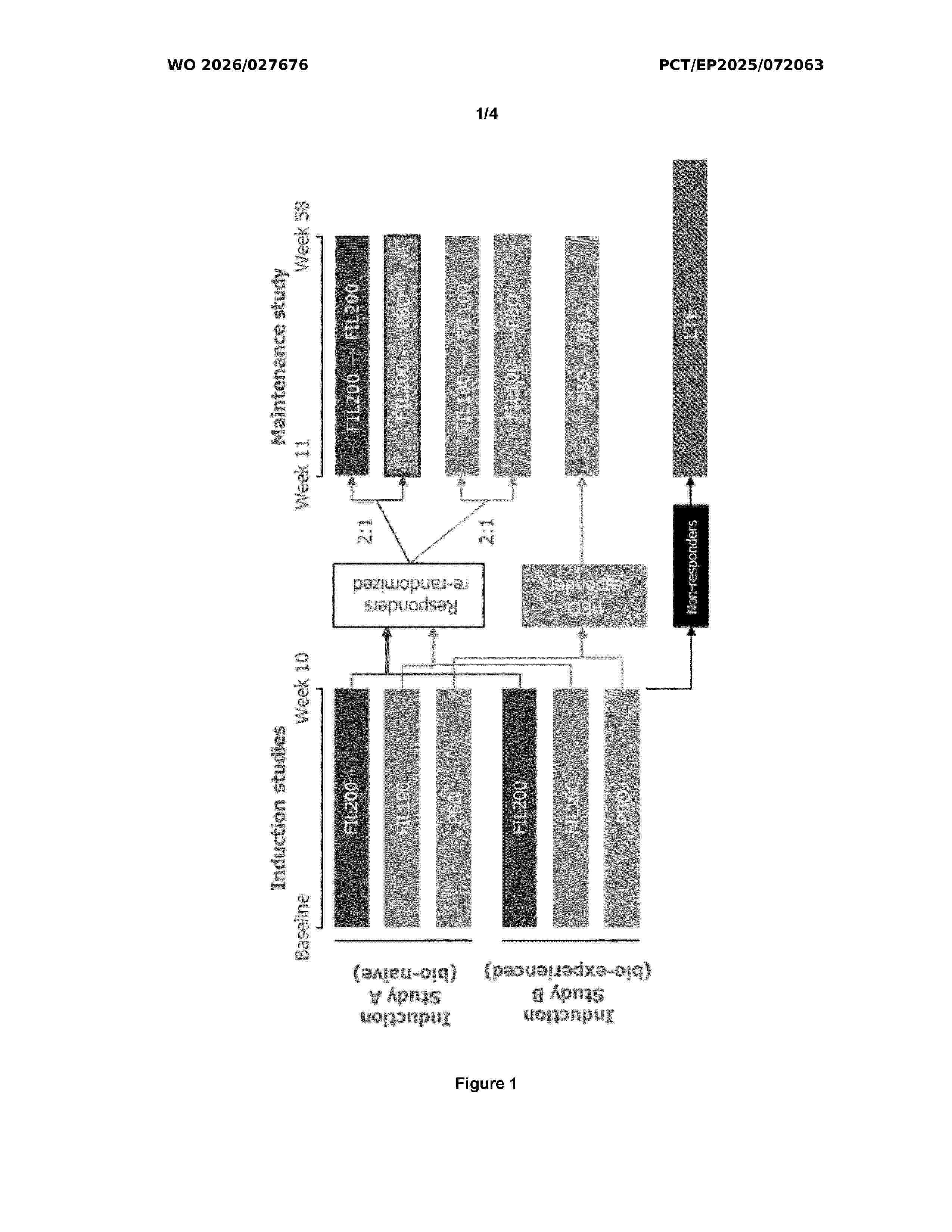
BIOMARKERS FOR DETERMINING TREATMENT OF ULCERATIVE COLITIS WITH FILGOTINIB

NºPublicación:  WO2026027676A1 05/02/2026
Solicitante: 
ALFASIGMA S P A [IT]
ALFASIGMA S.P.A
WO_2026027676_A1

Resumen de: WO2026027676A1

Filgotinib or a pharmaceutically acceptable salt thereof for use in a method of treating ulcerative colitis is provided, along with methods of deciding whether to continue treating ulcerative colitis in a patient with filgotinib or a pharmaceutically acceptable salt. The treatments are based on the assessment of the levels of certain predictive biomarkers in the patient having ulcerative colitis.

COMPOSITIONS AND METHODS TO DETECT GASTROINTESTINAL DISEASE

NºPublicación:  US20260036584A1 05/02/2026
Solicitante: 
THE BOARD OF SUPERVISORS OF LOUISIANA STATE UNIV AND AGRICULTURAL AND MECHANICAL COLLEGE [US]
The Board of Supervisors of Louisiana State University and Agricultural and Mechanical College
US_20260036584_PA

Resumen de: US20260036584A1

This invention is directed to compositions and methods to detect and treat gastrointestinal diseases.

BIOMARKERS FOR DETERMINING TREATMENT OF ULCERATIVE COLITIS WITH FILGOTINIB

NºPublicación:  WO2026027669A1 05/02/2026
Solicitante: 
ALFASIGMA S P A [IT]
ALFASIGMA S.P.A
WO_2026027669_A1

Resumen de: WO2026027669A1

Filgotinib or a pharmaceutically acceptable salt thereof for use in a method of treating ulcerative colitis is provided, along with methods of deciding whether to continue treating ulcerative colitis in a patient with filgotinib or a pharmaceutically acceptable salt. The treatments are based on the assessment of the levels of certain predictive biomarkers in the patient having ulcerative colitis.

염증성 장 질환 (IBD)의 진단을 위한 방법 및 시스템

NºPublicación:  KR20260016998A 04/02/2026
Solicitante: 
디아소린이탈리아에스피에이
KR_20260016998_PA

Resumen de: MX2025014639A

The invention relates to a method and kit for the diagnosis of Inflammatory Bowel Disease (IBD) in a subject. The diagnostic method is based on the detection of fecal Calprotectin and at least one further fecal biomarker selected from PGRP-S and MMP-8 in a stool sample from the subject. In a preferred embodiment, the fecal biomarkers concentration data obtained are analyzed and classified as affected by IBD or not affected by IBD by a supervised machine learning diagnosis model.

METHOD AND SYSTEM FOR THE DIAGNOSIS OF INFLAMMATORY BOWEL DISEASE (IBD)

NºPublicación:  MX2025014639A 03/02/2026
Solicitante: 
DIASORIN ITALIA S P A [IT]
DIASORIN ITALIA S.P.A
AU_2024283890_PA

Resumen de: MX2025014639A

The invention relates to a method and kit for the diagnosis of Inflammatory Bowel Disease (IBD) in a subject. The diagnostic method is based on the detection of fecal Calprotectin and at least one further fecal biomarker selected from PGRP-S and MMP-8 in a stool sample from the subject. In a preferred embodiment, the fecal biomarkers concentration data obtained are analyzed and classified as affected by IBD or not affected by IBD by a supervised machine learning diagnosis model.

Method and system for the diagnosis of inflammatory bowel disease (ibd)

NºPublicación:  IL325135A 01/02/2026
Solicitante: 
DIASORIN ITALIA S P A [IT]
CLAUDIA ZIEROLD
FABRIZIO BONELLI
MARIA ASSUNTA PALMIERI
CLAUDIO MASTRONARDO
DIASORIN ITALIA S.P.A,
Claudia ZIEROLD,
Fabrizio BONELLI,
Maria Assunta PALMIERI,
Claudio MASTRONARDO
AU_2024283890_PA

Resumen de: AU2024283890A1

The invention relates to a method and kit for the diagnosis of Inflammatory Bowel Disease (IBD) in a subject. The diagnostic method is based on the detection of fecal Calprotectin and at least one further fecal biomarker selected from PGRP-S and MMP-8 in a stool sample from the subject. In a preferred embodiment, the fecal biomarkers concentration data obtained are analyzed and classified as affected by IBD or not affected by IBD by a supervised machine learning diagnosis model.

CHEMICAL PROBES FOR MICROBIAL MUCIN DEGRADERS IN THE GUT MICROBIOME

NºPublicación:  WO2026024847A2 29/01/2026
Solicitante: 
BAYLOR UNIV [US]
BAYLOR UNIVERSITY
WO_2026024847_A2

Resumen de: WO2026024847A2

Affinity-based and activity-based probes (ABPs) described herein offer transformative resolutions to microbiome function. These ABPs target key metabolic pathways in the gut microbiome. The ABPs contain a binding group, a reactive group, and a. reporter group handle that allows for the addition of a "flexible" reporter group that can be easily swapped to enable multimodal fluorescence and proteomic measurements and isolation of live cells. The binding group, also called an affinity element or biorecognition element, mirrors monomeric and polymeric carbohydrates, sulfated and acetylated carbohydrates, and peptides to afford probe selectivity.

BACTERIOTHERAPY FOR CLOSTRIDIUM DIFFICILE COLITIS

NºPublicación:  ES3053646T3 23/01/2026
Solicitante: 
FERRING MICROBIOME INC
Ferring Microbiome Inc
EP_4663746_PA

Resumen de: EP4663746A2

This document discusses, among other things, receiving a plurality of donor fecal samples from a plurality of donors and storing and indexing each respective donor fecal samples using at least one characteristic of the respective donor fecal sample. In an example, the donor fecal sample can be screened and processed for subsequent use in fecal bacteriotherapy to displace pathogenic or undesired organisms in the digestive track of a patient with healthy or desirable gut micriobiota.

CCDC71L在诊断及治疗放射性肠炎中的应用

Nº publicación: CN121380331A 23/01/2026

Solicitante:

核工业四一六医院

CN_121380331_PA

Resumen de: CN119433017A

The invention discloses an application of CCDC71L in diagnosis and treatment of radiation enteritis, and provides an application of a reagent for detecting the expression level of the CCDC71L in preparation of a product for diagnosing radiation enteritis and an application of an inhibitor of the CCDC71L in preparation of a medicine for treating radiation enteritis. The invention further provides a method for screening candidate drugs for treating or preventing radiation enteritis and a method for inhibiting the expression level of inflammatory factors in macrophages. Experiments prove that the CCDC71L can realize diagnosis of radiation enteritis, and discovers that inhibition of the CCDC71L can inhibit infiltration and polarization of macrophages so as to inhibit radiation-induced inflammatory reaction, and the CCDC71L marker provided by the invention provides a new idea for diagnosis and treatment of radiation enteritis, and has a wide application prospect.

traducir